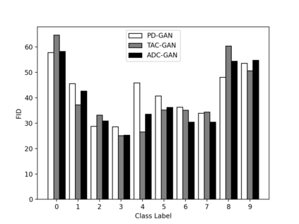
Conditional generative models aim to learn the underlying joint distribution of data and labels, and thus realize conditional generation. Among them, auxiliary classifier generative adversarial networks (AC-GAN) have been widely used, but suffer from the issue of low intra-class diversity on generated samples. In this paper, we point out that the fundamental reason is that the classifier of AC-GAN is generator-agnostic, and thus cannot provide informative guidance to the generator to approximate the target joint distribution, leading to a minimization of conditional entropy that decreases the intra-class diversity. Based on this finding, we propose novel cGANs with auxiliary discriminative classifier (ADC-GAN) to address the issue of AC-GAN. Specifically, the auxiliary discriminative classifier becomes generator-aware by distinguishing between the real and fake data while recognizing their labels. We then optimize the generator based on the auxiliary classifier along with the original discriminator to match the joint and marginal distributions of the generated samples with those of the real samples. We provide theoretical analysis and empirical evidence on synthetic and real-world datasets to demonstrate the superiority of the proposed ADC-GAN compared to competitive cGANs.


翻译:在本文中,我们指出,基本原因是AC-GAN的分类者是生成者-不可知性,因此无法为生成者提供信息指导以接近目标的联合分布,从而导致减少有条件的诱变,从而降低阶级内部多样性。根据这一发现,我们提议使用带有辅助性歧视分类者(ADC-GAN)的新型cGAN(ADC-GAN),以解决AC-GAN问题。具体地说,辅助性歧视分类者通过区分真实和假数据,同时承认其标签,成为生成者-GAN。然后,我们优化基于辅助分类器的发电机,同时优化原始分析器,使生成的样品与真实样本的联合和边际分布相匹配。我们提供了合成和真实的合成和真实世界数据集的理论分析和经验证据,以证明拟议的AAN-G的竞争力。

0
下载
关闭预览

相关内容

专知会员服务
34+阅读 · 2021年9月16日
最新【深度生成模型】Deep Generative Models,104页ppt
专知会员服务
71+阅读 · 2020年10月24日
生成式对抗网络GAN异常检测
专知会员服务
118+阅读 · 2019年10月13日
Keras François Chollet 《Deep Learning with Python 》, 386页pdf
专知会员服务
163+阅读 · 2019年10月12日
强化学习最新教程,17页pdf
专知会员服务
182+阅读 · 2019年10月11日
【新书】Python编程基础,669页pdf
专知会员服务
197+阅读 · 2019年10月10日
机器学习入门的经验与建议
专知会员服务
94+阅读 · 2019年10月10日
Disentangled的假设的探讨
CreateAMind
9+阅读 · 2018年12月10日
disentangled-representation-papers
CreateAMind
26+阅读 · 2018年9月12日
Hierarchical Disentangled Representations
CreateAMind
4+阅读 · 2018年4月15日
条件GAN重大改进!cGANs with Projection Discriminator
CreateAMind
8+阅读 · 2018年2月7日
gan生成图像at 1024² 的 代码 论文
CreateAMind
4+阅读 · 2017年10月31日
Adversarial Variational Bayes: Unifying VAE and GAN 代码
CreateAMind
7+阅读 · 2017年10月4日
Auto-Encoding GAN
CreateAMind
7+阅读 · 2017年8月4日
GAN猫的脸
机械鸡
11+阅读 · 2017年7月8日
Generative Adversarial Text to Image Synthesis论文解读
统计学习与视觉计算组
13+阅读 · 2017年6月9日
Discriminative Similarity for Data Clustering
Arxiv
0+阅读 · 2021年9月17日
Arxiv
5+阅读 · 2019年6月5日
Arxiv
8+阅读 · 2018年5月1日
Arxiv
11+阅读 · 2018年3月23日
VIP会员
相关VIP内容
专知会员服务
34+阅读 · 2021年9月16日
最新【深度生成模型】Deep Generative Models,104页ppt
专知会员服务
71+阅读 · 2020年10月24日
生成式对抗网络GAN异常检测
专知会员服务
118+阅读 · 2019年10月13日
Keras François Chollet 《Deep Learning with Python 》, 386页pdf
专知会员服务
163+阅读 · 2019年10月12日
强化学习最新教程,17页pdf
专知会员服务
182+阅读 · 2019年10月11日
【新书】Python编程基础,669页pdf
专知会员服务
197+阅读 · 2019年10月10日
机器学习入门的经验与建议
专知会员服务
94+阅读 · 2019年10月10日
相关资讯
Disentangled的假设的探讨
CreateAMind
9+阅读 · 2018年12月10日
disentangled-representation-papers
CreateAMind
26+阅读 · 2018年9月12日
Hierarchical Disentangled Representations
CreateAMind
4+阅读 · 2018年4月15日
条件GAN重大改进!cGANs with Projection Discriminator
CreateAMind
8+阅读 · 2018年2月7日
gan生成图像at 1024² 的 代码 论文
CreateAMind
4+阅读 · 2017年10月31日
Adversarial Variational Bayes: Unifying VAE and GAN 代码
CreateAMind
7+阅读 · 2017年10月4日
Auto-Encoding GAN
CreateAMind
7+阅读 · 2017年8月4日
GAN猫的脸
机械鸡
11+阅读 · 2017年7月8日
Generative Adversarial Text to Image Synthesis论文解读
统计学习与视觉计算组
13+阅读 · 2017年6月9日
Top
微信扫码咨询专知VIP会员