AI攻破高数核心,1秒内精确求解微分方程、不定积分,性能远超Matlab

2019 年 12 月 19 日 量子位
栗子 鱼羊 发自 海边边 
量子位 报道 | 公众号 QbitAI

大家都知道,AI (神经网络) 连加减法这样的简单算术都做不好:

可现在,AI已经懂得微积分,把魔爪伸向你最爱的高数了。

它不光会求不定积分:

还能解常微分方程:

一阶二阶都可以。

这是Facebook发表的新模型,1秒给出的答案,超越了Mathematica和Matlab这两只付费数学软件30秒的成绩。

团队说,这是Seq2SeqTransformer搭配食用的结果。

用自然语言处理 (NLP) 的方法来理解数学,果然行得通。

这项成果,已经在推特上获得了1700赞。许多小伙伴表示惊奇,比如:

感谢你们!在我原本的想象中,这完全是不可能的!

而且,据说算法很快就要开源了:

到时候让付费软件怎么办?

巨大数据集的生成姿势

要训练模型做微积分题目,最重要的前提就是要有大大大的数据集。

这里有,积分数据集微分方程数据集的制造方法:

函数,和它的积分

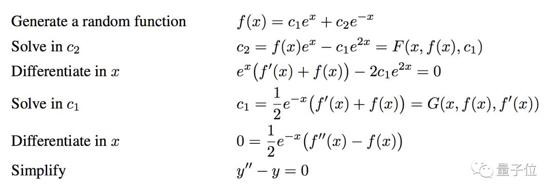
首先,就是要做出“一个函数&它的微分”这样的数据对。团队用了三种方法:

第一种是正向生成 (Fwd) ,指生成随机函数 (最多n个运算符) ,再用现成的工具求积分。把工具求不出的函数扔掉。

第二种是反向生成 (Bwd) ,指生成随机函数,再对函数求导。填补了第一种方法收集不到的一些函数,因为就算工具求不出积分,也一定可以求导。

第三种是用了分部积分的反向生成 (Ibp) 。前面的反向生成有个问题,就是不太可能覆盖到f(x)=x3sin(x)的积分:

F(x)=-x3cos(x)+3x2sin(x)+6xcos(x)-6sin(x)

因为这个函数太长了,随机生成很难做到。

另外,反向生成的产物,大多会是函数的积分比函数要短,正向生成则相反。

为了解决这个问题,团队用了分部积分:生成两个随机函数F和G,分别算出导数f和g。

如果fG已经出现在前两种方法得到的训练集里,它的积分就是已知,可以用来求出Fg:

∫Fg=FG-∫fG

反过来也可以,如果Fg已经在训练集里,就用它的积分求出fG。

每求出一个新函数的积分,就把它加入训练集。

如果fG和Fg都不在训练集里,就重新生成一对F和G。

如此一来,不借助外部的积分工具,也能轻松得到x10sin(x)这样的函数了。

一阶常微分方程,和它的解

从一个二元函数F(x,y)说起。

有个方程F(x,y)=c,可对y求解得到y=f(x,c)。就是说有一个二元函数f,对任意x和c都满足:

再对x求导,就得到一个微分方程:

fc表示从x到f(x,c)的映射,也就是这个微分方程的解。

这样,对于任何的常数c,fc都是一阶微分方程的解。

把fc替换回y,就有了整洁的微分方程:

这样一来,想做出“一阶常微分方程&解”的成对数据集,只要生成一个f(x,c),对c有解的那种,再找出它满足的微分方程F就可以了,比如:

二阶常微分方程,和它的解

二阶的原理,是从一阶那里扩展来的,只要把f(x,c)变成f(x,c1,c2) ,对c2有解。

微分方程F要满足:

把它对x求导,会得到:

fc1,c2表示,从x到f(x,c1,c2)的映射。

如果这个方程对c1有解,就可以推出另外一个三元函数G,它对任意x都满足:

再对x求导,就会得到:

最后,整理出清爽的微分方程:

它的解就是fc1,c2

至于生成过程,举个例子:

现在,求积分求解微分方程两个训练集都有了。那么问题也来了,AI要怎么理解这些复杂的式子,然后学会求解方法呢?

将数学视作自然语言

积分方程和微分方程,都可以视作将一个表达式转换为另一个表达式,研究人员认为,这是机器翻译的一个特殊实例,可以用NLP的方法来解决。

第一步,是将数学表达式以树的形式表示

运算符和函数为内部节点,数字、常数和变量等为叶子节点。

比如 3x^2 + cos(2x) - 1 就可以表示为:

再举一个复杂一点的例子,这样一个偏微分表达式:

用树的形式表示,就是:

采用树的形式,就能消除运算顺序的歧义,照顾优先级和关联性,并且省去了括号。

在没有空格、标点符号、多余的括号这样的无意义符号的情况下,不同的表达式会生成不同的树。表达式和树之间是一一对应的。

第二步,引入seq2seq模型

seq2seq模型具有两种重要特性:

输入和输出序列都可以具有任意长度,并且长度可以不同。

输入序列和输出序列中的字词不需要一一对应。

因此,seq2seq模型非常适合求解微积分的问题。

使用seq2seq模型生成树,首先,要将树映射到序列。

使用前缀表示法,将每个父节点写在其子节点之前,从左至右列出。

比如 2 + 3 * (5 + 2),表示为树是:

表示为序列就是 [+ 2 * 3 + 5 2]。

树和前缀序列之间也是一一映射的。

第三步,生成随机表达式

要创建训练数据,就需要生成随机数学表达式。前文已经介绍了数据集的生成策略,这里着重讲一下生成随机表达式的算法。

使用n个内部节点对表达式进行统一采样并非易事。比如递归这样的方法,就会倾向于生成深树而非宽树,偏左树而非偏右树,实际上是无法以相同的概率生成不同种类的树的。

所以,以随机二叉树为例,具体的方法是:从一个空的根节点开始,在每一步中确定下一个内部节点在空节点中的位置。重复进行直到所有内部节点都被分配为止。

不过,在通常情况下,数学表达式树不一定是二叉树,内部节点可能只有1个子节点。如此,就要考虑根节点和下一内部节点参数数量的二维概率分布,记作 L(e,n)。

接下来,就是对随机树进行采样,从可能的运算符和整数、变量、常量列表中随机选择内部节点及叶子节点来对树进行“装饰”。

最后,计算表达式的数量

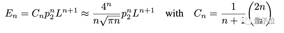
经由前面的步骤,可以看出,表达式实际上是由一组有限的变量、常量、整数和一系列运算符组成的。

于是,问题可以概括成:

  • 最多包含n个内部节点的树

  • 一组p1个一元运算符(如cos,sin,exp,log)

  • 一组p2个二进制运算符(如+,-,×,pow)

  • 一组L个叶子值,其中包含变量(如x,y,z),常量(如e,π),整数(如 {-10,…,10})

如果p1 = 0,则表达式用二叉树表示。

这样,具有n个内部节点的二叉树恰好具有n + 1个叶子节点。每个节点和叶子可以分别取p1和L个不同的值。

具有n个二进制运算符的表达式数量就可以表示为:

如果p1 > 0,表达式数量则为:

可以观察到,叶子节点和二元运算符的数量会明显影响问题空间的大小。

不同数目运算符和叶子节点的表达式数量

胜过商业软件

实验中,研究人员训练seq2seq模型预测给定问题的解决方案。采用的模型,是8个注意力头(attention head),6层,512维的Transformer模型。

研究人员在一个拥有5000个方程的数据集中,对模型求解微积分方程的准确率进行了评估。

结果表明,对于微分方程,波束搜索解码能大大提高模型的准确率。

而与最先进的商业科学计算软件相比,新模型不仅更快,准确率也更高。

在包含500个方程的测试集上,商业软件中表现最好的是Mathematica。

比如,在一阶微分方程中,与使用贪婪搜索解码算法(集束大小为1)的新模型相比,Mathematica不落下风,但新方法通常1秒以内就能解完方程,Mathematica的解题时间要长的多(限制时间30s,若超过30s则视作没有得到解)。

而当新方法进行大小为50的波束搜索时,模型准确率就从81.2%提升到了97%,远胜于Mathematica(77.2%)

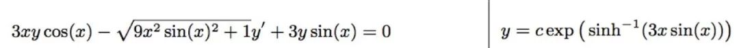
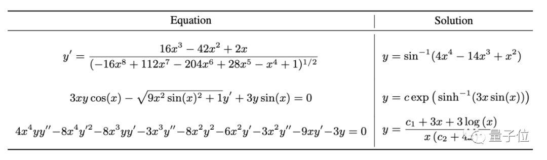
并且,在某一些Mathematica和Matlab无力解决的问题上,新模型都给出了有效解。

商业科学计算软件没有找到解的方程

邀请AI参加IMO

这个会解微积分的AI一登场,就吸引了众多网友的目光,引发热烈讨论。网友们纷纷称赞:鹅妹子嘤。

有网友这样说道:

这篇论文超级有趣的地方在于,它有可能解决复杂度比积分要高得高得高得多的问题。

还有网友认为,这项研究太酷了,该模型能够归纳和整合一些sympy无法实现的功能。

不过,也有网友认为,在与Mathematica的对比上,研究人员的实验设定显得不够严谨。

默认设置下,Mathematica是在复数域中进行计算的,这会增加其操作的难度。但作者把包含复数系数的表达式视作“无效”。所以他们在使用Mathematica的时候将设置调整为实数域了?

我很好奇Mathematica是否可以解决该系统无法解决的问题。

30s的限制时间对于计算机代数系统有点武断了。

但总之,面对越来越机智的AI,已经有人发起了挑战赛,邀请AI挑战IMO金牌。

Facebook AI研究院出品

这篇论文有两位共同一作。

Guillaume Lample,来自法国布雷斯特,是Facebook AI研究院、皮埃尔和玛丽·居里大学在读博士。

他曾于巴黎综合理工学院和CMU分别获得数学与计算机科学和人工智能硕士学位。2014年进入Facebook实习。

François Charton,Facebook AI研究院的客座企业家(Visiting entrepreneur),主要研究方向是数学和因果关系。

传送门

https://arxiv.org/abs/1912.01412

https://news.ycombinator.com/item?id=21084748

2019年度奖项发布!锁定AI Top玩家

50家领航企业、10大商业突破人物、10大最具创新力产品3大奖项出炉。

跟大咖交流 | 进入AI社群

量子位 QbitAI · 头条号签约作者

վ'ᴗ' ի 追踪AI技术和产品新动态

喜欢就点「在看」吧 !

登录查看更多
1

相关内容

【2020新书】监督机器学习,156页pdf,剑桥大学出版社
专知会员服务
154+阅读 · 2020年6月27日
【ICLR2020】图神经网络与图像处理,微分方程,27页ppt
专知会员服务
48+阅读 · 2020年6月6日
干货书《数据科学数学系基础》2020最新版,266页pdf
专知会员服务
324+阅读 · 2020年3月23日
《深度学习》圣经花书的数学推导、原理与Python代码实现
特征方程的物理意义
算法与数学之美
6+阅读 · 2019年5月13日
机器学习入门 | 刷新你三观的高数和线代教程
大数据技术
21+阅读 · 2019年3月22日
计算:XGBoost背后的数学之美
论智
12+阅读 · 2018年8月20日
从最大似然到EM算法:一致的理解方式
PaperWeekly
19+阅读 · 2018年3月19日
图解高等数学|线性代数
遇见数学
39+阅读 · 2017年10月18日
机器学习(19)之支持向量回归机
机器学习算法与Python学习
12+阅读 · 2017年10月3日
GAN的数学原理
算法与数学之美
16+阅读 · 2017年9月2日
【原理】GAN的数学原理
GAN生成式对抗网络
8+阅读 · 2017年8月30日
【基础数学】- 01
遇见数学
20+阅读 · 2017年7月25日
Conditional BERT Contextual Augmentation
Arxiv
8+阅读 · 2018年12月17日
Feature Selection Library (MATLAB Toolbox)
Arxiv
7+阅读 · 2018年8月6日
Arxiv
5+阅读 · 2018年5月16日
Arxiv
5+阅读 · 2018年1月30日
VIP会员
相关VIP内容
【2020新书】监督机器学习,156页pdf,剑桥大学出版社
专知会员服务
154+阅读 · 2020年6月27日
【ICLR2020】图神经网络与图像处理,微分方程,27页ppt
专知会员服务
48+阅读 · 2020年6月6日
干货书《数据科学数学系基础》2020最新版,266页pdf
专知会员服务
324+阅读 · 2020年3月23日
《深度学习》圣经花书的数学推导、原理与Python代码实现
相关资讯
特征方程的物理意义
算法与数学之美
6+阅读 · 2019年5月13日
机器学习入门 | 刷新你三观的高数和线代教程
大数据技术
21+阅读 · 2019年3月22日
计算:XGBoost背后的数学之美
论智
12+阅读 · 2018年8月20日
从最大似然到EM算法:一致的理解方式
PaperWeekly
19+阅读 · 2018年3月19日
图解高等数学|线性代数
遇见数学
39+阅读 · 2017年10月18日
机器学习(19)之支持向量回归机
机器学习算法与Python学习
12+阅读 · 2017年10月3日
GAN的数学原理
算法与数学之美
16+阅读 · 2017年9月2日
【原理】GAN的数学原理
GAN生成式对抗网络
8+阅读 · 2017年8月30日
【基础数学】- 01
遇见数学
20+阅读 · 2017年7月25日
Top
微信扫码咨询专知VIP会员