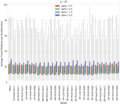
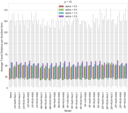
Principled decision making in emergency response management necessitates the use of statistical models that predict the spatial-temporal likelihood of incident occurrence. These statistical models are then used for proactive stationing which allocates first responders across the spatial area in order to reduce overall response time. Traditional methods that simply aggregate past incidents over space and time fail to make useful short-term predictions when the spatial region is large and focused on fine-grained spatial entities like interstate highway networks. This is partially due to the sparsity of incidents with respect to the area in consideration. Further, accidents are affected by several covariates, and collecting, cleaning, and managing multiple streams of data from various sources is challenging for large spatial areas. In this paper, we highlight how this problem is being solved for the state of Tennessee, a state in the USA with a total area of over 100,000 sq. km. Our pipeline, based on a combination of synthetic resampling, non-spatial clustering, and learning from data can efficiently forecast the spatial and temporal dynamics of accident occurrence, even under sparse conditions. In the paper, we describe our pipeline that uses data related to roadway geometry, weather, historical accidents, and real-time traffic congestion to aid accident forecasting. To understand how our forecasting model can affect allocation and dispatch, we improve upon a classical resource allocation approach. Experimental results show that our approach can significantly reduce response times in the field in comparison with current approaches followed by first responders.


翻译:在应急反应管理中作出有原则的决策时,必须使用统计模型来预测发生事故的时空可能性。然后,这些统计模型用于预先部署,在空间区域中分配第一反应者,以便减少总体反应时间。在空间区域面积大,侧重于细微的空间实体,如州际公路网等,只是将过去事件集中在一起的传统方法未能作出有用的短期预测。这部分是由于所考虑地区事件多变造成的。此外,事故还受到若干共变因素的影响,收集、清洁和管理来自各种来源的多流数据对大空间区域具有挑战性。在本论文中,我们强调这个问题是如何为田纳西州解决的,而田纳西州是美国总面积超过10万平方公里的州。我们基于合成重印、非空间集群和数据学习的管道,可以有效地预测事故发生的时空动态,即使在稀少的条件下。我们描述了我们利用公路地理空间统计模型来大幅改进当前交通流量分配的管道。历史事故预测、历史事故发生时,以及我们从工地分析到实地的预测结果显示,我们的援助可以大大降低对路路路路路路的预测方法的反应。

0
下载
关闭预览

相关内容

专知会员服务
45+阅读 · 2020年12月18日
Linux导论,Introduction to Linux,96页ppt
专知会员服务
81+阅读 · 2020年7月26日
专知会员服务
162+阅读 · 2020年1月16日
强化学习最新教程,17页pdf
专知会员服务
182+阅读 · 2019年10月11日
机器学习入门的经验与建议
专知会员服务
94+阅读 · 2019年10月10日
Hierarchically Structured Meta-learning
CreateAMind
27+阅读 · 2019年5月22日
Call for Participation: Shared Tasks in NLPCC 2019
中国计算机学会
5+阅读 · 2019年3月22日
动物脑的好奇心和强化学习的好奇心
CreateAMind
10+阅读 · 2019年1月26日
强化学习的Unsupervised Meta-Learning
CreateAMind
18+阅读 · 2019年1月7日
meta learning 17年:MAML SNAIL
CreateAMind
11+阅读 · 2019年1月2日
A Technical Overview of AI & ML in 2018 & Trends for 2019
待字闺中
18+阅读 · 2018年12月24日
Disentangled的假设的探讨
CreateAMind
9+阅读 · 2018年12月10日
Hierarchical Disentangled Representations
CreateAMind
4+阅读 · 2018年4月15日
计算机视觉近一年进展综述
机器学习研究会
9+阅读 · 2017年11月25日
【今日新增】IEEE Trans.专刊截稿信息8条
Call4Papers
7+阅读 · 2017年6月29日
Arxiv
4+阅读 · 2019年4月17日
Arxiv
3+阅读 · 2018年12月21日
Arxiv
11+阅读 · 2018年7月31日
Arxiv
6+阅读 · 2018年3月28日
Arxiv
3+阅读 · 2015年5月16日
VIP会员
相关资讯
Hierarchically Structured Meta-learning
CreateAMind
27+阅读 · 2019年5月22日
Call for Participation: Shared Tasks in NLPCC 2019
中国计算机学会
5+阅读 · 2019年3月22日
动物脑的好奇心和强化学习的好奇心
CreateAMind
10+阅读 · 2019年1月26日
强化学习的Unsupervised Meta-Learning
CreateAMind
18+阅读 · 2019年1月7日
meta learning 17年:MAML SNAIL
CreateAMind
11+阅读 · 2019年1月2日
A Technical Overview of AI & ML in 2018 & Trends for 2019
待字闺中
18+阅读 · 2018年12月24日
Disentangled的假设的探讨
CreateAMind
9+阅读 · 2018年12月10日
Hierarchical Disentangled Representations
CreateAMind
4+阅读 · 2018年4月15日
计算机视觉近一年进展综述
机器学习研究会
9+阅读 · 2017年11月25日
【今日新增】IEEE Trans.专刊截稿信息8条
Call4Papers
7+阅读 · 2017年6月29日
Top
微信扫码咨询专知VIP会员