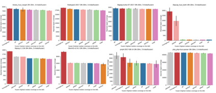
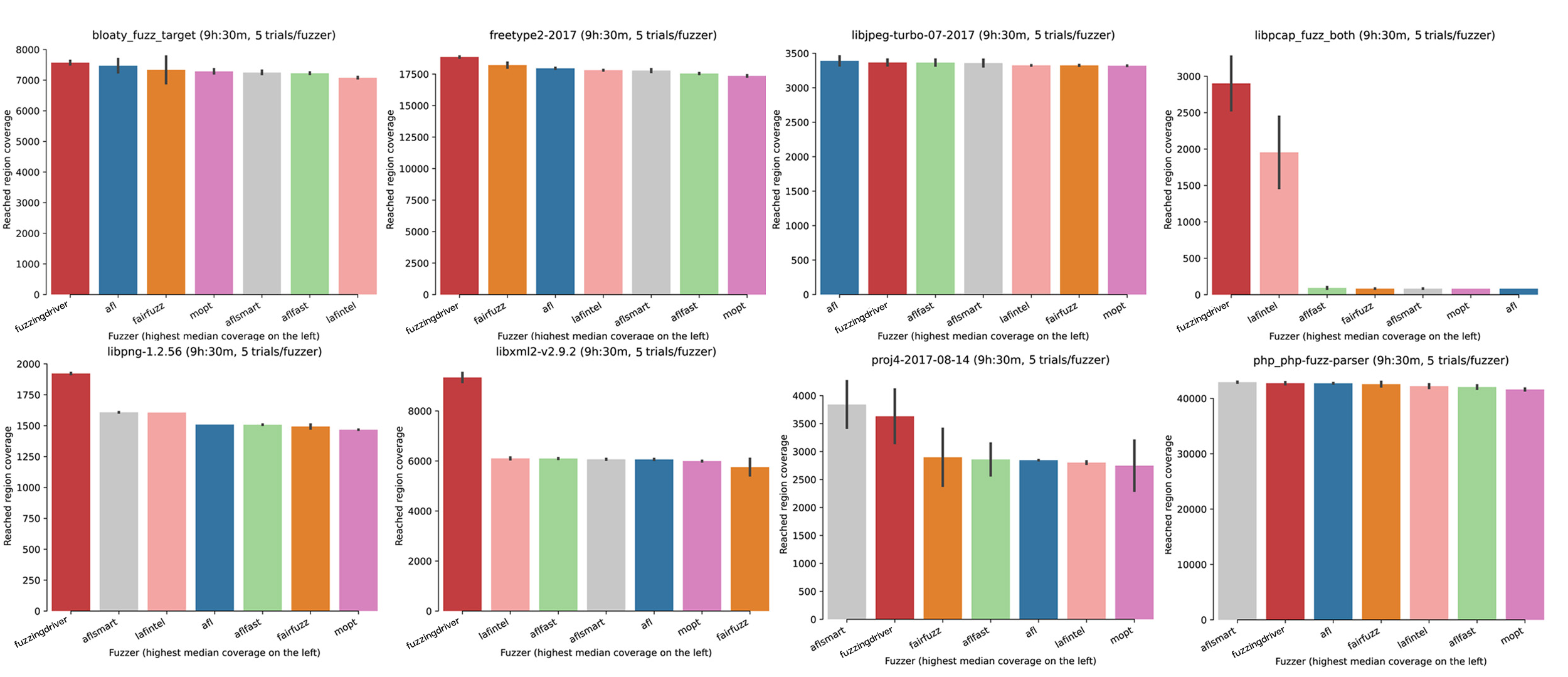
We propose a tool, called FuzzingDriver, to generate dictionary tokens for coverage-based greybox fuzzers (CGF) from the codebase of any target program. FuzzingDriver does not add any overhead to the fuzzing job as it is run beforehand. We compared FuzzingDriver to Google dictionaries by fuzzing six open-source targets, and we found that FuzzingDriver consistently achieves higher code coverage in all tests. We also executed eight benchmarks on FuzzBench to demonstrate how utilizing FuzzingDriver's dictionaries can outperform six widely-used CGF fuzzers. In future work, investigating the impact of FuzzingDriver's dictionaries on improving bug coverage might prove important. Video demonstration: https://www.youtube.com/watch?v=Y8j_KvfRrI8


翻译:我们提议了一个名为 Fuzzing Driver 的工具, 用于从任何目标程序的代码库生成基于覆盖的灰箱模糊器( CGF) 字典符号。 Fuzzing Driver 并不给先前运行的模糊工作增加任何间接费用。 我们通过模糊六个开放源目标,将 Fuzzing Driver 与 Google 字典进行比较,我们发现 Fuzzing Driver 在所有测试中总是能达到更高的代码覆盖。 我们还在 FuzzBench 上执行了八个基准, 以显示 Fuzzing Driver 字典如何能超过六个广泛使用的 CFFF F fuzzers。 在今后的工作中, 调查 Fuzzing Driver 字典对改进错误覆盖的影响可能很重要 。 视频演示 : https://www.youtube.com/ watch? v=Y8j_ KvRrI8

0
下载
关闭预览

相关内容

国际期刊计算机图形学论坛(CGF)由欧洲图形协会和Wiley(前Blackwell)联合出版。CGF是有关计算机图形学的深入技术文章的领先期刊。 官网地址:http://dblp.uni-trier.de/db/journals/cgf/
专知会员服务
45+阅读 · 2020年10月31日
Linux导论,Introduction to Linux,96页ppt
专知会员服务
82+阅读 · 2020年7月26日
强化学习最新教程,17页pdf
专知会员服务
182+阅读 · 2019年10月11日
IEEE ICKG 2022: Call for Papers
机器学习与推荐算法
3+阅读 · 2022年3月30日
【ICIG2021】Latest News & Announcements of the Tutorial
中国图象图形学学会CSIG
3+阅读 · 2021年12月20日
【ICIG2021】Latest News & Announcements of the Workshop
中国图象图形学学会CSIG
0+阅读 · 2021年12月20日
【ICIG2021】Check out the hot new trailer of ICIG2021 Symposium3
中国图象图形学学会CSIG
0+阅读 · 2021年11月9日
【ICIG2021】Latest News & Announcements of the Plenary Talk2
中国图象图形学学会CSIG
0+阅读 · 2021年11月2日
【ICIG2021】Latest News & Announcements of the Plenary Talk1
中国图象图形学学会CSIG
0+阅读 · 2021年11月1日
【ICIG2021】Latest News & Announcements of the Industry Talk2
中国图象图形学学会CSIG
0+阅读 · 2021年7月29日
【ICIG2021】Latest News & Announcements of the Industry Talk1
中国图象图形学学会CSIG
0+阅读 · 2021年7月28日
Unsupervised Learning via Meta-Learning
CreateAMind
43+阅读 · 2019年1月3日
A Technical Overview of AI & ML in 2018 & Trends for 2019
待字闺中
18+阅读 · 2018年12月24日
国家自然科学基金
0+阅读 · 2015年12月31日
国家自然科学基金
1+阅读 · 2014年12月31日
国家自然科学基金
0+阅读 · 2014年12月31日
国家自然科学基金
0+阅读 · 2012年12月31日
国家自然科学基金
0+阅读 · 2012年12月31日
国家自然科学基金
0+阅读 · 2012年12月31日
国家自然科学基金
0+阅读 · 2011年12月31日
国家自然科学基金
0+阅读 · 2011年12月31日
Arxiv
0+阅读 · 2022年4月19日
Arxiv
0+阅读 · 2022年4月18日
Arxiv
0+阅读 · 2022年4月15日
VIP会员
相关VIP内容
专知会员服务
45+阅读 · 2020年10月31日
Linux导论,Introduction to Linux,96页ppt
专知会员服务
82+阅读 · 2020年7月26日
强化学习最新教程,17页pdf
专知会员服务
182+阅读 · 2019年10月11日
相关资讯
IEEE ICKG 2022: Call for Papers
机器学习与推荐算法
3+阅读 · 2022年3月30日
【ICIG2021】Latest News & Announcements of the Tutorial
中国图象图形学学会CSIG
3+阅读 · 2021年12月20日
【ICIG2021】Latest News & Announcements of the Workshop
中国图象图形学学会CSIG
0+阅读 · 2021年12月20日
【ICIG2021】Check out the hot new trailer of ICIG2021 Symposium3
中国图象图形学学会CSIG
0+阅读 · 2021年11月9日
【ICIG2021】Latest News & Announcements of the Plenary Talk2
中国图象图形学学会CSIG
0+阅读 · 2021年11月2日
【ICIG2021】Latest News & Announcements of the Plenary Talk1
中国图象图形学学会CSIG
0+阅读 · 2021年11月1日
【ICIG2021】Latest News & Announcements of the Industry Talk2
中国图象图形学学会CSIG
0+阅读 · 2021年7月29日
【ICIG2021】Latest News & Announcements of the Industry Talk1
中国图象图形学学会CSIG
0+阅读 · 2021年7月28日
Unsupervised Learning via Meta-Learning
CreateAMind
43+阅读 · 2019年1月3日
A Technical Overview of AI & ML in 2018 & Trends for 2019
待字闺中
18+阅读 · 2018年12月24日
相关基金
国家自然科学基金
0+阅读 · 2015年12月31日
国家自然科学基金
1+阅读 · 2014年12月31日
国家自然科学基金
0+阅读 · 2014年12月31日
国家自然科学基金
0+阅读 · 2012年12月31日
国家自然科学基金
0+阅读 · 2012年12月31日
国家自然科学基金
0+阅读 · 2012年12月31日
国家自然科学基金
0+阅读 · 2011年12月31日
国家自然科学基金
0+阅读 · 2011年12月31日
Top
微信扫码咨询专知VIP会员