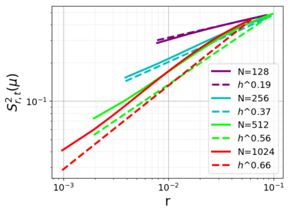
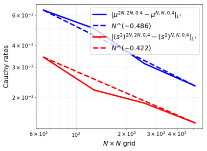
We present an efficient numerical scheme based on Monte Carlo integration to approximate statistical solutions of the incompressible Euler equations. The scheme is based on finite volume methods, which provide a more flexible framework than previously existing spectral methods for the computation of statistical solutions for incompressible flows. This finite volume scheme is rigorously proven to, under experimentally verifiable assumptions, converge in an appropriate topology and with increasing resolution to a statistical solution. The convergence obtained is stronger than that of measure-valued solutions, as it implies convergence of multi-point correlation marginals. We present results of numerical experiments which support the claim that the aforementioned assumptions are very natural, and appear to hold in practice.


翻译:我们提出了一个基于蒙特卡洛一体化的高效数字计划,以近似于无法压缩的 Euler 等式的统计解决办法。这个计划基于数量有限的方法,比以前现有的光谱方法更灵活地计算不可压缩流动的统计解决办法。这个数量有限计划严格地证明,根据实验性可核查的假设,它以适当的地貌和日益清晰的分辨率汇集到一个统计解决办法中。所取得的趋同比量值解决方案的趋同强,因为它意味着多点相关边际的趋同。我们提出了数字实验的结果,支持上述假设非常自然并似乎在实际中存在的说法。

0
下载
关闭预览

相关内容

专知会员服务
16+阅读 · 2021年5月21日
专知会员服务
51+阅读 · 2020年12月14日
强化学习三篇论文 避免遗忘等
CreateAMind
20+阅读 · 2019年5月24日
IEEE | DSC 2019诚邀稿件 (EI检索)
Call4Papers
10+阅读 · 2019年2月25日
强化学习的Unsupervised Meta-Learning
CreateAMind
18+阅读 · 2019年1月7日
A Technical Overview of AI & ML in 2018 & Trends for 2019
待字闺中
18+阅读 · 2018年12月24日
disentangled-representation-papers
CreateAMind
26+阅读 · 2018年9月12日
Hierarchical Disentangled Representations
CreateAMind
4+阅读 · 2018年4月15日
【论文】变分推断(Variational inference)的总结
机器学习研究会
39+阅读 · 2017年11月16日
【推荐】免费书(草稿):数据科学的数学基础
机器学习研究会
20+阅读 · 2017年10月1日
【学习】Hierarchical Softmax
机器学习研究会
4+阅读 · 2017年8月6日
Auto-Encoding GAN
CreateAMind
7+阅读 · 2017年8月4日
Arxiv
0+阅读 · 2021年11月20日
Arxiv
0+阅读 · 2021年11月19日
Arxiv
0+阅读 · 2021年11月19日
VIP会员
相关VIP内容
专知会员服务
16+阅读 · 2021年5月21日
专知会员服务
51+阅读 · 2020年12月14日
相关资讯
强化学习三篇论文 避免遗忘等
CreateAMind
20+阅读 · 2019年5月24日
IEEE | DSC 2019诚邀稿件 (EI检索)
Call4Papers
10+阅读 · 2019年2月25日
强化学习的Unsupervised Meta-Learning
CreateAMind
18+阅读 · 2019年1月7日
A Technical Overview of AI & ML in 2018 & Trends for 2019
待字闺中
18+阅读 · 2018年12月24日
disentangled-representation-papers
CreateAMind
26+阅读 · 2018年9月12日
Hierarchical Disentangled Representations
CreateAMind
4+阅读 · 2018年4月15日
【论文】变分推断(Variational inference)的总结
机器学习研究会
39+阅读 · 2017年11月16日
【推荐】免费书(草稿):数据科学的数学基础
机器学习研究会
20+阅读 · 2017年10月1日
【学习】Hierarchical Softmax
机器学习研究会
4+阅读 · 2017年8月6日
Auto-Encoding GAN
CreateAMind
7+阅读 · 2017年8月4日
Top
微信扫码咨询专知VIP会员