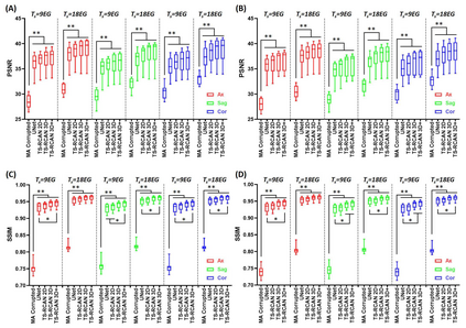
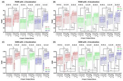
Shortening acquisition time and reducing the motion artifacts are two of the most essential concerns in magnetic resonance imaging. As a promising solution, deep learning-based high-quality MR image restoration has been investigated to generate highly-resolved and motion artifact-free MR images from lower resolution images acquired with shortened acquisition time or motion artifact-corrupted images. However, numerous problems still exist to prevent deep learning approaches from becoming practical in the clinic environment. Specifically, most of the prior works focus solely on the network but ignore the impact of various down-sampling strategies on the acquisition time. Besides, the long inference time and high GPU consumption are also the bottlenecks to deploy most of the prior works in clinics. Furthermore, prior studies employ random movement in retrospective motion artifact generation, resulting in uncontrollable severity of motion artifact. More importantly, doctors are unsure whether the generated MR images are trustworthy, making diagnosis difficult. To overcome all these problems, we adopted a unified framework of 2D deep learning neural network for both 3D MRI super-resolution and motion artifact reduction, demonstrating such a framework can achieve better performance in 3D MRI restoration tasks compared to other state-of-the-art methods and remain the GPU consumption and inference time significantly low, thus easier to deploy. We also analyzed several down-sampling strategies based on the acceleration factor, including multiple combinations of in-plane and through-plane down-sampling, and developed a controllable and quantifiable motion artifact generation method. At last, the pixel-wise uncertainty was calculated and used to estimate the accuracy of the generated image, providing additional information for a reliable diagnosis.


翻译:在磁共振成像中,缩短获取时间和减少运动文物的时间是两个最基本的问题。作为一种很有希望的解决办法,已经调查了深层次的学习基础高质量的MR图像恢复,以产生高解析和无运动的MR图像,这些图像来自通过缩短获取时间或运动的文物破坏图像而获得的分辨率较低的图像。然而,在防止深学习方法在诊所环境中变得实用方面仍然存在许多问题。具体地说,大多数先前的工程都只关注网络,却忽视了各种下游复制战略对获取时间的影响。此外,长期的推断时间和高GPU消费也是将大部分先前的工程部署到诊所的瓶颈。此外,先前的研究采用随机移动的回溯性动作生成的MRM图像,导致动作变得难以控制。更重要的是,医生们不确定生成的MRM图像是否可信,从而难以诊断。为了克服所有这些问题,我们为3D 降压下分辨率和运动的裁剪裁采用了一个2D深度学习神经网络的统一框架,表明这种框架在3D下游的低分辨率和高压中可以实现更好的表现,在3D-MRI的低速度的精确度上,从而提供快速的快速的快速恢复,从而通过计算方法,从而提供以更精确的快速的快速的计算到另一个的图像的计算方法。

0
下载
关闭预览

相关内容

专知会员服务
32+阅读 · 2021年6月12日
专知会员服务
61+阅读 · 2020年3月19日
100+篇《自监督学习(Self-Supervised Learning)》论文最新合集
专知会员服务
167+阅读 · 2020年3月18日
Keras François Chollet 《Deep Learning with Python 》, 386页pdf
专知会员服务
163+阅读 · 2019年10月12日
[综述]深度学习下的场景文本检测与识别
专知会员服务
78+阅读 · 2019年10月10日
【SIGGRAPH2019】TensorFlow 2.0深度学习计算机图形学应用
专知会员服务
41+阅读 · 2019年10月9日
VCIP 2022 Call for Demos
CCF多媒体专委会
1+阅读 · 2022年6月6日
ACM MM 2022 Call for Papers
CCF多媒体专委会
5+阅读 · 2022年3月29日
AIART 2022 Call for Papers
CCF多媒体专委会
1+阅读 · 2022年2月13日
【ICIG2021】Check out the hot new trailer of ICIG2021 Symposium1
中国图象图形学学会CSIG
0+阅读 · 2021年11月3日
Hierarchically Structured Meta-learning
CreateAMind
27+阅读 · 2019年5月22日
Transferring Knowledge across Learning Processes
CreateAMind
29+阅读 · 2019年5月18日
无监督元学习表示学习
CreateAMind
27+阅读 · 2019年1月4日
Unsupervised Learning via Meta-Learning
CreateAMind
43+阅读 · 2019年1月3日
A Technical Overview of AI & ML in 2018 & Trends for 2019
待字闺中
18+阅读 · 2018年12月24日
Hierarchical Imitation - Reinforcement Learning
CreateAMind
19+阅读 · 2018年5月25日
国家自然科学基金
0+阅读 · 2015年12月31日
国家自然科学基金
0+阅读 · 2014年12月31日
国家自然科学基金
0+阅读 · 2014年12月31日
国家自然科学基金
0+阅读 · 2013年12月31日
国家自然科学基金
0+阅读 · 2012年12月31日
国家自然科学基金
0+阅读 · 2012年12月31日
国家自然科学基金
0+阅读 · 2011年12月31日
国家自然科学基金
0+阅读 · 2009年12月31日
Arxiv
17+阅读 · 2020年11月15日
W-net: Bridged U-net for 2D Medical Image Segmentation
Arxiv
20+阅读 · 2018年7月12日
VIP会员
相关VIP内容
相关资讯
VCIP 2022 Call for Demos
CCF多媒体专委会
1+阅读 · 2022年6月6日
ACM MM 2022 Call for Papers
CCF多媒体专委会
5+阅读 · 2022年3月29日
AIART 2022 Call for Papers
CCF多媒体专委会
1+阅读 · 2022年2月13日
【ICIG2021】Check out the hot new trailer of ICIG2021 Symposium1
中国图象图形学学会CSIG
0+阅读 · 2021年11月3日
Hierarchically Structured Meta-learning
CreateAMind
27+阅读 · 2019年5月22日
Transferring Knowledge across Learning Processes
CreateAMind
29+阅读 · 2019年5月18日
无监督元学习表示学习
CreateAMind
27+阅读 · 2019年1月4日
Unsupervised Learning via Meta-Learning
CreateAMind
43+阅读 · 2019年1月3日
A Technical Overview of AI & ML in 2018 & Trends for 2019
待字闺中
18+阅读 · 2018年12月24日
Hierarchical Imitation - Reinforcement Learning
CreateAMind
19+阅读 · 2018年5月25日
相关基金
国家自然科学基金
0+阅读 · 2015年12月31日
国家自然科学基金
0+阅读 · 2014年12月31日
国家自然科学基金
0+阅读 · 2014年12月31日
国家自然科学基金
0+阅读 · 2013年12月31日
国家自然科学基金
0+阅读 · 2012年12月31日
国家自然科学基金
0+阅读 · 2012年12月31日
国家自然科学基金
0+阅读 · 2011年12月31日
国家自然科学基金
0+阅读 · 2009年12月31日
Top
微信扫码咨询专知VIP会员