计算高效,时序一致,超清还原!清华&NYU 提出 RRN:视频超分新型递归网络

2020 年 8 月 19 日 极市平台
↑ 点击 蓝字  关注极市平台

极市导读

 

本文为大家介绍一个视频超分方向的最新工作:新颖的递归网络RRN。文章将残差学习思想引入到RNN中,在保持长周期纹理信息的同时降低了训练过程中的梯度消失的风险。该工作在Vid4数据集上超越了EDVR的PSNR指标。同时,文章还对常用的三种时序建模方案进行了系统的对比分析。>>>极市七夕粉丝福利活动:炼丹师们,七夕这道算法题,你会解吗?

paper: https://arxiv.org/2008.05765

code: https://github.com/junpan19/RRN(即将开源)

Abstract

视频超分在监控视频分析与超高清视频显示中扮演着非常重要的作用,它在工业界与学术界获得了非常多的关注。尽管有许多基于深度学习的视频超分方法已被提出,但是往往难以直接对这些方法进行对比,这是因为(1) 不同的损失函数;(2) 不同的训练数据等因素对于超分结果影响非常大。

该文仔细研究并对了视频超分中的三种时序建模方案(2D-CNN, 3D-CNN, RNN),同时还提出了一种新颖的递归残差模块用于高效视频超分,其中残差学习用于稳定训练并提升超分性能。

作者通过充分的实验表明:所提RRN计算高效同时可以生成时序一致的超分结果,且具有更好的纹理细节。除此之外,所提方法在公开基准数据集取得了SOTA性能。

该文的贡献主要包含两方面:

  • 精心研究并对比了视频超分中常用的三种时序建模方法;
  • 提出了一种新颖的隐状态用于递归网络,它在所有时序建模方法中取得最佳性能,并在三个公开数据集取得了SOTA性能。

Method

接下来,我们将重点介绍一下该文所提整理系统方案以及时序建模方法的细节。整个视频超分系统包含两个部分:(1) 时序建模网络;(2) 图像/视频重建网络;(3) 损失函数。该文的重点是1与3两个部分。在时序建模网络方面,作者重点研究了2DCNN快融合(见下图A)、3DCNN慢融合(见下图B)以及RNN(见下图C)三种时序建模方案。基于不同建模方案的分析而提出了该文的RRN建模方案(见下图D)。

如前所述,该文考虑了三种形式的时序建模方案。接下来,我们就针对这三种方案进行介绍与分析。

2DCNN快融合

该方案以多帧作为输入,直接通过concat方式进行融合,然后采用堆叠2D卷积提取特征。受EDSR启发,作者了采用改进2D残差模块设计了2DCNN快融合模块。该融合过程可以描述为:

的输入维度为 ,其中 表示2D卷积的权值。该2DCNN的输出残差特征的维度为 ,然后通过depth-to-space方式进行上采样,最后将所得残差图与原始输入中间帧的bicubic结果相加得到最终的超分结果。

3DCNN慢融合

该方案以视频序列作为输入,然后采用堆叠3D卷积提取空-时信息。类似2DCNN,作者采用了相似的方式进行空-时信息提取,区别在于卷积由2D编程了3D。相比2DCNN,3DCNN中的时序信息融合更慢,该过程可以描述为:

其他的处理过程与2DCNN的过程基本相似,这里滤过不计。

RNN融合

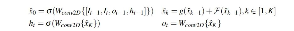
相比CNN时序建模方法,RNN采用更少的帧与隐状态作为输入,并采用递归方式处理长视频序列。一般而言,时序t的隐状态包含三部分:(1) 前一帧的超分结果 ;(2) 前一帧的隐状态特征 ;(3) 两个相邻帧 。直观上讲,前后帧的像素往往具有非常强的相似性,t时刻的高频纹理可以通过前一帧的补充信息进行进一步精炼调整。类似其他视频处理任务,VSR中的RNN往往存在梯度消失问题。

为解决上述问题,作者提出了一种新颖的递归网络RRN(Residual Recurrent Network),它将残差学习思想引入到RNN中。这种设计确保了流畅的信息流,有助于保持长周期的纹理信息,进而使得RNN可以处理更长序列,同时降低了训练过程中的梯度消失风险。在t时刻,RNN采用如下方式生成隐状态与输出:

其中 表示ReLU激活函数, 表示恒等映射,即 ,而 表示学习到的残差特征图。

Experiments

之前的方法往往采用不同的训练数据集(比如有的采用Vimeo90K,有的采用REDS,有的采用自己制作的数据)、不同的下采样核(有的采用bicubic,有的采用blur-down),这就导致了不同方法无法公平对比。在该文中,作者采用Vimeo90K作为训练数据集,其中的LR采用blur-down方式制作。作者选用的测试数据集为Vid4、SPMCS以及UDM10三个公开数据集。

对于2DCNN时序建模方案,作者设计了2DCNN-S与2DCNN-L两种,分别采用5和10个2D残差模块,通道数为128;对于3DCNN时序建模方案,作者的设计类似2DCNN,故略过;为公平对比,对于RNN时序建模,作者也分别采用5和10个残差模块作为隐状态,即RNN-S与RNN-L,通道数同样为128, 时刻的隐状态初始化为0。

在训练过程中,2DCNN的学习率为0.0001,3DCNN的学习率为0.001,每10epoch衰减0.1,总计训练30epoch;RNN的学习率为0.0001,每60epoch衰减0.1,总计训练70epoch。所有模型均采用 损失函数、Adam优化器。CNN建模方案的Batch=64,RNN建模方案的Batch=4

下表给出了不同建模方案在公开数据集上的性能以及耗时对比。很明显,(1) 3DCNN时序建模方案以极大优势优于2DCNN,然而它非常耗时。(2) 相比3DCNN时序建模方案,RNN计算高效,参数量更少,同时具有更好的性能指标。(3)RRN-S能够以33fps生成720p视频,RRN-L能够以22fps生成720p视频。

作者同时还对比了不同建模方案的时序一致性,见下图。RRN方案可以生成时序一致的结果同时具有更少的伪影问题。

为更好说明RRN的有效性,作者还对比了不带残差学习时的性能对比,见下表。可以看到不添加残差学习存在严重的梯度消失问题。

最后,作者给出了所提方法与其他视频超分方案的性能与效果对比。

全文到此结束,对该文感兴趣的同学可以去看一下原文。最后,期待作者能尽快开源TGA、RSDN以及RRN的代码以及预训练模型,期待ing!


作者档案

Happy,一个爱“胡思乱想”的AI行者
个人公众号:AIWalker
欢迎大家联系极市小编(微信ID:fengcall19)加入极市原创作者行列


推荐阅读



添加极市小助手微信(ID : cvmart2),备注:姓名-学校/公司-研究方向-城市(如:小极-北大-目标检测-深圳),即可申请加入极市目标检测/图像分割/工业检测/人脸/医学影像/3D/SLAM/自动驾驶/超分辨率/姿态估计/ReID/GAN/图像增强/OCR/视频理解等技术交流群:月大咖直播分享、真实项目需求对接、求职内推、算法竞赛、干货资讯汇总、与 10000+来自港科大、北大、清华、中科院、CMU、腾讯、百度等名校名企视觉开发者互动交流~

△长按添加极市小助手

△长按关注极市平台,获取 最新CV干货

觉得有用麻烦给个在看啦~   
登录查看更多
0

相关内容

专知会员服务
13+阅读 · 2020年9月19日
【ACM Multimedia 2020】双时间存储网络有效的视频对象分割
专知会员服务
10+阅读 · 2020年8月13日
专知会员服务
30+阅读 · 2020年7月31日
【CVPR2020】时序分组注意力视频超分
专知会员服务
31+阅读 · 2020年7月1日
专知会员服务
100+阅读 · 2020年2月20日
低清视频也能快速转高清:超分辨率算法TecoGAN
机器之心
13+阅读 · 2019年4月16日
【泡泡一分钟】基于视频修复的时空转换网络
泡泡机器人SLAM
5+阅读 · 2018年12月30日
【优博微展2018】刘昊:基于深度神经网络的人脸关键点检测
清华大学研究生教育
32+阅读 · 2018年12月1日
如何处理多种退化类型的卷积超分辨率
算法与数学之美
6+阅读 · 2018年6月1日
卷积网络循环网络结合-CNN+RNN
数据挖掘入门与实战
7+阅读 · 2018年2月11日
Image Captioning: Transforming Objects into Words
Arxiv
7+阅读 · 2019年6月14日
Arxiv
5+阅读 · 2018年4月13日
VIP会员
相关资讯
低清视频也能快速转高清:超分辨率算法TecoGAN
机器之心
13+阅读 · 2019年4月16日
【泡泡一分钟】基于视频修复的时空转换网络
泡泡机器人SLAM
5+阅读 · 2018年12月30日
【优博微展2018】刘昊:基于深度神经网络的人脸关键点检测
清华大学研究生教育
32+阅读 · 2018年12月1日
如何处理多种退化类型的卷积超分辨率
算法与数学之美
6+阅读 · 2018年6月1日
卷积网络循环网络结合-CNN+RNN
数据挖掘入门与实战
7+阅读 · 2018年2月11日
Top
微信扫码咨询专知VIP会员