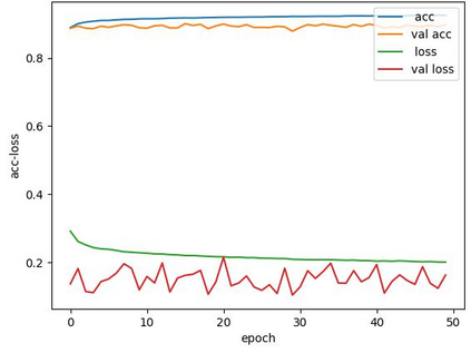
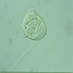
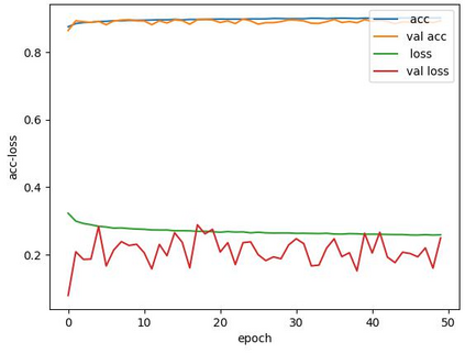
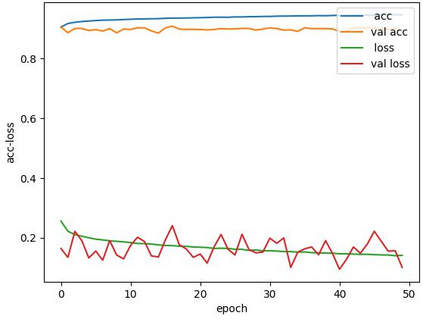
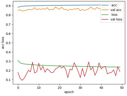
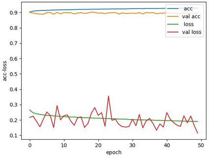
Nowadays, analysis of Transparent Environmental Microorganism Images (T-EM images) in the field of computer vision has gradually become a new and interesting spot. This paper compares different deep learning classification performance for the problem that T-EM images are challenging to analyze. We crop the T-EM images into 8 * 8 and 224 * 224 pixel patches in the same proportion and then divide the two different pixel patches into foreground and background according to ground truth. We also use four convolutional neural networks and a novel ViT network model to compare the foreground and background classification experiments. We conclude that ViT performs the worst in classifying 8 * 8 pixel patches, but it outperforms most convolutional neural networks in classifying 224 * 224 pixel patches.


翻译:目前,计算机视觉领域透明环境微生物图像分析(T-EM图像)逐渐成为一个有趣的新点。本文比较了T-EM图像分析困难的问题的不同深层次学习分类性能。 我们将T-EM图像切成8 * 8 和224 * 224 像素补丁, 比例相同, 然后根据地面真相将两个不同的像素补丁分割成前景和背景。 我们还使用四个神经神经网络和一个新颖的VIT网络模型来比较地表和背景分类实验。 我们的结论是, VIT在对8 * 8 像素补丁进行分类方面表现最差, 但它在对224 * 224 像素补丁进行分类时, 超越了大多数革命性神经网络。

0
下载
关闭预览

相关内容

神经网络(Neural Networks)是世界上三个最古老的神经建模学会的档案期刊:国际神经网络学会(INNS)、欧洲神经网络学会(ENNS)和日本神经网络学会(JNNS)。神经网络提供了一个论坛,以发展和培育一个国际社会的学者和实践者感兴趣的所有方面的神经网络和相关方法的计算智能。神经网络欢迎高质量论文的提交,有助于全面的神经网络研究,从行为和大脑建模,学习算法,通过数学和计算分析,系统的工程和技术应用,大量使用神经网络的概念和技术。这一独特而广泛的范围促进了生物和技术研究之间的思想交流,并有助于促进对生物启发的计算智能感兴趣的跨学科社区的发展。因此,神经网络编委会代表的专家领域包括心理学,神经生物学,计算机科学,工程,数学,物理。该杂志发表文章、信件和评论以及给编辑的信件、社论、时事、软件调查和专利信息。文章发表在五个部分之一:认知科学,神经科学,学习系统,数学和计算分析、工程和应用。 官网地址:http://dblp.uni-trier.de/db/journals/nn/
【Google】监督对比学习,Supervised Contrastive Learning
专知会员服务
75+阅读 · 2020年4月24日
Stabilizing Transformers for Reinforcement Learning
专知会员服务
60+阅读 · 2019年10月17日
开源书:PyTorch深度学习起步
专知会员服务
51+阅读 · 2019年10月11日
[综述]深度学习下的场景文本检测与识别
专知会员服务
78+阅读 · 2019年10月10日
Unsupervised Learning via Meta-Learning
CreateAMind
43+阅读 · 2019年1月3日
Hierarchical Disentangled Representations
CreateAMind
4+阅读 · 2018年4月15日
最前沿的深度学习论文、架构及资源分享
深度学习与NLP
13+阅读 · 2018年1月25日
ResNet, AlexNet, VGG, Inception:各种卷积网络架构的理解
全球人工智能
20+阅读 · 2017年12月17日
Capsule Networks解析
机器学习研究会
11+阅读 · 2017年11月12日
深度学习医学图像分析文献集
机器学习研究会
19+阅读 · 2017年10月13日
【推荐】视频目标分割基础
机器学习研究会
9+阅读 · 2017年9月19日
【推荐】深度学习目标检测全面综述
机器学习研究会
21+阅读 · 2017年9月13日
【推荐】深度学习目标检测概览
机器学习研究会
10+阅读 · 2017年9月1日
Arxiv
19+阅读 · 2020年12月23日
How to Fine-Tune BERT for Text Classification?
Arxiv
13+阅读 · 2019年5月14日
Arxiv
12+阅读 · 2018年9月15日
VIP会员
相关资讯
Unsupervised Learning via Meta-Learning
CreateAMind
43+阅读 · 2019年1月3日
Hierarchical Disentangled Representations
CreateAMind
4+阅读 · 2018年4月15日
最前沿的深度学习论文、架构及资源分享
深度学习与NLP
13+阅读 · 2018年1月25日
ResNet, AlexNet, VGG, Inception:各种卷积网络架构的理解
全球人工智能
20+阅读 · 2017年12月17日
Capsule Networks解析
机器学习研究会
11+阅读 · 2017年11月12日
深度学习医学图像分析文献集
机器学习研究会
19+阅读 · 2017年10月13日
【推荐】视频目标分割基础
机器学习研究会
9+阅读 · 2017年9月19日
【推荐】深度学习目标检测全面综述
机器学习研究会
21+阅读 · 2017年9月13日
【推荐】深度学习目标检测概览
机器学习研究会
10+阅读 · 2017年9月1日
Top
微信扫码咨询专知VIP会员