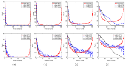
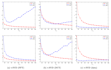
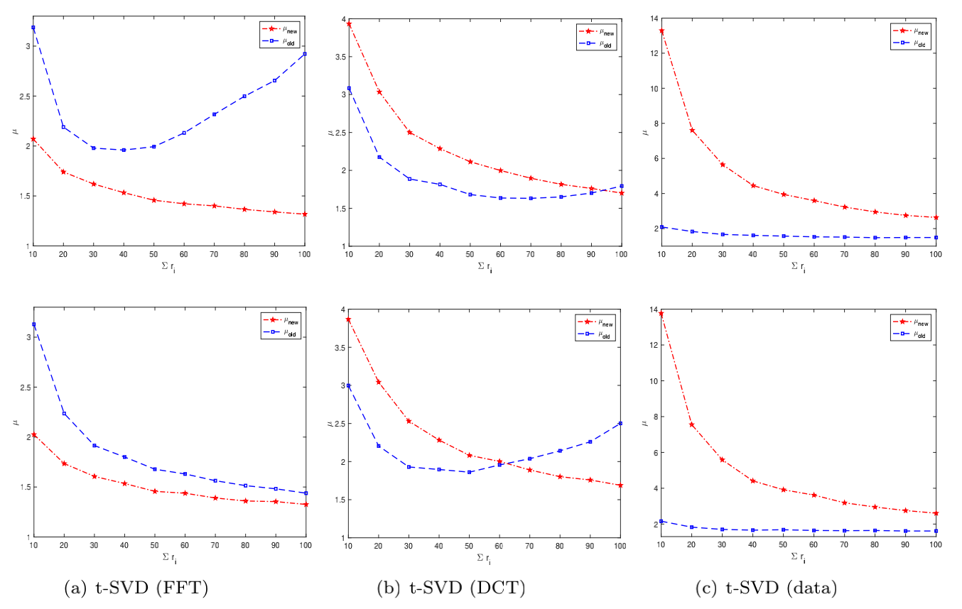
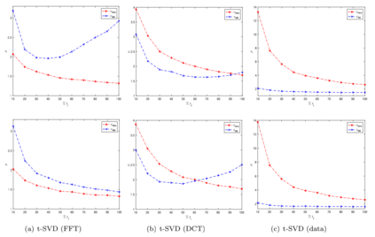
One of the key problems in tensor completion is the number of uniformly random sample entries required for recovery guarantee. The main aim of this paper is to study $n_1 \times n_2 \times n_3$ third-order tensor completion and investigate into incoherence conditions of $n_3$ low-rank $n_1$-by-$n_2$ matrix slices under the transformed tensor singular value decomposition where the unitary transformation is applied along $n_3$-dimension. We show that such low-rank tensors can be recovered exactly with high probability when the number of randomly observed entries is of order $O( r\max \{n_1, n_2 \} \log ( \max \{ n_1, n_2 \} n_3))$, where $r$ is the sum of the ranks of these $n_3$ matrix slices in the transformed tensor. By utilizing synthetic data and imaging data sets, we demonstrate that the theoretical result can be obtained under valid incoherence conditions, and the tensor completion performance of the proposed method is also better than that of existing methods in terms of sample sizes requirement.


翻译:单项变换在单项变换在单项变换中应用的单项变换单项变换值的总和中,在变变换成单项变换时,美元是美元1美元1美元1美元1美元1美元1美元1美元2美元2美元基质切片,在变换成单项变换在变换后,单项变换在变换时采用单项变换值1美元3美元的基质切片,因此,在随机观察到的分录数量为美元O(r\max n_1美元1美元、n_2美元)时,本文件的主要目的是研究3美元第三顺序的补全和调查不一致性条件(nxxxxxxxxxxxxxxxxxxxxxxxxxxxxxxxxxxxxxxxxxxxxxxxxxxxxxxxxxxxxxxxxxxxxxxxxxxxxxxxxxxxxxxxxxxxxxxxxxxxxxxxxxxxxxxxxxxxxxxxxxxxxxxxxxxxxxxxxxxxxxxxxxxxxxxxxxxxxxxxxxxxxxxxxxxxxxxxxxxxxxxxxxxxxxxxxxxxxxxxxxxxxxxxxxxxxxxxxxxxxxxxxxxxxxxxxxxxxxxxxxxxxxxxx)xxxxxxxxxxxxxxxxxxxxxxxxxxxxxxxxxxxxxxxxxxxxxxxxxxxxxxxxxxxxxxxxxxxxxxxxxxxxxxxxxxxxxxxxxxxxxxxxxxxxxxxxxxxxx

0
下载
关闭预览

相关内容

【ACML2020】张量网络机器学习:最近的进展和前沿,109页ppt
专知会员服务
55+阅读 · 2020年12月15日
专知会员服务
51+阅读 · 2020年12月14日
Linux导论,Introduction to Linux,96页ppt
专知会员服务
82+阅读 · 2020年7月26日
鲁棒机器学习相关文献集
专知
8+阅读 · 2019年8月18日
Transferring Knowledge across Learning Processes
CreateAMind
29+阅读 · 2019年5月18日
spinningup.openai 强化学习资源完整
CreateAMind
6+阅读 · 2018年12月17日
【泡泡一分钟】无参相机标定
泡泡机器人SLAM
4+阅读 · 2018年11月7日
lightgbm algorithm case of kaggle(上)
R语言中文社区
8+阅读 · 2018年3月20日
机器学习线性代数速查
机器学习研究会
19+阅读 · 2018年2月25日
【学习】Hierarchical Softmax
机器学习研究会
4+阅读 · 2017年8月6日
Auto-Encoding GAN
CreateAMind
7+阅读 · 2017年8月4日
A Marching Cube Algorithm Based on Edge Growth
Arxiv
0+阅读 · 2021年2月21日
Gaussian Process Regression in Logarithmic Time
Arxiv
0+阅读 · 2021年2月19日
Arxiv
0+阅读 · 2021年2月18日
Arxiv
0+阅读 · 2021年2月17日
Learning to Importance Sample in Primary Sample Space
VIP会员
相关资讯
鲁棒机器学习相关文献集
专知
8+阅读 · 2019年8月18日
Transferring Knowledge across Learning Processes
CreateAMind
29+阅读 · 2019年5月18日
spinningup.openai 强化学习资源完整
CreateAMind
6+阅读 · 2018年12月17日
【泡泡一分钟】无参相机标定
泡泡机器人SLAM
4+阅读 · 2018年11月7日
lightgbm algorithm case of kaggle(上)
R语言中文社区
8+阅读 · 2018年3月20日
机器学习线性代数速查
机器学习研究会
19+阅读 · 2018年2月25日
【学习】Hierarchical Softmax
机器学习研究会
4+阅读 · 2017年8月6日
Auto-Encoding GAN
CreateAMind
7+阅读 · 2017年8月4日
Top
微信扫码咨询专知VIP会员