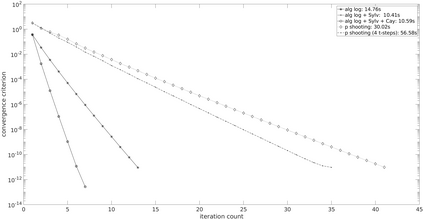
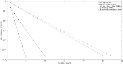
We address the problem of computing Riemannian normal coordinates on the real, compact Stiefel manifold of orthogonal frames. The Riemannian normal coordinates are based on the so-called Riemannian exponential and the Riemannian logarithm maps and enable to transfer almost any computational procedure to the realm of the Stiefel manifold. To compute the Riemannian logarithm is to solve the (local) geodesic endpoint problem. Instead of restricting the consideration to geodesics with respect to a single selected metric, we consider a family of Riemannian metrics introduced by H\"uper, Markina and Silva-Leite that includes the Euclidean and the canonical metric as prominent examples. As main contributions, we provide (1) a unified, structured, reduced formula for the Stiefel geodesics for the complete family of metrics, (2) a unified method to tackle the geodesic endpoint problem, (3) an improvement of the existing Riemannian log map under the canonical metric. The findings are illustrated by means of numerical examples, where the novel algorithms prove to be the most efficient methods known to this date.


翻译:我们解决了在正方形实际的紧凑 Stiefel 方块上计算里曼尼正常坐标的问题。里曼尼正常坐标以所谓的里曼指数和里曼尼对数地图为基础,能够将几乎任何计算程序转移到斯特杰尔方块的范围。计算里曼尼对数是解决(当地)大地学终点问题的统一方法。我们不把考虑限于对单一选定度量计的大地测量学,而是考虑H\"uper、Markina和Silva-Leite所介绍的里曼度量度数家庭,其中包括Euclidean和Canonical度量度图,作为突出的例子。作为主要贡献,我们提供了(1) Stiefel大地学公式的统一、结构化和减少公式,用于整个度量度组,(2)解决地德端点问题的统一方法,(3)改进目前Riemannian对地标图,在卡度度度度测量中采用的方法。研究结果通过数字示例加以说明,其中新颖的算法证明这一有效日期。

0
下载
关闭预览

相关内容

【干货书】机器学习速查手册,135页pdf
专知会员服务
127+阅读 · 2020年11月20日
【干货书】现代数据平台架构,636页pdf
专知会员服务
260+阅读 · 2020年6月15日
Python分布式计算,171页pdf,Distributed Computing with Python
专知会员服务
108+阅读 · 2020年5月3日
Stabilizing Transformers for Reinforcement Learning
专知会员服务
60+阅读 · 2019年10月17日
MIT新书《强化学习与最优控制》
专知会员服务
281+阅读 · 2019年10月9日
Hierarchically Structured Meta-learning
CreateAMind
27+阅读 · 2019年5月22日
Transferring Knowledge across Learning Processes
CreateAMind
29+阅读 · 2019年5月18日
计算机 | CCF推荐期刊专刊信息5条
Call4Papers
3+阅读 · 2019年4月10日
【TED】生命中的每一年的智慧
英语演讲视频每日一推
10+阅读 · 2019年1月29日
Unsupervised Learning via Meta-Learning
CreateAMind
43+阅读 · 2019年1月3日
A Technical Overview of AI & ML in 2018 & Trends for 2019
待字闺中
18+阅读 · 2018年12月24日
人工智能 | 国际会议信息10条
Call4Papers
5+阅读 · 2018年12月18日
计算机类 | 11月截稿会议信息9条
Call4Papers
6+阅读 · 2018年10月14日
【推荐】免费书(草稿):数据科学的数学基础
机器学习研究会
20+阅读 · 2017年10月1日
Auto-Encoding GAN
CreateAMind
7+阅读 · 2017年8月4日
Arxiv
0+阅读 · 2021年5月14日
Arxiv
4+阅读 · 2018年1月15日
VIP会员
相关资讯
Hierarchically Structured Meta-learning
CreateAMind
27+阅读 · 2019年5月22日
Transferring Knowledge across Learning Processes
CreateAMind
29+阅读 · 2019年5月18日
计算机 | CCF推荐期刊专刊信息5条
Call4Papers
3+阅读 · 2019年4月10日
【TED】生命中的每一年的智慧
英语演讲视频每日一推
10+阅读 · 2019年1月29日
Unsupervised Learning via Meta-Learning
CreateAMind
43+阅读 · 2019年1月3日
A Technical Overview of AI & ML in 2018 & Trends for 2019
待字闺中
18+阅读 · 2018年12月24日
人工智能 | 国际会议信息10条
Call4Papers
5+阅读 · 2018年12月18日
计算机类 | 11月截稿会议信息9条
Call4Papers
6+阅读 · 2018年10月14日
【推荐】免费书(草稿):数据科学的数学基础
机器学习研究会
20+阅读 · 2017年10月1日
Auto-Encoding GAN
CreateAMind
7+阅读 · 2017年8月4日
Top
微信扫码咨询专知VIP会员