深度学习,如何用去噪自编码器预测原始数据?

2017 年 12 月 28 日 数盟

去噪自编码器(denoising autoencoder, DAE)是一类接受损坏数据作为输入,并训练来预测原始未被损坏数据作为输出的自编码器。

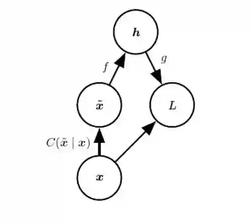
去噪自编码器代价函数的计算图。去噪自编码器被训练为从损坏的版本~x 重构干净数据点x。这可以通过最小化损失L = -log pdecoder(x|h = f(~x)) 实现,其中~x 是样本x 经过损坏过程C(~x| x) 后得到的损坏版本。

得分匹配是最大似然的代替。它提供了概率分布的一致估计,促使模型在各个数据点x 上获得与数据分布相同的得分(score)。

对一类采用高斯噪声和均方误差作为重构误差的特定去噪自编码器(具有sig-moid 隐藏单元和线性重构单元)的去噪训练过程,与训练一类特定的被称为RBM 的无向概率模型是等价的。

将训练样本x 表示为位于低维流形(粗黑线)附近的红叉。我们用灰色圆圈表示等概率的损坏过程C(~x|x)。灰色箭头演示了如何将一个训练样本转换为经过此损坏过程的样本。

由去噪自编码器围绕1 维弯曲流形学习的向量场,其中数据集中在2 维空间中。每个箭头与重构向量减去自编码器的输入向量后的向量成比例,并且根据隐式估计的概率分布指向较高的概率。向量场在估计的密度函数的最大值处(在数据流形上)和密度函数的最小值处都为零。例如,螺旋臂形成局部最大值彼此连接的1维流形。局部最小值出现在两个臂间隙的中间附近。当重构误差的范数(由箭头的长度示出)很大时,在箭头的方向上移动可以显著增加概率,并且在低概率的地方大多也是如此。自编码器将这些低概率点映射到较高的概率重构。在概率最大的情况下,重构变得更准确,因此箭头会收缩。

目前仅限于去噪自编码器如何学习表示一个概率分布。更一般的,我们可能希望使用自编码器作为生成模型,并从其分布中进行采样。

媒体合作请联系:

邮箱:contact@dataunion.org




登录查看更多
2

相关内容

去噪自编码器是自动编码器的随机版本,可降低学习功能的风险。去噪自编码器(denoising autoencoder,DAE)是一类接受损坏数据作为输入,并训练来预测原始未被损坏数据作为输入的自编码器。
最新《多任务学习》综述,39页pdf
专知会员服务
266+阅读 · 2020年7月10日
[ICML2020]层次间消息传递的分子图学习
专知会员服务
34+阅读 · 2020年6月27日
最新《自动微分手册》77页pdf
专知会员服务
103+阅读 · 2020年6月6日
【经典书】机器学习高斯过程,266页pdf
专知会员服务
235+阅读 · 2020年5月2日
深度学习自然语言处理概述,216页ppt,Jindřich Helcl
专知会员服务
216+阅读 · 2020年4月26日
自回归模型:PixelCNN
专知会员服务
27+阅读 · 2020年3月21日
机器学习速查手册,135页pdf
专知会员服务
345+阅读 · 2020年3月15日
一文读懂线性回归、岭回归和Lasso回归
CSDN
34+阅读 · 2019年10月13日
干货 | 深入理解深度学习中的激活函数
计算机视觉life
16+阅读 · 2019年1月29日
深度学习面试100题(第31-35题)
七月在线实验室
8+阅读 · 2018年7月16日
深度学习之视频图像压缩
论智
13+阅读 · 2018年6月15日
如何设计基于深度学习的图像压缩算法
论智
41+阅读 · 2018年4月26日
深度学习 | 利用词嵌入对文本进行情感分析
沈浩老师
11+阅读 · 2017年10月19日
教程 | 深度学习:自动编码器基础和类型
机器之心
5+阅读 · 2017年9月23日
干货 | 深度学习之损失函数与激活函数的选择
机器学习算法与Python学习
15+阅读 · 2017年9月18日
Arxiv
15+阅读 · 2020年2月6日
Star-Transformer
Arxiv
5+阅读 · 2019年2月28日
Arxiv
3+阅读 · 2018年11月14日
Arxiv
3+阅读 · 2018年3月21日
VIP会员
相关VIP内容
最新《多任务学习》综述,39页pdf
专知会员服务
266+阅读 · 2020年7月10日
[ICML2020]层次间消息传递的分子图学习
专知会员服务
34+阅读 · 2020年6月27日
最新《自动微分手册》77页pdf
专知会员服务
103+阅读 · 2020年6月6日
【经典书】机器学习高斯过程,266页pdf
专知会员服务
235+阅读 · 2020年5月2日
深度学习自然语言处理概述,216页ppt,Jindřich Helcl
专知会员服务
216+阅读 · 2020年4月26日
自回归模型:PixelCNN
专知会员服务
27+阅读 · 2020年3月21日
机器学习速查手册,135页pdf
专知会员服务
345+阅读 · 2020年3月15日
相关资讯
一文读懂线性回归、岭回归和Lasso回归
CSDN
34+阅读 · 2019年10月13日
干货 | 深入理解深度学习中的激活函数
计算机视觉life
16+阅读 · 2019年1月29日
深度学习面试100题(第31-35题)
七月在线实验室
8+阅读 · 2018年7月16日
深度学习之视频图像压缩
论智
13+阅读 · 2018年6月15日
如何设计基于深度学习的图像压缩算法
论智
41+阅读 · 2018年4月26日
深度学习 | 利用词嵌入对文本进行情感分析
沈浩老师
11+阅读 · 2017年10月19日
教程 | 深度学习:自动编码器基础和类型
机器之心
5+阅读 · 2017年9月23日
干货 | 深度学习之损失函数与激活函数的选择
机器学习算法与Python学习
15+阅读 · 2017年9月18日
Top
微信扫码咨询专知VIP会员