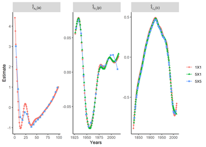
Age-period-cohort (APC) models are frequently used in a variety of health and demographic related outcomes. Fitting and interpreting APC models to data in equal intervals (equal age and period widths) is non-trivial due to the structural link between the three temporal effects (given two, the third can always be found) causing the well-known identification problem. The usual method for resolving the structural link identification problem is to base a model off identifiable quantities. It is common to find health and demographic data in unequal intervals, this encounters further identification problems on top of the structural link. We highlight the new issues by showing quantities that were identifiable for equal intervals are no longer identifiable for unequal data. Furthermore, through extensive simulation studies, we show how previous methods for unequal APC models are not always appropriate due to their sensitivity to the choice of functions used to approximate the true temporal functions. We propose a new method for modelling unequal APC data using penalised smoothing splines. Our proposal effectively resolves any additional issues that arise and is robust to the choice of the approximating function. To demonstrate the effectiveness of our proposal, we conclude with an application to UK all-cause mortality data from the Human mortality database (HMD).


翻译:在各种健康和人口相关结果中,经常使用年龄-时间-海岸(APC)模型,在各种健康和人口相关结果中经常使用各种与年龄-时间-时间-时间-时间-时间-时间-时间-时间-时间-时间/时间-时间-时间-时间-时间-时间-时间-时间-时间-时间-时间-时间-时间-时间-时间-时间-时间-时间-时间-时间-时间-时间-时间-时间-时间-时间-时间-时间-时间-时间-时间-时间-时间-时间-时间-时间-时间-时间-时间-时间-时间-时间-时间-时间-时间-时间-时间-时间-时间-时间-时间-时间-时间-时间-时间-时间-时间-时间-时间-时间-时间-时间-时间-时间-时间-时间-时间-时间-时间-时间-时间-时间-时间-时间-时间-时间-时间-时间-时间-时间-时间-时间-时间-时间-时间-时间-时间-时间-时间-时间-时间-时间-时间-时间-时间-时间-时间-时间-时间-时间-时间-时间-时间-时间-时间-时间-时间-时间-时间-时间-时间-时间-时间-时间-时间-时间-时间-时间-时间-时间-时间-时间-时间-时间-时间-时间-时间-时间-时间-时间-时间-时间-时间-时间-时间-时间-时间-时间-时间-时间-时间-时间-时间-时间-时间-时间-时间-时间-时间-时间-时间-时间-时间-时间-时间-时间-时间-时间-时间-时间-时间-时间-时间-时间-时间-时间-时间-时间-时间-时间-时间-时间-时间-时间-时间-时间-时间-时间-时间-时间-时间-时间-时间-时间-时间-时间-时间-时间-时间-时间-时间-时间-时间-时间-时间-时间-时间-时间-时间-时间-时间-时间-时间-时间-时间-时间-时间-时间-时间-时间-时间-时间-时间-时间-时间-时间-时间-时间-时间-时间-时间-时间-时间-时间-时间-时间-时间-时间-

0
下载
关闭预览

相关内容

Linux导论,Introduction to Linux,96页ppt
专知会员服务
82+阅读 · 2020年7月26日
因果图,Causal Graphs,52页ppt
专知会员服务
253+阅读 · 2020年4月19日
专知会员服务
110+阅读 · 2020年3月12日
【新书】贝叶斯网络进展与新应用,附全书下载
专知会员服务
122+阅读 · 2019年12月9日
[综述]深度学习下的场景文本检测与识别
专知会员服务
78+阅读 · 2019年10月10日
Hierarchically Structured Meta-learning
CreateAMind
27+阅读 · 2019年5月22日
Unsupervised Learning via Meta-Learning
CreateAMind
43+阅读 · 2019年1月3日
meta learning 17年:MAML SNAIL
CreateAMind
11+阅读 · 2019年1月2日
Ray RLlib: Scalable 降龙十八掌
CreateAMind
9+阅读 · 2018年12月28日
Disentangled的假设的探讨
CreateAMind
9+阅读 · 2018年12月10日
计算机视觉领域顶会CVPR 2018 接受论文列表
Hierarchical Disentangled Representations
CreateAMind
4+阅读 · 2018年4月15日
【论文】变分推断(Variational inference)的总结
机器学习研究会
39+阅读 · 2017年11月16日
【计算机类】期刊专刊/国际会议截稿信息6条
Call4Papers
3+阅读 · 2017年10月13日
【学习】Hierarchical Softmax
机器学习研究会
4+阅读 · 2017年8月6日
Arxiv
0+阅读 · 2022年2月20日
VIP会员
相关资讯
Hierarchically Structured Meta-learning
CreateAMind
27+阅读 · 2019年5月22日
Unsupervised Learning via Meta-Learning
CreateAMind
43+阅读 · 2019年1月3日
meta learning 17年:MAML SNAIL
CreateAMind
11+阅读 · 2019年1月2日
Ray RLlib: Scalable 降龙十八掌
CreateAMind
9+阅读 · 2018年12月28日
Disentangled的假设的探讨
CreateAMind
9+阅读 · 2018年12月10日
计算机视觉领域顶会CVPR 2018 接受论文列表
Hierarchical Disentangled Representations
CreateAMind
4+阅读 · 2018年4月15日
【论文】变分推断(Variational inference)的总结
机器学习研究会
39+阅读 · 2017年11月16日
【计算机类】期刊专刊/国际会议截稿信息6条
Call4Papers
3+阅读 · 2017年10月13日
【学习】Hierarchical Softmax
机器学习研究会
4+阅读 · 2017年8月6日
Top
微信扫码咨询专知VIP会员