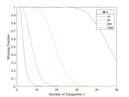
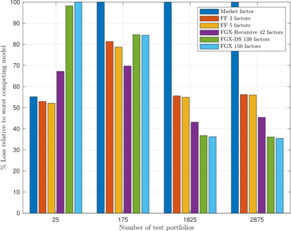
Different agents need to make a prediction. They observe identical data, but have different models: they predict using different explanatory variables. We study which agent believes they have the best predictive ability -- as measured by the smallest subjective posterior mean squared prediction error -- and show how it depends on the sample size. With small samples, we present results suggesting it is an agent using a low-dimensional model. With large samples, it is generally an agent with a high-dimensional model, possibly including irrelevant variables, but never excluding relevant ones. We apply our results to characterize the winning model in an auction of productive assets, to argue that entrepreneurs and investors with simple models will be over-represented in new sectors, and to understand the proliferation of "factors" that explain the cross-sectional variation of expected stock returns in the asset-pricing literature.


翻译:不同的代理商需要做出预测。 他们观察相同的数据, 但有不同的模型: 他们预测使用不同的解释变量。 我们研究哪个代理商认为他们拥有最好的预测能力 -- 以最小的主观后端平均平方预测错误来衡量 -- 并显示它如何取决于样本大小。 有了小样本, 我们给出的结果显示它是一个使用低维模型的代理商。 有大样本, 它一般是一个高维模型的代理商, 可能包括无关的变量, 但从不排斥相关变量。 我们运用我们的结果来在生产性资产拍卖中描述胜出模型的特点, 论证拥有简单模型的企业家和投资者在新部门中的比例会过高, 并理解“ 因素” 的扩散, 解释资产定价文献中预期股票回报的跨部门变化。

0
下载
关闭预览

相关内容

ACM/IEEE第23届模型驱动工程语言和系统国际会议,是模型驱动软件和系统工程的首要会议系列,由ACM-SIGSOFT和IEEE-TCSE支持组织。自1998年以来,模型涵盖了建模的各个方面,从语言和方法到工具和应用程序。模特的参加者来自不同的背景,包括研究人员、学者、工程师和工业专业人士。MODELS 2019是一个论坛,参与者可以围绕建模和模型驱动的软件和系统交流前沿研究成果和创新实践经验。今年的版本将为建模社区提供进一步推进建模基础的机会,并在网络物理系统、嵌入式系统、社会技术系统、云计算、大数据、机器学习、安全、开源等新兴领域提出建模的创新应用以及可持续性。 官网链接:http://www.modelsconference.org/
【干货书】机器学习速查手册,135页pdf
专知会员服务
127+阅读 · 2020年11月20日
专知会员服务
124+阅读 · 2020年9月8日
专知会员服务
54+阅读 · 2020年9月7日
强化学习最新教程,17页pdf
专知会员服务
182+阅读 · 2019年10月11日
机器学习入门的经验与建议
专知会员服务
94+阅读 · 2019年10月10日
【论文笔记】通俗理解少样本文本分类 (Few-Shot Text Classification) (1)
深度学习自然语言处理
7+阅读 · 2020年4月8日
Transferring Knowledge across Learning Processes
CreateAMind
29+阅读 · 2019年5月18日
逆强化学习-学习人先验的动机
CreateAMind
16+阅读 · 2019年1月18日
利用动态深度学习预测金融时间序列基于Python
量化投资与机器学习
18+阅读 · 2018年10月30日
【推荐】直接未来预测:增强学习监督学习
机器学习研究会
6+阅读 · 2017年11月24日
【论文】变分推断(Variational inference)的总结
机器学习研究会
39+阅读 · 2017年11月16日
【推荐】决策树/随机森林深入解析
机器学习研究会
5+阅读 · 2017年9月21日
【推荐】RNN/LSTM时序预测
机器学习研究会
25+阅读 · 2017年9月8日
【学习】Hierarchical Softmax
机器学习研究会
4+阅读 · 2017年8月6日
Auto-Encoding GAN
CreateAMind
7+阅读 · 2017年8月4日
Arxiv
0+阅读 · 2022年1月13日
Arxiv
0+阅读 · 2022年1月7日
Arxiv
15+阅读 · 2020年12月17日
Arxiv
3+阅读 · 2017年12月18日
VIP会员
相关资讯
【论文笔记】通俗理解少样本文本分类 (Few-Shot Text Classification) (1)
深度学习自然语言处理
7+阅读 · 2020年4月8日
Transferring Knowledge across Learning Processes
CreateAMind
29+阅读 · 2019年5月18日
逆强化学习-学习人先验的动机
CreateAMind
16+阅读 · 2019年1月18日
利用动态深度学习预测金融时间序列基于Python
量化投资与机器学习
18+阅读 · 2018年10月30日
【推荐】直接未来预测:增强学习监督学习
机器学习研究会
6+阅读 · 2017年11月24日
【论文】变分推断(Variational inference)的总结
机器学习研究会
39+阅读 · 2017年11月16日
【推荐】决策树/随机森林深入解析
机器学习研究会
5+阅读 · 2017年9月21日
【推荐】RNN/LSTM时序预测
机器学习研究会
25+阅读 · 2017年9月8日
【学习】Hierarchical Softmax
机器学习研究会
4+阅读 · 2017年8月6日
Auto-Encoding GAN
CreateAMind
7+阅读 · 2017年8月4日
Top
微信扫码咨询专知VIP会员