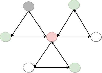
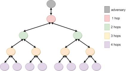
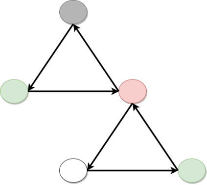
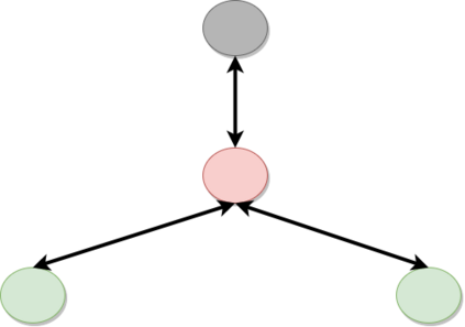
Sender anonymity in network communication is an important problem, widely addressed in the literature. Mixnets, combined with onion routing, represent certainly the most concrete and effective approach achieving the above goal. In general, the drawback of these approaches is that anonymity has a price in terms of traffic overhead and latency. On the Internet, to achieve scalability and not to require relevant infrastructure and network-protocol changes, only P2P overlay protocols can be adopted. Among these, the most representative proposal is certainly Tarzan, which is designed to obtain strong anonymity still preserving low-latency applications. In recent years, we are witnessing a change in Internet traffic. Due to IoT, cloud storage, WSN, M2M, uplink traffic is more and more increasing. An interesting question is whether this new traffic configuration may enable new strategies to improve the effectiveness of Tarzan-like approaches. In this paper, we investigate this problem, by proposing \textit{C-Tarzan}, an anonymous overlay P2P routing protocol. Through a deep experimental analysis, we show that C-Tarzan outperforms Tarzan in the case of uplink-intensive applications.


翻译:网络通信中的匿名发送者是一个重要问题,在文献中广泛涉及这一问题。 混合网,加上洋葱路由,肯定代表着实现上述目标的最具体和有效的方法。 一般来说,这些方法的缺点是匿名在交通管理费和延缓性方面有一个价格。 在互联网上,为了实现可扩缩性,而不是要求相关的基础设施和网络-程序变化,只能采用P2P重叠协议。 其中,最有代表性的建议当然是Tarzan, 其设计是为了获得强有力的匿名,仍然保留低延迟应用。近年来,我们目睹了互联网交通的变化。由于IoT, 云存储, WSN, M2M, 上连接流量越来越高。一个有趣的问题是,这种新的交通配置是否能够促成新的战略来提高像Tarzan那样的方法的有效性。 在本文中,我们通过提议 pextitit{C-Tarzan}, 一个匿名的覆盖P2P路径协议。 通过深入的实验分析,我们展示了C-Tarzan 的超频度应用。

0
下载
关闭预览

相关内容

Stabilizing Transformers for Reinforcement Learning
专知会员服务
60+阅读 · 2019年10月17日
Keras François Chollet 《Deep Learning with Python 》, 386页pdf
专知会员服务
163+阅读 · 2019年10月12日
强化学习最新教程,17页pdf
专知会员服务
182+阅读 · 2019年10月11日
[综述]深度学习下的场景文本检测与识别
专知会员服务
78+阅读 · 2019年10月10日
【哈佛大学商学院课程Fall 2019】机器学习可解释性
专知会员服务
105+阅读 · 2019年10月9日
IEEE ICKG 2022: Call for Papers
机器学习与推荐算法
3+阅读 · 2022年3月30日
【ICIG2021】Check out the hot new trailer of ICIG2021 Symposium9
中国图象图形学学会CSIG
0+阅读 · 2021年12月17日
【ICIG2021】Check out the hot new trailer of ICIG2021 Symposium8
中国图象图形学学会CSIG
0+阅读 · 2021年11月16日
【ICIG2021】Check out the hot new trailer of ICIG2021 Symposium6
中国图象图形学学会CSIG
2+阅读 · 2021年11月12日
【ICIG2021】Check out the hot new trailer of ICIG2021 Symposium5
中国图象图形学学会CSIG
1+阅读 · 2021年11月11日
【ICIG2021】Check out the hot new trailer of ICIG2021 Symposium4
中国图象图形学学会CSIG
0+阅读 · 2021年11月10日
【ICIG2021】Check out the hot new trailer of ICIG2021 Symposium3
中国图象图形学学会CSIG
0+阅读 · 2021年11月9日
【ICIG2021】Check out the hot new trailer of ICIG2021 Symposium2
中国图象图形学学会CSIG
0+阅读 · 2021年11月8日
【ICIG2021】Check out the hot new trailer of ICIG2021 Symposium1
中国图象图形学学会CSIG
0+阅读 · 2021年11月3日
Hierarchically Structured Meta-learning
CreateAMind
27+阅读 · 2019年5月22日
国家自然科学基金
1+阅读 · 2014年12月31日
国家自然科学基金
0+阅读 · 2013年12月31日
国家自然科学基金
0+阅读 · 2013年12月31日
国家自然科学基金
0+阅读 · 2013年12月31日
国家自然科学基金
0+阅读 · 2012年12月31日
国家自然科学基金
1+阅读 · 2012年12月31日
Arxiv
13+阅读 · 2022年8月16日
A Comprehensive Survey on Transfer Learning
Arxiv
121+阅读 · 2019年11月7日
VIP会员
相关VIP内容
相关资讯
IEEE ICKG 2022: Call for Papers
机器学习与推荐算法
3+阅读 · 2022年3月30日
【ICIG2021】Check out the hot new trailer of ICIG2021 Symposium9
中国图象图形学学会CSIG
0+阅读 · 2021年12月17日
【ICIG2021】Check out the hot new trailer of ICIG2021 Symposium8
中国图象图形学学会CSIG
0+阅读 · 2021年11月16日
【ICIG2021】Check out the hot new trailer of ICIG2021 Symposium6
中国图象图形学学会CSIG
2+阅读 · 2021年11月12日
【ICIG2021】Check out the hot new trailer of ICIG2021 Symposium5
中国图象图形学学会CSIG
1+阅读 · 2021年11月11日
【ICIG2021】Check out the hot new trailer of ICIG2021 Symposium4
中国图象图形学学会CSIG
0+阅读 · 2021年11月10日
【ICIG2021】Check out the hot new trailer of ICIG2021 Symposium3
中国图象图形学学会CSIG
0+阅读 · 2021年11月9日
【ICIG2021】Check out the hot new trailer of ICIG2021 Symposium2
中国图象图形学学会CSIG
0+阅读 · 2021年11月8日
【ICIG2021】Check out the hot new trailer of ICIG2021 Symposium1
中国图象图形学学会CSIG
0+阅读 · 2021年11月3日
Hierarchically Structured Meta-learning
CreateAMind
27+阅读 · 2019年5月22日
相关基金
国家自然科学基金
1+阅读 · 2014年12月31日
国家自然科学基金
0+阅读 · 2013年12月31日
国家自然科学基金
0+阅读 · 2013年12月31日
国家自然科学基金
0+阅读 · 2013年12月31日
国家自然科学基金
0+阅读 · 2012年12月31日
国家自然科学基金
1+阅读 · 2012年12月31日
Top
微信扫码咨询专知VIP会员