【BAT机器学习面试题】前100题汇总及勘误(下)

2017 年 12 月 28 日 深度学习世界

来源:七月在线实验室

ID:julyedulab


61.说说梯度下降法

  @LeftNotEasy,本题解析来源:http://www.cnblogs.com/LeftNotEasy/archive/2010/12/05/mathmatic_in_machine_learning_1_regression_and_gradient_descent.html

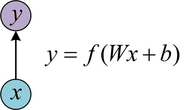
  下面是一个典型的机器学习的过程,首先给出一个输入数据,我们的算法会通过一系列的过程得到一个估计的函数,这个函数有能力对没有见过的新数据给出一个新的估计,也被称为构建一个模型。

 

   

  我们用X1,X2..Xn 去描述feature里面的分量,比如x1=房间的面积,x2=房间的朝向等等,我们可以做出一个估计函数:

  θ在这儿称为参数,在这儿的意思是调整feature中每个分量的影响力,就是到底是房屋的面积更重要还是房屋的地段更重要。为了如果我们令X0 = 1,就可以用向量的方式来表示了:

  我们程序也需要一个机制去评估我们θ是否比较好,所以说需要对我们做出的h函数进行评估,一般这个进行评估的函数称为损失函数(loss function),描述h函数不好的程度,在下面,我们称这个函数为J函数

  在这儿我们可以做出下面的一个损失函数:

 

  换言之,我们把对x(i)的估计值与真实值y(i)差的平方和作为损失函数,前面乘上的1/2是为了在求导的时候,这个系数就不见了。

  如何调整θ以使得J(θ)取得最小值有很多方法,其中有最小二乘法(min square),是一种完全是数学描述的方法,另外一种就是梯度下降法。

  梯度下降法的算法流程如下:

  1)首先对θ赋值,这个值可以是随机的,也可以让θ是一个全零的向量。

  2)改变θ的值,使得J(θ)按梯度下降的方向进行减少。

  为了描述的更清楚,给出下面的图:

  这是一个表示参数θ与误差函数J(θ)的关系图,红色的部分是表示J(θ)有着比较高的取值,我们需要的是,能够让J(θ)的值尽量的低,也就是达到深蓝色的部分。θ0,θ1表示θ向量的两个维度。

  在上面提到梯度下降法的第一步是给θ给一个初值,假设随机给的初值是在图上的十字点。

  然后我们将θ按照梯度下降的方向进行调整,就会使得J(θ)往更低的方向进行变化,如下图所示,算法的结束将是在θ下降到无法继续下降为止。

  当然,可能梯度下降的最终点并非是全局最小点,即也可能是一个局部最小点,如下图所示:

  上面这张图就是描述的一个局部最小点,这是我们重新选择了一个初始点得到的,看来我们这个算法将会在很大的程度上被初始点的选择影响而陷入局部最小点。

  下面我将用一个例子描述一下梯度减少的过程,对于我们的函数J(θ)求偏导J:

   

  下面是更新的过程,也就是θi会向着梯度最小的方向进行减少。θi表示更新之前的值,-后面的部分表示按梯度方向减少的量,α表示步长,也就是每次按照梯度减少的方向变化多少。

  一个很重要的地方值得注意的是,梯度是有方向的,对于一个向量θ,每一维分量θi都可以求出一个梯度的方向,我们就可以找到一个整体的方向,在变化的时候,我们就朝着下降最多的方向进行变化就可以达到一个最小点,不管它是局部的还是全局的。

  用更简单的数学语言进行描述步骤2)是这样的:

   


62.梯度下降法找到的一定是下降最快的方向么?
  梯度下降法并不是下降最快的方向,它只是目标函数在当前的点的切平面(当然高维问题不能叫平面)上下降最快的方向。在practical implementation中,牛顿方向(考虑海森矩阵)才一般被认为是下降最快的方向,可以达到superlinear的收敛速度。梯度下降类的算法的收敛速度一般是linear甚至sublinear的(在某些带复杂约束的问题)。by林小溪(https://www.zhihu.com/question/30672734/answer/139689869)。
  一般解释梯度下降,会用下山来举例。假设你现在在山顶处,必须抵达山脚下(也就是山谷最低处)的湖泊。但让人头疼的是,你的双眼被蒙上了无法辨别前进方向。换句话说,你不再能够一眼看出哪条路径是最快的下山路径,如下图(图片来源:http://blog.csdn.net/wemedia/details.html?id=45460):

  最好的办法就是走一步算一步,先用脚向四周各个方向都迈出一步,试探一下周围的地势,用脚感觉下哪个方向是下降最大的方向。换言之,每走到一个位置的时候,求解当前位置的梯度,沿着梯度的负方向(当前最陡峭的位置向下)走一步。就这样,每要走一步都根据上一步所在的位置选择当前最陡峭最快下山的方向走下一步,一步步走下去,一直走到我们感觉已经到了山脚。
  当然这样走下去,我们走到的可能并不一定是真正的山脚,而只是走到了某一个局部的山峰低处。换句话说,梯度下降不一定能够找到全局的最优解,也有可能只是一个局部最优解。当然,如果损失函数是凸函数,梯度下降法得到的解就一定是全局最优解。

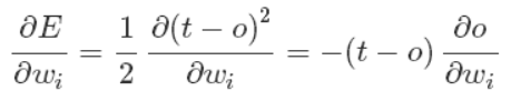
  @zbxzc(http://blog.csdn.net/u014568921/article/details/44856915):更进一步,我们来定义输出误差,即对于任意一组权值向量,那它得到的输出和我们预想的输出之间的误差值。定义误差的方法很多,不同的误差计算方法可以得到不同的权值更新法则,这里我们先用这样的定义:

  上面公式中D代表了所有的输入实例,或者说是样本,d代表了一个样本实例,od表示感知器的输出,td代表我们预想的输出。
  这样,我们的目标就明确了,就是想找到一组权值让这个误差的值最小,显然我们用误差对权值求导将是一个很好的选择,导数的意义是提供了一个方向,沿着这个方向改变权值,将会让总的误差变大,更形象的叫它为梯度。

  既然梯度确定了E最陡峭的上升的方向,那么梯度下降的训练法则是:

  梯度上升和梯度下降其实是一个思想,上式中权值更新的+号改为-号也就是梯度上升了。梯度上升用来求函数的最大值,梯度下降求最小值。

这样每次移动的方向确定了,但每次移动的距离却不知道。这个可以由步长(也称学习率)来确定,记为α。这样权值调整可表示为:

  总之,梯度下降法的优化思想是用当前位置负梯度方向作为搜索方向,因为该方向为当前位置的最快下降方向,所以也被称为是“最速下降法”。最速下降法越接近目标值,步长越小,前进越慢。梯度下降法的搜索迭代示意图如下图所示:

  正因为梯度度下降法在接近最优解的区域收敛速度明显变慢,所以利用梯度下降法求解需要很多次的迭代。在机器学习中,基于基本的梯度下降法发展了两种梯度下降方法,分别为随机梯度下降法和批量梯度下降法。by@wtq1993,http://blog.csdn.net/wtq1993/article/details/51607040

随机梯度下降

  普通的梯度下降算法在更新回归系数时要遍历整个数据集,是一种批处理方法,这样训练数据特别忙庞大时,可能出现如下问题:

  1)收敛过程可能非常慢;

  2)如果误差曲面上有多个局极小值,那么不能保证这个过程会找到全局最小值。

  为了解决上面的问题,实际中我们应用的是梯度下降的一种变体被称为随机梯度下降。

  上面公式中的误差是针对于所有训练样本而得到的,而随机梯度下降的思想是根据每个单独的训练样本来更新权值,这样我们上面的梯度公式就变成了:


  经过推导后,我们就可以得到最终的权值更新的公式:


  有了上面权重的更新公式后,我们就可以通过输入大量的实例样本,来根据我们预期的结果不断地调整权值,从而最终得到一组权值使得我们的算法能够对一个新的样本输入得到正确的或无限接近的结果。

这里做一个对比

设代价函数为


  批量梯度下降



  参数更新为:

         

  i是样本编号下标,j是样本维数下标,m为样例数目,n为特征数目。所以更新一个θj需要遍历整个样本集


随机梯度下降

  参数更新为:

        

  i是样本编号下标,j是样本维数下标,m为样例数目,n为特征数目。所以更新一个θj只需要一个样本就可以。

  下面两幅图可以很形象的对比各种优化方法(图来源:http://sebastianruder.com/optimizing-gradient-descent/):

SGD各优化方法在损失曲面上的表现

  从上图可以看出, Adagrad、Adadelta与RMSprop在损失曲面上能够立即转移到正确的移动方向上达到快速的收敛。而Momentum 与NAG会导致偏离(off-track)。同时NAG能够在偏离之后快速修正其路线,因为其根据梯度修正来提高响应性。

SGD各优化方法在损失曲面鞍点处上的表现


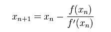
63.牛顿法和梯度下降法有什么不同

  @wtq1993,http://blog.csdn.net/wtq1993/article/details/51607040
  1)牛顿法(Newton's method)

  牛顿法是一种在实数域和复数域上近似求解方程的方法。方法使用函数f (x)的泰勒级数的前面几项来寻找方程f (x) = 0的根。牛顿法最大的特点就在于它的收敛速度很快。

  具体步骤:

  首先,选择一个接近函数 f (x)零点的 x0,计算相应的 f (x0) 和切线斜率f  ' (x0)(这里f ' 表示函数 f  的导数)。然后我们计算穿过点(x0,  f  (x0)) 并且斜率为f '(x0)的直线和 x 轴的交点的x坐标,也就是求如下方程的解:

  我们将新求得的点的 x 坐标命名为x1,通常x1会比x0更接近方程f  (x) = 0的解。因此我们现在可以利用x1开始下一轮迭代。迭代公式可化简为如下所示:

  已经证明,如果f  ' 是连续的,并且待求的零点x是孤立的,那么在零点x周围存在一个区域,只要初始值x0位于这个邻近区域内,那么牛顿法必定收敛。 并且,如果f  ' (x)不为0, 那么牛顿法将具有平方收敛的性能. 粗略的说,这意味着每迭代一次,牛顿法结果的有效数字将增加一倍。

  由于牛顿法是基于当前位置的切线来确定下一次的位置,所以牛顿法又被很形象地称为是"切线法"。牛顿法的搜索路径(二维情况)如下图所示:

  关于牛顿法和梯度下降法的效率对比:

  a)从收敛速度上看 ,牛顿法是二阶收敛,梯度下降是一阶收敛,前者牛顿法收敛速度更快。但牛顿法仍然是局部算法,只是在局部上看的更细致,梯度法仅考虑方向,牛顿法不但考虑了方向还兼顾了步子的大小,其对步长的估计使用的是二阶逼近。

  b)根据wiki上的解释,从几何上说,牛顿法就是用一个二次曲面去拟合你当前所处位置的局部曲面,而梯度下降法是用一个平面去拟合当前的局部曲面,通常情况下,二次曲面的拟合会比平面更好,所以牛顿法选择的下降路径会更符合真实的最优下降路径。

  注:红色的牛顿法的迭代路径,绿色的是梯度下降法的迭代路径。

  牛顿法的优缺点总结:

  优点:二阶收敛,收敛速度快;

  缺点:牛顿法是一种迭代算法,每一步都需要求解目标函数的Hessian矩阵的逆矩阵,计算比较复杂。


64.什么是拟牛顿法(Quasi-Newton Methods)

  @wtq1993,http://blog.csdn.net/wtq1993/article/details/51607040
  拟牛顿法是求解非线性优化问题最有效的方法之一,于20世纪50年代由美国Argonne国家实验室的物理学家W.C.Davidon所提出来。Davidon设计的这种算法在当时看来是非线性优化领域最具创造性的发明之一。不久R. Fletcher和M. J. D. Powell证实了这种新的算法远比其他方法快速和可靠,使得非线性优化这门学科在一夜之间突飞猛进。

  拟牛顿法的本质思想是改善牛顿法每次需要求解复杂的Hessian矩阵的逆矩阵的缺陷,它使用正定矩阵来近似Hessian矩阵的逆,从而简化了运算的复杂度。拟牛顿法和最速下降法一样只要求每一步迭代时知道目标函数的梯度。通过测量梯度的变化,构造一个目标函数的模型使之足以产生超线性收敛性。这类方法大大优于最速下降法,尤其对于困难的问题。另外,因为拟牛顿法不需要二阶导数的信息,所以有时比牛顿法更为有效。如今,优化软件中包含了大量的拟牛顿算法用来解决无约束,约束,和大规模的优化问题。

  具体步骤:

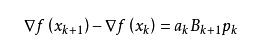
  拟牛顿法的基本思想如下。首先构造目标函数在当前迭代xk的二次模型:

  这里Bk是一个对称正定矩阵,于是我们取这个二次模型的最优解作为搜索方向,并且得到新的迭代点:

  其中我们要求步长ak满足Wolfe条件。这样的迭代与牛顿法类似,区别就在于用近似的Hessian矩阵Bk代替真实的Hessian矩阵。所以拟牛顿法最关键的地方就是每一步迭代中矩阵Bk的更新。现在假设得到一个新的迭代xk+1,并得到一个新的二次模型:

  我们尽可能地利用上一步的信息来选取Bk。具体地,我们要求

  从而得到

  这个公式被称为割线方程。常用的拟牛顿法有DFP算法和BFGS算法。


65.请说说随机梯度下降法的问题和挑战

那到底如何优化随机梯度法呢?详情请点击:https://ask.julyedu.com/question/7913


66.说说共轭梯度法
  @wtq1993,http://blog.csdn.net/wtq1993/article/details/51607040
  共轭梯度法是介于梯度下降法(最速下降法)与牛顿法之间的一个方法,它仅需利用一阶导数信息,但克服了梯度下降法收敛慢的缺点,又避免了牛顿法需要存储和计算Hessian矩阵并求逆的缺点,共轭梯度法不仅是解决大型线性方程组最有用的方法之一,也是解大型非线性最优化最有效的算法之一。在各种优化算法中,共轭梯度法是非常重要的一种。其优点是所需存储量小,具有逐步收敛性,稳定性高,而且不需要任何外来参数。

  下图为共轭梯度法和梯度下降法搜索最优解的路径对比示意图:

注:绿色为梯度下降法,红色代表共轭梯度法


67.对所有优化问题来说, 有没有可能找到比現在已知算法更好的算法?
  @抽象猴,来源:https://www.zhihu.com/question/41233373/answer/145404190

  没有免费的午餐定理:
  对于训练样本(黑点),不同的算法A/B在不同的测试样本(白点)中有不同的表现,这表示:对于一个学习算法A,若它在某些问题上比学习算法 B更好,则必然存在一些问题,在那里B比A好。
  也就是说:对于所有问题,无论学习算法A多聪明,学习算法 B多笨拙,它们的期望性能相同。
  但是:没有免费午餐定力假设所有问题出现几率相同,实际应用中,不同的场景,会有不同的问题分布,所以,在优化算法时,针对具体问题进行分析,是算法优化的核心所在。


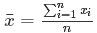
68.什么最小二乘法?

  我们口头中经常说:一般来说,平均来说。如平均来说,不吸烟的健康优于吸烟者,之所以要加“平均”二字,是因为凡事皆有例外,总存在某个特别的人他吸烟但由于经常锻炼所以他的健康状况可能会优于他身边不吸烟的朋友。而最小二乘法的一个最简单的例子便是算术平均。

  最小二乘法(又称最小平方法)是一种数学优化技术。它通过最小化误差的平方和寻找数据的最佳函数匹配。利用最小二乘法可以简便地求得未知的数据,并使得这些求得的数据与实际数据之间误差的平方和为最小。用函数表示为:

  使误差「所谓误差,当然是观察值与实际真实值的差量」平方和达到最小以寻求估计值的方法,就叫做最小二乘法,用最小二乘法得到的估计,叫做最小二乘估计。当然,取平方和作为目标函数只是众多可取的方法之一。

  最小二乘法的一般形式可表示为:

  有效的最小二乘法是勒让德在 1805 年发表的,基本思想就是认为测量中有误差,所以所有方程的累积误差为

  我们求解出导致累积误差最小的参数即可:

  勒让德在论文中对最小二乘法的优良性做了几点说明:

  •  最小二乘使得误差平方和最小,并在各个方程的误差之间建立了一种平衡,从而防止某一个极端误差取得支配地位

  •  计算中只要求偏导后求解线性方程组,计算过程明确便捷

  • 最小二乘可以导出算术平均值作为估计值

  对于最后一点,从统计学的角度来看是很重要的一个性质。推理如下:假设真值为  θ x1,⋯,xn为n次测量值, 每次测量的误差为 ei=xi−θ,按最小二乘法,误差累积为

  求解 使达到最小,正好是算术平均

  由于算术平均是一个历经考验的方法,而以上的推理说明,算术平均是最小二乘的一个特例,所以从另一个角度说明了最小二乘方法的优良性,使我们对最小二乘法更加有信心。

  最小二乘法发表之后很快得到了大家的认可接受,并迅速的在数据分析实践中被广泛使用。不过历史上又有人把最小二乘法的发明归功于高斯,这又是怎么一回事呢。高斯在1809年也发表了最小二乘法,并且声称自己已经使用这个方法多年。高斯发明了小行星定位的数学方法,并在数据分析中使用最小二乘方法进行计算,准确的预测了谷神星的位置。
  对了,最小二乘法跟SVM有什么联系呢?请参见
http://blog.csdn.net/v_july_v/article/details/7624837


69.看你T恤上印着:人生苦短,我用Python,你可否说说Python到底是什么样的语言?你可以比较其他技术或者语言来回答你的问题。
  @David 9,  http://nooverfit.com/wp/15%E4%B8%AA%E9%87%8D%E8%A6%81python%E9%9D%A2%E8%AF%95%E9%A2%98-%E6%B5%8B%E6%B5%8B%E4%BD%A0%E9%80%82%E4%B8%8D%E9%80%82%E5%90%88%E5%81%9Apython%EF%BC%9F/ 

  这里是一些关键点:Python是解释型语言。这意味着不像C和其他语言,Python运行前不需要编译。其他解释型语言包括PHP和Ruby。

  Python是动态类型的,这意味着你不需要在声明变量时指定类型。你可以先定义x=111,然后 x=”I’m a string”。

  Python是面向对象语言,所有允许定义类并且可以继承和组合。Python没有访问访问标识如在C++中的public, private, 这就非常信任程序员的素质,相信每个程序员都是“成人”了~

  在Python中,函数是一等公民。这就意味着它们可以被赋值,从其他函数返回值,并且传递函数对象。类不是一等公民。

  写Python代码很快,但是跑起来会比编译型语言慢。幸运的是,Python允许使用C扩展写程序,所以瓶颈可以得到处理。Numpy库就是一个很好例子,因为很多代码不是Python直接写的,所以运行很快。

  Python使用场景很多 – web应用开发、大数据应用、数据科学、人工智能等等。它也经常被看做“胶水”语言,使得不同语言间可以衔接上。

  Python能够简化工作  ,使得程序员能够关心如何重写代码而不是详细看一遍底层实现。

  @July:Python目前早已成为AI时代的第一语言,为帮助大家更好的学习Python语言、数据分析、爬虫等相关知识,七月在线特开一系列Python课程,有需要的亲们可以看下,比如《Python数据分析集训营》http://www.julyedu.com/weekend/python


70.Python是如何进行内存管理的?
  @Tom_junsong,来源:http://www.cnblogs.com/tom-gao/p/6645859.html
  从三个方面来说,一对象的引用计数机制,二垃圾回收机制,三内存池机制
一、对象的引用计数机制
  Python内部使用引用计数,来保持追踪内存中的对象,所有对象都有引用计数。
引用计数增加的情况:
  1,一个对象分配一个新名称
  2,将其放入一个容器中(如列表、元组或字典)
引用计数减少的情况:
  1,使用del语句对对象别名显示的销毁
  2,引用超出作用域或被重新赋值
  sys.getrefcount( )函数可以获得对象的当前引用计数
  多数情况下,引用计数比你猜测得要大得多。对于不可变数据(如数字和字符串),解释器会在程序的不同部分共享内存,以便节约内存。
二、垃圾回收
  1,当一个对象的引用计数归零时,它将被垃圾收集机制处理掉。
  2,当两个对象a和b相互引用时,del语句可以减少a和b的引用计数,并销毁用于引用底层对象的名称。然而由于每个对象都包含一个对其他对象的应用,因此引用计数不会归零,对象也不会销毁。(从而导致内存泄露)。为解决这一问题,解释器会定期执行一个循环检测器,搜索不可访问对象的循环并删除它们。
三、内存池机制
  Python提供了对内存的垃圾收集机制,但是它将不用的内存放到内存池而不是返回给操作系统。
  1,Pymalloc机制。为了加速Python的执行效率,Python引入了一个内存池机制,用于管理对小块内存的申请和释放。
  2,Python中所有小于256个字节的对象都使用pymalloc实现的分配器,而大的对象则使用系统的malloc。
  3,对于Python对象,如整数,浮点数和List,都有其独立的私有内存池,对象间不共享他们的内存池。也就是说如果你分配又释放了大量的整数,用于缓存这些整数的内存就不能再分配给浮点数。


71.请写出一段Python代码实现删除一个list里面的重复元素
  @Tom_junsong,http://www.cnblogs.com/tom-gao/p/6645859.html
1,使用set函数,set(list)
2,使用字典函数,
>>>a=[1,2,4,2,4,5,6,5,7,8,9,0]
>>> b={}
>>>b=b.fromkeys(a)
>>>c=list(b.keys())
>>> c


72.编程用sort进行排序,然后从最后一个元素开始判断
  a=[1,2,4,2,4,5,7,10,5,5,7,8,9,0,3]
  @Tom_junsong,http://www.cnblogs.com/tom-gao/p/6645859.html
a.sort()
last=a[-1]
for i inrange(len(a)-2,-1,-1):
if last==a[i]:
del a[i]
else:last=a[i]
print(a)


73.Python里面如何生成随机数?
  @Tom_junsong,http://www.cnblogs.com/tom-gao/p/6645859.html
  random模块
  随机整数:random.randint(a,b):返回随机整数x,a<=x<=b
  random.randrange(start,stop,[,step]):返回一个范围在(start,stop,step)之间的随机整数,不包括结束值。
  随机实数:random.random( ):返回0到1之间的浮点数
  random.uniform(a,b):返回指定范围内的浮点数。更多Python笔试面试题请看:http://python.jobbole.com/85231/


74.说说常见的损失函数

  对于给定的输入X,由f(X)给出相应的输出Y,这个输出的预测值f(X)与真实值Y可能一致也可能不一致(要知道,有时损失或误差是不可避免的),用一个损失函数来度量预测错误的程度。损失函数记为L(Y, f(X))。

  常用的损失函数有以下几种(基本引用自《统计学习方法》):

      

  如此,SVM有第二种理解,即最优化+损失最小,或如@夏粉_百度所说“可从损失函数和优化算法角度看SVM,boosting,LR等算法,可能会有不同收获”。关于SVM的更多理解请参考:http://blog.csdn.net/v_july_v/article/details/7624837


75.简单介绍下logistics回归

  Logistic回归目的是从特征学习出一个0/1分类模型,而这个模型是将特性的线性组合作为自变量,由于自变量的取值范围是负无穷到正无穷。因此,使用logistic函数(或称作sigmoid函数)将自变量映射到(0,1)上,映射后的值被认为是属于y=1的概率。

  假设函数

  其中x是n维特征向量,函数g就是logistic函数。

  的图像是

  可以看到,将无穷映射到了(0,1)。

  而假设函数就是特征属于y=1的概率。

  从而,当我们要判别一个新来的特征属于哪个类时,只需求即可,若大于0.5就是y=1的类,反之属于y=0类。

  此外,只和有关,>0,那么,而g(z)只是用来映射,真实的类别决定权还是在于。再者,当时,=1,反之=0。如果我们只从出发,希望模型达到的目标就是让训练数据中y=1的特征,而是y=0的特征。Logistic回归就是要学习得到,使得正例的特征远大于0,负例的特征远小于0,而且要在全部训练实例上达到这个目标。

  接下来,尝试把logistic回归做个变形。首先,将使用的结果标签y = 0和y = 1替换为y = -1,y = 1,然后将)中的替换为b,最后将后面的替换为(即)。如此,则有了。也就是说除了y由y=0变为y=-1外,线性分类函数跟logistic回归的形式化表示没区别。

  进一步,可以将假设函数中的g(z)做一个简化,将其简单映射到y=-1和y=1上。映射关系如下:


76.看你是搞视觉的,熟悉哪些CV框架,顺带聊聊CV最近五年的发展史如何?

  原英文:adeshpande3.github.io
  作者:Adit Deshpande,UCLA CS研究生
  译者:新智元闻菲、胡祥杰
  译文链接:https://mp.weixin.qq.com/s?__biz=MzI3MTA0MTk1MA==&mid=2651986617&idx=1&sn=fddebd0f2968d66b7f424d6a435c84af&scene=0#wechat_redirect的
  本段结构如下:

  AlexNet(2012年)

  ZF Net(2013年)

  VGG Net(2014年)

  GoogLeNet (2015年)

  微软 ResNet (2015年)

  区域 CNN(R-CNN - 2013年,Fast R-CNN - 2015年,Faster R-CNN - 2015年)

  生成对抗网络(2014年)

  生成图像描述(2014年)

  空间转化器网络(2015年)

  AlexNet(2012年)

  一切都从这里开始(尽管有些人会说是Yann LeCun 1998年发表的那篇论文才真正开启了一个时代)。这篇论文,题目叫做“ImageNet Classification with Deep Convolutional Networks”,迄今被引用6184次,被业内普遍视为行业最重要的论文之一。Alex Krizhevsky、Ilya Sutskever和 Geoffrey Hinton创造了一个“大型的深度卷积神经网络”,赢得了2012 ILSVRC(2012年ImageNet 大规模视觉识别挑战赛)。稍微介绍一下,这个比赛被誉为计算机视觉的年度奥林匹克竞赛,全世界的团队相聚一堂,看看是哪家的视觉模型表现最为出色。2012年是CNN首次实现Top 5误差率15.4%的一年(Top 5误差率是指给定一张图像,其标签不在模型认为最有可能的5个结果中的几率),当时的次优项误差率为26.2%。这个表现不用说震惊了整个计算机视觉界。可以说,是自那时起,CNN才成了家喻户晓的名字。

  论文中,作者讨论了网络的架构(名为AlexNet)。相比现代架构,他们使用了一种相对简单的布局,整个网络由5层卷积层组成,最大池化层、退出层(dropout layer)和3层全卷积层。网络能够对1000种潜在类别进行分类。

  AlexNet 架构:看上去有些奇怪,因为使用了两台GPU训练,因而有两股“流”。使用两台GPU训练的原因是计算量太大,只能拆开来。

  要点

  使用ImageNet数据训练网络,ImageNet数据库含有1500多万个带标记的图像,超过2.2万个类别。

  使用ReLU代替传统正切函数引入非线性(ReLU比传统正切函数快几倍,缩短训练时间)。

  使用了图像转化(image translation)、水平反射(horizontal reflection)和补丁提取(patch extraction)这些数据增强技术。

  用dropout层应对训练数据过拟合的问题。

  使用批处理随机梯度下降训练模型,注明动量衰减值和权重衰减值。

  使用两台GTX 580 GPU,训练了5到6天

  为什么重要?

  Krizhevsky、Sutskever 和 Hinton 2012年开发的这个神经网络,是CNN在计算机视觉领域的一大亮相。这是史上第一次有模型在ImageNet 数据库表现这么好,ImageNet 数据库难度是出了名的。论文中提出的方法,比如数据增强和dropout,现在也在使用,这篇论文真正展示了CNN的优点,并且以破纪录的比赛成绩实打实地做支撑。

  ZF Net(2013年)

  2012年AlexNet出尽了风头,ILSVRC 2013就有一大批CNN模型冒了出来。2013年的冠军是纽约大学Matthew Zeiler 和 Rob Fergus设计的网络 ZF Net,错误率 11.2%。ZF Net模型更像是AlexNet架构的微调优化版,但还是提出了有关优化性能的一些关键想法。还有一个原因,这篇论文写得非常好,论文作者花了大量时间阐释有关卷积神经网络的直观概念,展示了将滤波器和权重可视化的正确方法。

  在这篇题为“Visualizing and Understanding Convolutional Neural Networks”的论文中,Zeiler和Fergus从大数据和GPU计算力让人们重拾对CNN的兴趣讲起,讨论了研究人员对模型内在机制知之甚少,一针见血地指出“发展更好的模型实际上是不断试错的过程”。虽然我们现在要比3年前知道得多一些了,但论文所提出的问题至今仍然存在!这篇论文的主要贡献在于提出了一个比AlexNet稍微好一些的模型并给出了细节,还提供了一些制作可视化特征图值得借鉴的方法。

  

  要点

  除了一些小的修改,整体架构非常类似AlexNet。

  AlexNet训练用了1500万张图片,而ZFNet只用了130万张。

  AlexNet在第一层中使用了大小为11×11的滤波器,而ZF使用的滤波器大小为7x7,整体处理速度也有所减慢。做此修改的原因是,对于输入数据来说,第一层卷积层有助于保留大量的原始象素信息。11×11的滤波器漏掉了大量相关信息,特别是因为这是第一层卷积层。

  随着网络增大,使用的滤波器数量增多。

  利用ReLU的激活函数,将交叉熵代价函数作为误差函数,使用批处理随机梯度下降进行训练。

  使用一台GTX 580 GPU训练了12天。

  开发可视化技术“解卷积网络”(Deconvolutional Network),有助于检查不同的特征激活和其对输入空间关系。名字之所以称为“deconvnet”,是因为它将特征映射到像素(与卷积层恰好相反)。

  DeConvNet

  DeConvNet工作的基本原理是,每层训练过的CNN后面都连一层“deconvet”,它会提供一条返回图像像素的路径。输入图像进入CNN之后,每一层都计算激活。然而向前传递。现在,假设我们想知道第4层卷积层某个特征的激活值,我们将保存这个特征图的激活值,并将这一层的其他激活值设为0,再将这张特征图作为输入送入deconvnet。Deconvnet与原来的CNN拥有同样的滤波器。输入经过一系列unpool(maxpooling倒过来),修正,对前一层进行过滤操作,直到输入空间满。

  这一过程背后的逻辑在于,我们想要知道是激活某个特征图的是什么结构。下面来看第一层和第二层的可视化。

  ConvNet的第一层永远是低层特征检测器,在这里就是对简单的边缘、颜色进行检测。第二层就有比较圆滑的特征了。再来看第三、第四和第五层。

  这些层展示出了更多的高级特征,比如狗的脸和鲜花。值得一提的是,在第一层卷积层后面,我们通常会跟一个池化层将图像缩小(比如将 32x32x32 变为16x16x3)。这样做的效果是加宽了第二层看原始图像的视野。更详细的内容可以阅读论文。

  为什么重要?

  ZF Net不仅是2013年比赛的冠军,还对CNN的运作机制提供了极好的直观信息,展示了更多提升性能的方法。论文所描述的可视化方法不仅有助于弄清CNN的内在机理,也为优化网络架构提供了有用的信息。Deconv可视化方法和 occlusion 实验也让这篇论文成了我个人的最爱。

  VGG Net(2015年)

  简单、有深度,这就是2014年错误率7.3%的模型VGG Net(不是ILSVRC 2014冠军)。牛津大学的Karen Simonyan 和 Andrew Zisserman Main Points创造了一个19层的CNN,严格使用3x3的过滤器(stride =1,pad= 1)和2x2 maxpooling层(stride =2)。简单吧?

  要点

  这里使用3x3的滤波器和AlexNet在第一层使用11x11的滤波器和ZF Net 7x7的滤波器作用完全不同。作者认为两个3x3的卷积层组合可以实现5x5的有效感受野。这就在保持滤波器尺寸较小的同时模拟了大型滤波器,减少了参数。此外,有两个卷积层就能够使用两层ReLU。

  3卷积层具有7x7的有效感受野。

  每个maxpool层后滤波器的数量增加一倍。进一步加强了缩小空间尺寸,但保持深度增长的想法。

  图像分类和定位任务都运作良好。

  使用Caffe工具包建模。

  训练中使用scale jittering的数据增强技术。

  每层卷积层后使用ReLU层和批处理梯度下降训练。

  使用4台英伟达Titan Black GPU训练了两到三周。

  为什么重要?

  在我看来,VGG Net是最重要的模型之一,因为它再次强调CNN必须够深,视觉数据的层次化表示才有用。深的同时结构简单。

  GoogLeNet(2015年)

  理解了我们刚才所说的神经网络架构中的简化的概念了吗?通过推出 Inception 模型,谷歌从某种程度上把这一概念抛了出来。GoogLeNet是一个22层的卷积神经网络,在2014年的ILSVRC2014上凭借6.7%的错误率进入Top 5。据我所知,这是第一个真正不使用通用方法的卷积神经网络架构,传统的卷积神经网络的方法是简单堆叠卷积层,然后把各层以序列结构堆积起来。论文的作者也强调,这种新的模型重点考虑了内存和能量消耗。这一点很重要,我自己也会经常忽略:把所有的层都堆叠、增加大量的滤波器,在计算和内存上消耗很大,过拟合的风险也会增加。

  换一种方式看 GoogLeNet:

  Inception 模型

  第一次看到GoogLeNet的构造时,我们立刻注意到,并不是所有的事情都是按照顺序进行的,这与此前看到的架构不一样。我们有一些网络,能同时并行发生反应。

  这个盒子被称为 Inception 模型。可以近距离地看看它的构成。

  

  底部的绿色盒子是我们的输入层,顶部的是输出层(把这张图片向右旋转90度,你会看到跟展示了整个网络的那张图片相对应的模型)。基本上,在一个传统的卷积网络中的每一层中,你必须选择操作池还是卷积操作(还要选择滤波器的大小)。Inception 模型能让你做到的就是并行地执行所有的操作。事实上,这就是作者构想出来的最“初始”的想法。

  现在,来看看它为什么起作用。它会导向许多不同的结果,我们会最后会在输出层体积上获得极端大的深度通道。作者处理这个问题的方法是,在3X3和5X5层前,各自增加一个1X1的卷积操作。1X1的卷积(或者网络层中的网络),提供了一个减少维度的方法。比如,我们假设你拥有一个输入层,体积是100x100x60(这并不定是图像的三个维度,只是网络中每一层的输入)。增加20个1X1的卷积滤波器,会让你把输入的体积减小到100X100X20。这意味着,3X3层和5X5层不需要处理输入层那么大的体积。这可以被认为是“池特征”(pooling of feature),因为我们正在减少体积的高度,这和使用常用的最大池化层(maxpooling layers)减少宽度和长度类似。另一个需要注意的是,这些1X1的卷积层后面跟着的是ReLU 单元,这肯定不会有害。

  你也许会问,“这个架构有什么用?”这么说吧,这个模型由一个网络层中的网络、一个中等大小的过滤卷积、一个大型的过滤卷积、一个操作池(pooling operation)组成。网络卷积层中的网络能够提取输入体积中的每一个细节中的信息,同时 5x5 的滤波器也能够覆盖大部分接受层的的输入,进而能提起其中的信息。你也可以进行一个池操作,以减少空间大小,降低过度拟合。在这些层之上,你在每一个卷积层后都有一个ReLU,这能改进网络的非线性特征。基本上,网络在执行这些基本的功能时,还能同时考虑计算的能力。这篇论文还提供了更高级别的推理,包括的主题有稀疏和紧密联结(见论文第三和第四节)。

  要点

  整个架构中使用了9个Inception 模型,总共超过100层。这已经很深了……没有使用完全连接的层。他们使用一个平均池代替,从 7x7x1024 的体积降到了 1x1x1024,这节省了大量的参数。比AlexNet的参数少了12X在测试中,相同图像的多个剪裁建立,然后填到网络中,计算softmax probabilities的均值,然后我们可以获得最后的解决方案。在感知模型中,使用了R-CNN中的概念。Inception有一些升级的版本(版本6和7),“少数高端的GPU”一周内就能完成训练。

  为什么重要?

  GoogLeNet 是第一个引入了“CNN 各层不需要一直都按顺序堆叠”这一概念的模型。用Inception模型,作者展示了一个具有创造性的层次机构,能带来性能和计算效率的提升。这篇论文确实为接下来几年可能会见到的令人惊叹的架构打下了基础。

  微软 ResNet(2015年)

  想象一个深度CNN架构,再深、再深、再深,估计都还没有 ILSVRC 2015 冠军,微软的152层ResNet架构深。除了在层数上面创纪录,ResNet 的错误率也低得惊人,达到了3.6%,人类都大约在5%~10%的水平。

  为什么重要?

  只有3.6%的误差率,这应该足以说服你。ResNet模型是目前最好的CNN架构,而且是残差学习理念的一大创新。从2012年起,错误率逐年下降,我怀疑到ILSVRC2016,是否还会一直下降。我相信,我们现在堆放更多层将不会实现性能的大幅提升。我们必须要创造新的架构。

  区域 CNN:R-CNN(2013年)、Fast R-CNN(2015年)、Faster R-CNN(2015年)

  一些人可能会认为,R-CNN的出现比此前任何关于新的网络架构的论文都有影响力。第一篇关于R-CNN的论文被引用了超过1600次。Ross Girshick 和他在UC Berkeley 的团队在机器视觉上取得了最有影响力的进步。正如他们的文章所写, Fast R-CNN 和 Faster R-CNN能够让模型变得更快,更好地适应现代的物体识别任务。

  R-CNN的目标是解决物体识别的难题。在获得特定的一张图像后, 我们希望能够绘制图像中所有物体的边缘。这一过程可以分为两个组成部分,一个是区域建议,另一个是分类。

  论文的作者强调,任何分类不可知区域的建议方法都应该适用。Selective Search专用于RCNN。Selective Search 的作用是聚合2000个不同的区域,这些区域有最高的可能性会包含一个物体。在我们设计出一系列的区域建议之后,这些建议被汇合到一个图像大小的区域,能被填入到经过训练的CNN(论文中的例子是AlexNet),能为每一个区域提取出一个对应的特征。这个向量随后被用于作为一个线性SVM的输入,SVM经过了每一种类型和输出分类训练。向量还可以被填入到一个有边界的回归区域,获得最精准的一致性。

  非极值压抑后被用于压制边界区域,这些区域相互之间有很大的重复。

  Fast R-CNN

  原始模型得到了改进,主要有三个原因:训练需要多个步骤,这在计算上成本过高,而且速度很慢。Fast R-CNN通过从根本上在不同的建议中分析卷积层的计算,同时打乱生成区域建议的顺利以及运行CNN,能够快速地解决问题。

  

  Faster R-CNN的工作是克服R-CNN和 Fast R-CNN所展示出来的,在训练管道上的复杂性。作者 在最后一个卷积层上引入了一个区域建议网络(RPN)。这一网络能够只看最后一层的特征就产出区域建议。从这一层面上来说,相同的R-CNN管道可用。

  为什么重要?

  能够识别出一张图像中的某一个物体是一方面,但是,能够识别物体的精确位置对于计算机知识来说是一个巨大的飞跃。更快的R-CNN已经成为今天标准的物体识别程序。

  生成对抗网络(2015年)

  按照Yann LeCun的说法,生成对抗网络可能就是深度学习下一个大突破。假设有两个模型,一个生成模型,一个判别模型。判别模型的任务是决定某幅图像是真实的(来自数据库),还是机器生成的,而生成模型的任务则是生成能够骗过判别模型的图像。这两个模型彼此就形成了“对抗”,发展下去最终会达到一个平衡,生成器生成的图像与真实的图像没有区别,判别器无法区分两者。

  左边一栏是数据库里的图像,也即真实的图像,右边一栏是机器生成的图像,虽然肉眼看上去基本一样,但在CNN看起来却十分不同。

  为什么重要?

  听上去很简单,然而这是只有在理解了“数据内在表征”之后才能建立的模型,你能够训练网络理解真实图像和机器生成的图像之间的区别。因此,这个模型也可以被用于CNN中做特征提取。此外,你还能用生成对抗模型制作以假乱真的图片。

  生成图像描述(2014年)

  把CNN和RNN结合在一起会发生什么?Andrej Karpathy 和李飞飞写的这篇论文探讨了结合CNN和双向RNN生成不同图像区域的自然语言描述问题。简单说,这个模型能够接收一张图片,然后输出

  很神奇吧。传统CNN,训练数据中每幅图像都有单一的一个标记。这篇论文描述的模型则是每幅图像都带有一句话(或图说)。这种标记被称为弱标记,使用这种训练数据,一个深度神经网络“推断句子中的部分与其描述的区域之间的潜在对齐(latent alignment)”,另一个神经网络将图像作为输入,生成文本的描述。

  为什么重要?

  使用看似不相关的RNN和CNN模型创造了一个十分有用的应用,将计算机视觉和自然语言处理结合在一起。这篇论文为如何建模处理跨领域任务提供了全新的思路。

  空间转换器网络(2015年)

  最后,让我们来看该领域最近的一篇论文。本文是谷歌DeepMind的一个团队在一年前写的。这篇论文的主要贡献是介绍了空间变换器(Spatial Transformer)模块。基本思路是,这个模块会转变输入图像,使随后的层可以更轻松地进行分类。作者试图在图像到达特定层前改变图像,而不是更改主CNN架构本身。该模块希望纠正两件事:姿势标准化(场景中物体倾斜或缩放)和空间注意力(在密集的图像中将注意力集中到正确的物体)。对于传统的CNN,如果你想使你的模型对于不同规格和旋转的图像都保持不变,那你需要大量的训练样本来使模型学习。让我们来看看这个模块是如何帮助解决这一问题。

  传统CNN模型中,处理空间不变性的是maxpooling层。其原因是,一旦我们知道某个特定特性还是起始输入量(有高激活值),它的确切位置就没有它对其他特性的相对位置重要,其他功能一样重要。这个新的空间变换器是动态的,它会对每个输入图像产生不同的行为(不同的扭曲/变形)。这不仅仅是像传统 maxpool 那样简单和预定义。让我们来看看这个模块是如何工作的。该模块包括:

  一个本地化网络,会吸收输入量,并输出应施加的空间变换的参数。参数可以是6维仿射变换。

  采样网格,这是由卷曲规则网格和定位网络中创建的仿射变换(theta)共同产生的。

  一个采样器,其目的是执行输入功能图的翘曲。

  

  该模块可以放入CNN的任何地方中,可以帮助网络学习如何以在训练过程中最大限度地减少成本函数的方式来变换特征图。

  为什么重要?

  CNN的改进不一定要到通过网络架构的大改变来实现。我们不需要创建下一个ResNet或者 Inception 模型。本文实现了对输入图像进行仿射变换的简单的想法,以使模型对平移,缩放和旋转保持不变。更多请查看https://pan.baidu.com/s/1dFyVLst#list/path=%2F


77.深度学习在视觉领域有何前沿进展
  @元峰,本题解析来源:https://zhuanlan.zhihu.com/p/24699780

  引言

  在今年的神经网络顶级会议NIPS2016上,深度学习三大牛之一的Yann Lecun教授给出了一个关于机器学习中的有监督学习、无监督学习和增强学习的一个有趣的比喻,他说:如果把智能(Intelligence)比作一个蛋糕,那么无监督学习就是蛋糕本体,增强学习是蛋糕上的樱桃,那么监督学习,仅仅能算作蛋糕上的糖霜(图1)。


图1. Yann LeCun 对监督学习,增强学习和无监督学习的价值的形象比喻

1. 深度有监督学习在计算机视觉领域的进展

1.1 图像分类(Image Classification)

  自从Alex和他的导师Hinton(深度学习鼻祖)在2012年的ImageNet大规模图像识别竞赛(ILSVRC2012)中以超过第二名10个百分点的成绩(83.6%的Top5精度)碾压第二名(74.2%,使用传统的计算机视觉方法)后,深度学习真正开始火热,卷积神经网络(CNN)开始成为家喻户晓的名字,从12年的AlexNet(83.6%),到2013年ImageNet 大规模图像识别竞赛冠军的88.8%,再到2014年VGG的92.7%和同年的GoogLeNet的93.3%,终于,到了2015年,在1000类的图像识别中,微软提出的残差网(ResNet)以96.43%的Top5正确率,达到了超过人类的水平(人类的正确率也只有94.9%).
  Top5精度是指在给出一张图片,模型给出5个最有可能的标签,只要在预测的5个结果中包含正确标签,即为正确

图2. 2010-2015年ILSVRC竞赛图像识别错误率演进趋势

1.2 图像检测(Image Dection)

  伴随着图像分类任务,还有另外一个更加有挑战的任务–图像检测,图像检测是指在分类图像的同时把物体用矩形框给圈起来。从14年到16年,先后涌现出R-CNN,Fast R-CNN, Faster R-CNN, YOLO, SSD等知名框架,其检测平均精度(mAP),在计算机视觉一个知名数据集上PASCAL VOC上的检测平均精度(mAP),也从R-CNN的53.3%,到Fast RCNN的68.4%,再到Faster R-CNN的75.9%,最新实验显示,Faster RCNN结合残差网(Resnet-101),其检测精度可以达到83.8%。深度学习检测速度也越来越快,从最初的RCNN模型,处理一张图片要用2秒多,到Faster RCNN的198毫秒/张,再到YOLO的155帧/秒(其缺陷是精度较低,只有52.7%),最后出来了精度和速度都较高的SSD,精度75.1%,速度23帧/秒。 

图3. 图像检测示例

1.3 图像分割(Semantic Segmentation)

  图像分割也是一项有意思的研究领域,它的目的是把图像中各种不同物体给用不同颜色分割出来,如下图所示,其平均精度(mIoU,即预测区域和实际区域交集除以预测区域和实际区域的并集),也从最开始的FCN模型(图像语义分割全连接网络,该论文获得计算机视觉顶会CVPR2015的最佳论文的)的62.2%,到DeepLab框架的72.7%,再到牛津大学的CRF as RNN的74.7%。该领域是一个仍在进展的领域,仍旧有很大的进步空间。

图4. 图像分割的例子

1.4 图像标注–看图说话(Image Captioning)

  图像标注是一项引人注目的研究领域,它的研究目的是给出一张图片,你给我用一段文字描述它,如图中所示,图片中第一个图,程序自动给出的描述是“一个人在尘土飞扬的土路上骑摩托车”,第二个图片是“两只狗在草地上玩耍”。由于该研究巨大的商业价值(例如图片搜索),近几年,工业界的百度,谷歌和微软 以及学术界的加大伯克利,深度学习研究重地多伦多大学都在做相应的研究。图5.图像标注,根据图片生成描述文字

1.5 图像生成–文字转图像(Image Generator)

  图片标注任务本来是一个半圆,既然我们可以从图片产生描述文字,那么我们也能从文字来生成图片。如图6所示,第一列“一架大客机在蓝天飞翔”,模型自动根据文字生成了16张图片,第三列比较有意思,“一群大象在干燥草地行走”(这个有点违背常识,因为大象一般在雨林,不会在干燥草地上行走),模型也相应的生成了对应图片,虽然生成的质量还不算太好,但也已经中规中矩。

图6.根据文字生成图片

2.强化学习(Reinforcement Learning)

  在监督学习任务中,我们都是给定样本一个固定标签,然后去训练模型,可是,在真实环境中,我们很难给出所有样本的标签,这时候,强化学习就派上了用场。简单来说,我们给定一些奖励或惩罚,强化学习就是让模型自己去试错,模型自己去优化怎么才能得到更多的分数。2016年大火的AlphaGo就是利用了强化学习去训练,它在不断的自我试错和博弈中掌握了最优的策略。利用强化学习去玩flyppy bird,已经能够玩到几万分了。

 

 图7. 强化学习玩flappy bird

  谷歌DeepMind发表的使用增强学习来玩Atari游戏,其中一个经典的游戏是打砖块(breakout),DeepMind提出的模型仅仅使用像素作为输入,没有任何其他先验知识,换句话说,模型并不认识球是什么,它玩的是什么,令人惊讶的是,在经过240分钟的训练后,它不光学会了正确的接球,击打砖块,它甚至学会了持续击打同一个位置,游戏就胜利的越快(它的奖励也越高)。

  视频链接:http://v.youku.com/v_show/id_XMTUxODU2NjY5Ng==.html

图8.使用深度增强学习来玩Atari Breakout 

  强化学习在机器人领域和自动驾驶领域有极大的应用价值,当前arxiv上基本上每隔几天就会有相应的论文出现。机器人去学习试错来学习最优的表现,这或许是人工智能进化的最优途径,估计也是通向强人工智能的必经之路。

3深度无监督学习(Deep Unsupervised Learning)–预测学习

  相比有限的监督学习数据,自然界有无穷无尽的未标注数据。试想,如果人工智能可以从庞大的自然界自动去学习,那岂不是开启了一个新纪元?当前,最有前景的研究领域或许应属无监督学习,这也正是Yann Lecun教授把无监督学习比喻成人工智能大蛋糕的原因吧。
  深度学习牛人Ian Goodfellow在2014年提出
生成对抗网络(https://arxiv.org/abs/1406.2661)后,该领域越来越火,成为16年研究最火热的一个领域之一。大牛Yann LeCun曾说:“对抗网络是切片面包发明以来最令人激动的事情。”这句话足以说明生成对抗网络有多重要。 
  生成对抗网络的一个简单解释如下:假设有两个模型,一个是生成模型(Generative Model,下文简写为G),一个是判别模型(Discriminative Model,下文简写为D),判别模型(D)的任务就是判断一个实例是真实的还是由模型生成的,生成模型(G)的任务是生成一个实例来骗过判别模型(D),两个模型互相对抗,发展下去就会达到一个平衡,生成模型生成的实例与真实的没有区别,判别模型无法区分自然的还是模型生成的。以赝品商人为例,赝品商人(生成模型)制作出假的毕加索画作来欺骗行家(判别模型D),赝品商人一直提升他的高仿水平来区分行家,行家也一直学习真的假的毕加索画作来提升自己的辨识能力,两个人一直博弈,最后赝品商人高仿的毕加索画作达到了以假乱真的水平,行家最后也很难区分正品和赝品了。下图是Goodfellow在发表生成对抗网络论文中的一些生成图片,可以看出,模型生成的模型与真实的还是有大差别,但这是14年的论文了,16年这个领域进展非常快,相继出现了
条件生成对抗网络(Conditional Generative Adversarial Nets)信息生成对抗网络(InfoGAN)深度卷积生成对抗网络(Deep Convolutional Generative Adversarial Network, DCGAN),更重要的是,当前生成对抗网络把触角伸到了视频预测领域,众所周知,人类主要是靠视频序列来理解自然界的,图片只占非常小的一部分,当人工智能学会理解视频后,它也真正开始显现出威力了。

  这里推荐一篇2017年初Ian GoodFellow结合他在NIPS2016的演讲写出的综述性论文NIPS 2016 Tutorial: Generative Adversarial Networks图9 生成对抗网络生成的一些图片,最后边一列是与训练集中图片最相近的生产图片

3.1条件生成对抗网络(Conditional Generative Adversarial Nets,CGAN)

  生成对抗网络一般是根据随机噪声来生成特定类型的图像等实例,条件生成对抗网络则是根据一定的输入来限定输出,例如根据几个描述名词来生成特定的实例,这有点类似1.5节介绍的由文字生成图像,下图是Conditioanal Generative Adversarial Nets论文中的一张图片,根据特定的名词描述来生成图片。(注意:左边的一列图片的描述文字是训练集中不存在的,也就是说是模型根据没有见过的描述来生成的图片,右边的一列图片的描述是训练集中存在的)


图10. 根据文字来生成图片

  条件生成对抗网络的另一篇有意思的论文是图像到图像的翻译,该论文提出的模型能够根据一张输入图片,然后给出模型生成的图片,下图是论文中的一张图,其中左上角第一对非常有意思,模型输入图像分割的结果,给出了生成的真实场景的结果,这类似于图像分割的反向工程。

图11. 根据特定输入来生成一些有意思的输出图片

  生成对抗网络也用在了图像超分辨率上,2016年有人提出SRGAN模型(https://arxiv.org/abs/1609.04802),它把原高清图下采样后,试图用生成对抗网络模型来还原图片来生成更为自然的,更逼近原图像的图像。下图中最右边是原图,把他降采样后采用三次差值(Bicubic Interpolation)得到的图像比较模糊,采用残差网络的版本(SRResNet)已经干净了很多,我们可以看到SRGAN生成的图片更为真实一些。

图12.生成对抗网络做超分辨率的例子,最右边是原始图像

  生成对抗网络的另一篇有影响力的论文是深度卷积生成对抗网络DCGAN(https://arxiv.org/abs/1511.06434),作者把卷积神经网络和生成对抗网络结合起来,作者指出该框架可以很好的学习事物的特征,论文在图像生成和图像操作上给出了很有意思的结果,例如图13,带眼睛的男人-不戴眼镜的男人+不带眼睛的女人=带眼睛的女人,该模型给出了图片的类似向量化操作。图13. DCGAN论文中的例图

  生成对抗网络的发展是在是太火爆,一篇文章难以罗列完全,对此感兴趣的朋友们可以自己在网络搜素相关论文来研究
  openAI的一篇描述生成对抗网络的博客非常棒,因为Ian Goodfellow就在OpenAI工作,所以这篇博客的质量还是相当有保障的。链接为:
https://openai.com/blog/generative-models/

3.2 视频预测

  该方向是笔者自己最感兴趣的方向,Yann LeCun也提出,“用预测学习来替代无监督学习”,预测学习通过观察和理解这个世界是如何运作的,然后对世界的变化做出预测,机器学会了感知世界的变化,然后对世界的状态进行了推断。
  今年的NIPS上,MIT的学者Vondrick等人发表了一篇名为
Generating Videos with Scene Dynamics(http://carlvondrick.com/tinyvideo/)的论文,该论文提出了基于一幅静态的图片,模型自动推测接下来的场景,例如给出一张人站在沙滩的图片,模型自动给出一段接下来的海浪涌动的小视频。该模型是以无监督的方式,在大量的视频上训练而来的。该模型表明它可以自动学习到视频中有用的特征。下图是作者的官方主页上给出的图,是动态图,如果无法正常查看,请转入http://carlvondrick.com/tinyvideo/
  视频生成例子,下图的视频是模型自动生成的,我们可以看到图片不太完美,但已经能相当好的表示一个场景了。 

 

图14. 随机生成的视频,沙滩上波涛涌动,火车奔驰的场景

  条件视频生成,下图是输入一张静态图,模型自动推演出一段小视频。

 

 图15.根据一张草地静态图,模型自动推测人的移动场景,该图为动图,如果无法查看,请访问http://carlvondrick.com/tinyvideo/

图16.给出一张铁道图,模型自动推测火车跑过的样子,该图为动图,如果无法查看,请访问http://carlvondrick.com/tinyvideo/

  MIT的CSAIL实验室也放出了一篇博客,题目是《教会机器去预测未来》(http://news.mit.edu/2016/teaching-machines-to-predict-the-future-0621),该模型在youtube视频和电视剧上(例如The Office和《绝望主妇》)训练,训练好以后,如果你给该模型一个亲吻之前的图片,该模型能自动推测出加下来拥抱亲吻的动作,具体的例子见下图。 

图17. 给出一张静态图,模型自动推测接下来的动作

  哈佛大学的Lotter等人提出了PredNet(https://coxlab.github.io/prednet/),该模型也是在KITTI数据集(http://www.cvlibs.net/datasets/kitti/)上训练,然后该模型就可以根据前面的视频,预测行车记录仪接下来几帧的图像,模型是用长短期记忆神经网络(LSTM)训练得到的。具体例子见下图,给出行车记录仪前几张的图片,自动预测接下来的五帧场景,模型输入几帧图像后,预测接下来的5帧,由图可知,越往后,模型预测的越是模糊,但模型已经可以给出有参加价值的预测结果了。图片是动图,如果无法正常查看,请访问论文作者的博客https://coxlab.github.io/prednet/


图18. 给出行车记录仪前几张的图片,自动预测接下来的五帧场景,该图为动图,如果无法查看,请访问https://coxlab.github.io/prednet/

4 总结

  生成对抗网络,无监督学习视频预测的论文实在是太多,本人精力实在有限,对此感兴趣的读者可以每天刷一下arxiv的计算机视觉版块的计算机视觉和模型识别神经网络和进化计算人工智能等相应版块,基本上每天都有这方面新论文出现。图像检测和分割,增强学习,生成对抗网络,预测学习都是人工智能发展火热的方向,希望对深度学习感兴趣的我们在这方面能做出来点成果。谢谢朋友们的阅读,对深度无监督学习感兴趣的朋友,欢迎一起学习交流,请私信我。

5 参考文献

  在写本文的过程中,我尽量把论文网址以链接的形式附着在正文中.本文参考的大部分博客和论文整理如下,方便大家和自己以后研究查看。

  参考博客

1.NIPS 主旨演讲】Yann LeCun:用预测学习替代无监督学习

https://mp.weixin.qq.com/s/VJkiVmGBMv3sL94mivjNHg

2.计算机视觉和 CNN 发展十一座里程碑

https://mp.weixin.qq.com/s/eosTWBbLpwVroYPEb9Q0wA

3.Generative Models

https://blog.openai.com/generative-models/

4.Generating Videos with Scene Dynamics

http://carlvondrick.com/tinyvideo/

5.Teaching machines to predict the future

http://news.mit.edu/2016/teaching-machines-to-predict-the-future-0621

  参考论文

1.Resnet模型,图像分类,超过人类的计算机识别水平。Delving Deep into Rectifiers: Surpassing Human-Level Performance on ImageNet Classification

https://arxiv.org/abs/1502.01852

2.图像检测 Faster R-CNN: Towards Real-Time Object Detection with Region Proposal Networks

https://arxiv.org/abs/1506.01497

3.图像分割Conditional Random Fields as Recurrent Neural Networks

http://www.robots.ox.ac.uk/~szheng/CRFasRNN.html

4.图像标注,看图说话 Show and Tell: A Neural Image Caption Generator

https://arxiv.org/abs/1411.4555

5.文字生成图像Generative Adversarial Text to Image Synthesis

https://arxiv.org/abs/1605.05396

6.强化学习玩flyppy bird Using Deep Q-Network to Learn How To Play Flappy Bird

https://github.com/yenchenlin/DeepLearningFlappyBird

7.强化学习玩Atari游戏 Playing Atari with Deep Reinforcement Learning

https://arxiv.org/abs/1312.5602

8.生成对抗网络 Generative Adversarial Networks

https://arxiv.org/abs/1406.2661

9.条件生成对抗网络Conditional Generative Adversarial Nets

https://arxiv.org/abs/1411.1784

10.生成对抗网络做图像超分辨率Photo-Realistic Single Image Super-Resolution Using a Generative Adversarial Network

https://arxiv.org/abs/1609.04802

11.深度卷积生成对抗网络Unsupervised Representation Learning with Deep Convolutional Generative Adversarial Networks

https://arxiv.org/abs/1511.06434

12.由图片推演视频Generating Videos with Scene Dynamics

http://carlvondrick.com/tinyvideo/

13.视频预测和无监督学习Deep Predictive Coding Networks for Video Prediction and Unsupervised Learning

https://coxlab.github.io/prednet/


78.HashMap与HashTable区别
  点评:HashMap基于Hashtable实现,不同之处在于HashMap是非同步的,并且允许null,即null value和null key,Hashtable则不允许null,详见:
http://oznyang.iteye.com/blog/30690。此外,记住一点:hashmap/hashset等凡是带有hash字眼的均基于hashtable实现,没带hash字眼的如set/map均是基于红黑树实现,前者无序,后者有序,详见此文第一部分:《教你如何迅速秒杀掉:99%的海量数据处理面试题》http://blog.csdn.net/v_july_v/article/details/7382693

  不过,估计还是直接来图更形象点,故直接上图(图片来源:July9月28日在上海交大面试&算法讲座的PPThttp://vdisk.weibo.com/s/zrFL6OXKg_1me):


79.在分类问题中,我们经常会遇到正负样本数据量不等的情况,比如正样本为10w条数据,负样本只有1w条数据,以下最合适的处理方法是(  )
A 将负样本重复10次,生成10w样本量,打乱顺序参与分类
B 直接进行分类,可以最大限度利用数据
C 从10w正样本中随机抽取1w参与分类
D 将负样本每个权重设置为10,正样本权重为1,参与训练过程
  @管博士:准确的说,其实选项中的这些方法各有优缺点,需要具体问题具体分析,有篇文章对各种方法的优缺点进行了分析,讲的不错 感兴趣的同学可以参考一下:https://www.analyticsvidhya.com/blog/2017/03/imbalanced-classification-problem/。


80.以下第80题~第94题来自:http://blog.csdn.net/u011204487
  深度学习是当前很热门的机器学习算法,在深度学习中,涉及到大量的矩阵相乘,现在需要计算三个稠密矩阵A,B,C的乘积ABC,假设三个矩阵的尺寸分别为
m∗n,n∗p,p∗q,且m<n<p<q,以下计算顺序效率最高的是(A) 
A.(AB)C
B.AC(B)
C.A(BC)
D.所以效率都相同
  @BlackEyes_SGC: m*n*p<m*n*q,m*p*q< n*p*q, 所以 (AB)C 最小


81.Nave Bayes是一种特殊的Bayes分类器,特征变量是X,类别标签是C,它的一个假定是:(C) 
  A.各类别的先验概率P(C)是相等的
  B.以0为均值,sqr(2)/2为标准差的正态分布
  C.特征变量X的各个维度是类别条件独立随机变量
  D.P(X|C)是高斯分布
  @BlackEyes_SGC:朴素贝叶斯的条件就是每个变量相互独立。


82.关于支持向量机SVM,下列说法错误的是(C) 

  A.L2正则项,作用是最大化分类间隔,使得分类器拥有更强的泛化能力
  B.Hinge 损失函数,作用是最小化经验分类错误
  C.分类间隔为1/||w||,||w||代表向量的模
  D.当参数C越小时,分类间隔越大,分类错误越多,趋于欠学习
  @BlackEyes_SGC:A正确。考虑加入正则化项的原因:想象一个完美的数据集,y>1是正类,y<-1是负类,决策面y=0,加入一个y=-30的正类噪声样本,那么决策面将会变“歪”很多,分类间隔变小,泛化能力减小。加入正则项之后,对噪声样本的容错能力增强,前面提到的例子里面,决策面就会没那么“歪”了,使得分类间隔变大,提高了泛化能力。B正确。 C错误。间隔应该是2/||w||才对,后半句应该没错,向量的模通常指的就是其二范数。 D正确。考虑软间隔的时候,C对优化问题的影响就在于把a的范围从[0,+inf]限制到了[0,C]。C越小,那么a就会越小,目标函数拉格朗日函数导数为0可以求出w=求和ai∗yi∗xi,a变小使得w变小,因此间隔2/||w||变大


83.在HMM中,如果已知观察序列和产生观察序列的状态序列,那么可用以下哪种方法直接进行参数估计(D) 
A.EM算法    B.维特比算法    C.前向后向算法    D.极大似然估计
  @BlackEyes_SGC: EM算法: 只有观测序列,无状态序列时来学习模型参数,即Baum-Welch算法
  维特比算法: 用动态规划解决HMM的预测问题,不是参数估计
  前向后向算法:用来算概率
  极大似然估计:即观测序列和相应的状态序列都存在时的监督学习算法,用来估计参数
  注意的是在给定观测序列和对应的状态序列估计模型参数,可以利用极大似然发估计。如果给定观测序列,没有对应的状态序列,才用EM,将状态序列看不不可测的隐数据。


84.假定某同学使用Naive Bayesian(NB)分类模型时,不小心将训练数据的两个维度搞重复了,那么关于NB的说法中正确的是(BD): 
A.这个被重复的特征在模型中的决定作用会被加强
B.模型效果相比无重复特征的情况下精确度会降低
C.如果所有特征都被重复一遍,得到的模型预测结果相对于不重复的情况下的模型预测结果一样。
D.当两列特征高度相关时,无法用两列特征相同时所得到的结论来分析问题
E.NB可以用来做最小二乘回归
F.以上说法都不正确
  @BlackEyes_SGC:NB的核心在于它假设向量的所有分量之间是独立的。在贝叶斯理论系统中,都有一个重要的条件独立性假设:假设所有特征之间相互独立,这样才能将联合概率拆分


85.以下哪些方法不可以直接来对文本分类? (A)  
A、Kmeans     B、决策树     C、支持向量机     D、KNN
  @BlackEyes_SGC:A:Kmeans是聚类方法,典型的无监督学习方法。分类是监督学习方法,BCD都是常见的分类方法。


86.已知一组数据的协方差矩阵P,下面关于主分量说法错误的是(C) 
A、主分量分析的最佳准则是对一组数据进行按一组正交基分解, 在只取相同数量分量的条件下,以均方误差计算截尾误差最小 
B、在经主分量分解后,协方差矩阵成为对角矩阵 
C、主分量分析就是K-L变换 
D、主分量是通过求协方差矩阵的特征值得到
  @BlackEyes_SGC:K-L变换与PCA变换是不同的概念,PCA的变换矩阵是协方差矩阵,K-L变换的变换矩阵可以有很多种(二阶矩阵、协方差矩阵、总类内离散度矩阵等等)。当K-L变换矩阵为协方差矩阵时,等同于PCA。


87.kmeans的复杂度

  时间复杂度:O(tKmn),其中,t为迭代次数,K为簇的数目,m为记录数,n为维数空间复杂度:O((m+K)n),其中,K为簇的数目,m为记录数,n为维数


88.关于logit 回归和SVM 不正确的是(A)
A. Logit回归本质上是一种根据样本对权值进行极大似然估计的方法,而后验概率正比于先验概率和似然函数的乘积。logit仅仅是最大化似然函数,并没有最大化后验概率,更谈不上最小化后验概率。A错误
B. Logit回归的输出就是样本属于正类别的几率,可以计算出概率,正确
C. SVM的目标是找到使得训练数据尽可能分开且分类间隔最大的超平面,应该属于结构风险最小化。
D. SVM可以通过正则化系数控制模型的复杂度,避免过拟合。
  @BlackEyes_SGC:Logit回归目标函数是最小化后验概率,Logit回归可以用于预测事件发生概率的大小,SVM目标是结构风险最小化,SVM可以有效避免模型过拟合。


89.输入图片大小为200×200,依次经过一层卷积(kernel size 5×5,padding 1,stride 2),pooling(kernel size 3×3,padding 0,stride 1),又一层卷积(kernel size 3×3,padding 1,stride 1)之后,输出特征图大小为(97): 
  @BlackEyes_SGC:计算尺寸不被整除只在GoogLeNet中遇到过。卷积向下取整,池化向上取整。
  本题 (200-5+2*1)/2+1 为99.5,取99
  (99-3)/1+1 为97
  (97-3+2*1)/1+1 为97
  研究过网络的话看到stride为1的时候,当kernel为 3 padding为1或者kernel为5 padding为2 一看就是卷积前后尺寸不变。计算GoogLeNet全过程的尺寸也一样。


90.影响聚类算法结果的主要因素有(B、C、D )。
A.已知类别的样本质量;    B.分类准则;    C.特征选取;    D.模式相似性测度 


91.模式识别中,马式距离较之于欧式距离的优点是(C、D)。
A.平移不变性;    B.旋转不变性;    C尺度不变性;    D.考虑了模式的分布


92.影响基本K-均值算法的主要因素有(ABD)。
A.样本输入顺序;
B.模式相似性测度;
C.聚类准则;
D.初始类中心的选取 


93.在统计模式分类问题中,当先验概率未知时,可以使用(BD)。
A. 最小损失准则; 
B. 最小最大损失准则;
C. 最小误判概率准则; 
D. N-P判决


94.如果以特征向量的相关系数作为模式相似性测度,则影响聚类算法结果的主要因素有(BC)。
A. 已知类别样本质量;    B. 分类准则;    C. 特征选取;    D. 量纲


95.欧式距离具有(A B );马式距离具有(A B C D )。
A. 平移不变性;    B. 旋转不变性;    C. 尺度缩放不变性;    D. 不受量纲影响的特性


96.你有哪些deep learning(rnn、cnn)调参的经验?
参考https://www.zhihu.com/question/41631631


97.简单说说RNN的原理
  我们升学到高三准备高考时,此时的知识是由高二及高二之前所学的知识加上高三所学的知识合成得来,即我们的知识是由前序铺垫,是有记忆的,好比当电影字幕上出现:“我是”时,你会很自然的联想到:“我是中国人”。

  关于RNN,这里有课程详细讲RNN,包括RNN条件生成、attention,以及LSTM等等均有细致讲解:http://www.julyedu.com/category/index/8/21


98.什么是RNN?

  @一只鸟的天空,本题解析来源:http://blog.csdn.net/heyongluoyao8/article/details/48636251
  RNNs的目的使用来处理序列数据。在传统的神经网络模型中,是从输入层到隐含层再到输出层,层与层之间是全连接的,每层之间的节点是无连接的。但是这种普通的神经网络对于很多问题却无能无力。例如,你要预测句子的下一个单词是什么,一般需要用到前面的单词,因为一个句子中前后单词并不是独立的。RNNs之所以称为循环神经网路,即一个序列当前的输出与前面的输出也有关。具体的表现形式为网络会对前面的信息进行记忆并应用于当前输出的计算中,即隐藏层之间的节点不再无连接而是有连接的,并且隐藏层的输入不仅包括输入层的输出还包括上一时刻隐藏层的输出。理论上,RNNs能够对任何长度的序列数据进行处理。但是在实践中,为了降低复杂性往往假设当前的状态只与前面的几个状态相关,下图便是一个典型的RNNs: 

 
From Nature 
  RNNs包含输入单元(Input units),输入集标记为
{x0,x1,...,xt,xt+1,...},而输出单元(Output units)的输出集则被标记为 {y0,y1,...,yt,yt+1.,..}。RNNs还包含隐藏单元(Hidden units),我们将其输出集标记为 {s0,s1,...,st,st+1,...},这些隐藏单元完成了最为主要的工作。你会发现,在图中:有一条单向流动的信息流是从输入单元到达隐藏单元的,与此同时另一条单向流动的信息流从隐藏单元到达输出单元。在某些情况下,RNNs会打破后者的限制,引导信息从输出单元返回隐藏单元,这些被称为“Back Projections”,并且隐藏层的输入还包括上一隐藏层的状态,即隐藏层内的节点可以自连也可以互连。 
  上图将循环神经网络进行展开成一个全神经网络。例如,对一个包含5个单词的语句,那么展开的网络便是一个五层的神经网络,每一层代表一个单词。对于该网络的计算过程如下:

  xt表示第 t,t=1,2,3...步(step)的输入。比如, x1为第二个词的one-hot向量(根据上图, x0为第一个词); 

  st为隐藏层的第 t步的状态,它是网络的记忆单元。  st根据当前输入层的输出与上一步隐藏层的状态进行计算。 st=f(Uxt+Wst−1),其中 f一般是非线性的激活函数,如tanh(https://reference.wolfram.com/language/ref/Tanh.html)ReLU(https://en.wikipedia.org/wiki/Rectifier_%28neural_networks%29),在计算 s0时,即第一个单词的隐藏层状态,需要用到 s−1,但是其并不存在,在实现中一般置为0向量;

  ot是第 t步的输出,如下个单词的向量表示, ot=softmax(Vst)

  更多请看此文:http://blog.csdn.net/heyongluoyao8/article/details/48636251


99. RNN是怎么从单层网络一步一步构造的的?

  @何之源,本题解析来源:https://zhuanlan.zhihu.com/p/28054589

  一、从单层网络谈起

  在学习RNN之前,首先要了解一下最基本的单层网络,它的结构如图:

  输入是x,经过变换Wx+b和激活函数f得到输出y。相信大家对这个已经非常熟悉了。

  二、经典的RNN结构(N vs N)
  在实际应用中,我们还会遇到很多序列形的数据:


如:

  • 自然语言处理问题。x1可以看做是第一个单词,x2可以看做是第二个单词,依次类推。

  • 语音处理。此时,x1、x2、x3……是每帧的声音信号。

  • 时间序列问题。例如每天的股票价格等等。

  序列形的数据就不太好用原始的神经网络处理了。为了建模序列问题,RNN引入了隐状态h(hidden state)的概念,h可以对序列形的数据提取特征,接着再转换为输出。先从h1的计算开始看:


  图示中记号的含义是:

  • 圆圈或方块表示的是向量。

  • 一个箭头就表示对该向量做一次变换。如上图中h0和x1分别有一个箭头连接,就表示对h0和x1各做了一次变换。

  在很多论文中也会出现类似的记号,初学的时候很容易搞乱,但只要把握住以上两点,就可以比较轻松地理解图示背后的含义。

  h2的计算和h1类似。要注意的是,在计算时,每一步使用的参数U、W、b都是一样的,也就是说每个步骤的参数都是共享的,这是RNN的重要特点,一定要牢记。


  依次计算剩下来的(使用相同的参数U、W、b):


  我们这里为了方便起见,只画出序列长度为4的情况,实际上,这个计算过程可以无限地持续下去。

  我们目前的RNN还没有输出,得到输出值的方法就是直接通过h进行计算:

  正如之前所说,一个箭头就表示对对应的向量做一次类似于f(Wx+b)的变换,这里的这个箭头就表示对h1进行一次变换,得到输出y1。

  剩下的输出类似进行(使用和y1同样的参数V和c):

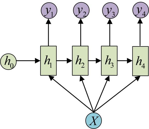
  OK!大功告成!这就是最经典的RNN结构,我们像搭积木一样把它搭好了。它的输入是x1, x2, .....xn,输出为y1, y2, ...yn,也就是说,输入和输出序列必须要是等长的。

  由于这个限制的存在,经典RNN的适用范围比较小,但也有一些问题适合用经典的RNN结构建模,如:

  • 计算视频中每一帧的分类标签。因为要对每一帧进行计算,因此输入和输出序列等长。

  • 输入为字符,输出为下一个字符的概率。这就是著名的Char RNN(详细介绍请参考:The Unreasonable Effectiveness of Recurrent Neural Networks,Char RNN可以用来生成文章、诗歌,甚至是代码。此篇博客里有自动生成歌词的实验教程《基于torch学汪峰写歌词、聊天机器人、图像着色/生成、看图说话、字幕生成》)。

  三、N VS 1

  有的时候,我们要处理的问题输入是一个序列,输出是一个单独的值而不是序列,应该怎样建模呢?实际上,我们只在最后一个h上进行输出变换就可以了:


  这种结构通常用来处理序列分类问题。如输入一段文字判别它所属的类别,输入一个句子判断其情感倾向,输入一段视频并判断它的类别等等。

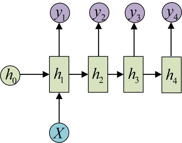
  四、1 VS N

  输入不是序列而输出为序列的情况怎么处理?我们可以只在序列开始进行输入计算:


  还有一种结构是把输入信息X作为每个阶段的输入:


  下图省略了一些X的圆圈,是一个等价表示:

这种1 VS N的结构可以处理的问题有:

  • 从图像生成文字(image caption),此时输入的X就是图像的特征,而输出的y序列就是一段句子

  • 从类别生成语音或音乐等

  五、N vs M

  下面我们来介绍RNN最重要的一个变种:N vs M。这种结构又叫Encoder-Decoder模型,也可以称之为Seq2Seq模型。

  原始的N vs N RNN要求序列等长,然而我们遇到的大部分问题序列都是不等长的,如机器翻译中,源语言和目标语言的句子往往并没有相同的长度。

  为此,Encoder-Decoder结构先将输入数据编码成一个上下文向量c:


  得到c有多种方式,最简单的方法就是把Encoder的最后一个隐状态赋值给c,还可以对最后的隐状态做一个变换得到c,也可以对所有的隐状态做变换。

  拿到c之后,就用另一个RNN网络对其进行解码,这部分RNN网络被称为Decoder。具体做法就是将c当做之前的初始状态h0输入到Decoder中:


  还有一种做法是将c当做每一步的输入:


  由于这种Encoder-Decoder结构不限制输入和输出的序列长度,因此应用的范围非常广泛,比如:

  • 机器翻译。Encoder-Decoder的最经典应用,事实上这一结构就是在机器翻译领域最先提出的

  • 文本摘要。输入是一段文本序列,输出是这段文本序列的摘要序列。

  • 阅读理解。将输入的文章和问题分别编码,再对其进行解码得到问题的答案。

  • 语音识别。输入是语音信号序列,输出是文字序列。


100.RNN中只能采用tanh而不是ReLu作为激活函数么?
  解析详见:https://www.zhihu.com/question/61265076


点击下方“阅读原文”下载【同声译】
↓↓↓
登录查看更多
0

相关内容

在数值分析中,牛顿方法,也被称为牛顿-拉夫森方法,是一种求根的算法,它对实值函数的根(或零)产生连续更好的逼近.
【实用书】学习用Python编写代码进行数据分析,103页pdf
专知会员服务
198+阅读 · 2020年6月29日
【伯克利】再思考 Transformer中的Batch Normalization
专知会员服务
41+阅读 · 2020年3月21日
机器学习速查手册,135页pdf
专知会员服务
345+阅读 · 2020年3月15日
【经典书】精通机器学习特征工程,中文版,178页pdf
专知会员服务
360+阅读 · 2020年2月15日
【电子书】让 PM 全面理解深度学习 65页PDF免费下载
专知会员服务
18+阅读 · 2019年10月30日
BAT机器学习面试题1000题(376~380题)
七月在线实验室
9+阅读 · 2018年8月27日
BAT机器学习面试题1000题(331~335题)
七月在线实验室
12+阅读 · 2018年8月13日
BAT机器学习面试题1000题(316~320题)
七月在线实验室
14+阅读 · 2018年1月18日
BAT题库 | 机器学习面试1000题系列(第196~200题)
七月在线实验室
17+阅读 · 2017年11月16日
BAT题库 | 机器学习面试1000题系列(第191~195题)
七月在线实验室
6+阅读 · 2017年11月15日
BAT题库 | 机器学习面试1000题系列(第161~165题)
七月在线实验室
7+阅读 · 2017年11月6日
BAT机器学习面试1000题系列(第116~120题)
七月在线实验室
16+阅读 · 2017年10月24日
BAT机器学习面试1000题系列(第51~55题)
七月在线实验室
10+阅读 · 2017年10月8日
BAT机器学习面试1000题系列(第46~50题)
七月在线实验室
7+阅读 · 2017年10月7日
BAT机器学习面试1000题系列(第36~40题)
七月在线实验室
8+阅读 · 2017年10月3日
Arxiv
4+阅读 · 2020年3月27日
Reasoning on Knowledge Graphs with Debate Dynamics
Arxiv
14+阅读 · 2020年1月2日
Parsimonious Bayesian deep networks
Arxiv
5+阅读 · 2018年10月17日
Arxiv
3+阅读 · 2017年7月6日
VIP会员
相关资讯
BAT机器学习面试题1000题(376~380题)
七月在线实验室
9+阅读 · 2018年8月27日
BAT机器学习面试题1000题(331~335题)
七月在线实验室
12+阅读 · 2018年8月13日
BAT机器学习面试题1000题(316~320题)
七月在线实验室
14+阅读 · 2018年1月18日
BAT题库 | 机器学习面试1000题系列(第196~200题)
七月在线实验室
17+阅读 · 2017年11月16日
BAT题库 | 机器学习面试1000题系列(第191~195题)
七月在线实验室
6+阅读 · 2017年11月15日
BAT题库 | 机器学习面试1000题系列(第161~165题)
七月在线实验室
7+阅读 · 2017年11月6日
BAT机器学习面试1000题系列(第116~120题)
七月在线实验室
16+阅读 · 2017年10月24日
BAT机器学习面试1000题系列(第51~55题)
七月在线实验室
10+阅读 · 2017年10月8日
BAT机器学习面试1000题系列(第46~50题)
七月在线实验室
7+阅读 · 2017年10月7日
BAT机器学习面试1000题系列(第36~40题)
七月在线实验室
8+阅读 · 2017年10月3日
Top
微信扫码咨询专知VIP会员