论文浅尝 | 基于神经网络的推理(DeepMind Relational Reasoning)

2018 年 4 月 3 日 开放知识图谱 徐阿衡

本文转载自公众号:徐阿衡


                                                      

  • 论文:A simple neural network module for relational reasoning(2017)

  • github代码: https://github.com/siddk/relation-network

这篇回顾下 DeepMind 2017 年发表的关系推理方面的工作,Relational Networks(RNs)。

关系推理的传统方法有基于符号的方法(symbolic approaches)基于统计的方法(statistical learning)。基于符号的方法存在着 symbol grounding 的问题,在小任务(small task)和输入变化(input variations)的问题上也不够鲁棒,学习能力不强;而基于统计的方法像深度学习,虽然泛化能力强,但是对数据稀疏但关系复杂的问题也是束手无策。DeepMind 2017年出的这篇论文提出的Relation network(RN)是用于关系推理(relational reasoning)的一个神经网络模块(NN module),能直接加载到已有的神经网络架构中。与 GNN 等网络结构相比,更为简单和灵活,即插可用(plug-and-play),在一些关系推理的测试上的准确率已经超过了人类。



Structure



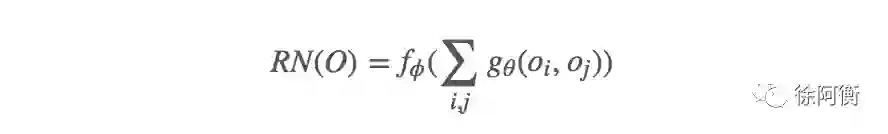
RN 的网络结构是真的很简单(不然也不会说是”simple neural network”),以至于通篇下面一个公式就可以概括,核心就是利用神经网络来找出任意 pairwise 对象之间的潜在关系。

  • Inputs:  

  • MLPs:  

  • : 使用一个全连接的神经网络来量化 o_i 和 o_j 的关系,任意两个对象之间的关系使用同一套参数

    : 考虑所有组合的关系,相当于考虑一个完全连接图,在这个图上计算各个边的权重,把重要的关系凸显出来,f 函数就计算了这个重要关系的集合

用在自然语言处理里,就是把每个句子当做一个对象,每个句子与句子的 pair 用 g 计算关系,再把所有关系加权和放到最终的预测网络里。

小结一下,RNs有以下三个特点:

  1. 可以学习推理。这里 RNs 计算了所有的两个对象之间的关系,当然也可以只计算部分两个对象之间的关系,这里的“部分”需要预定义

  2. 数据效率更高(data efficient)。RNs 使用一个 gθ 函数来计算所有的关系,任意两个对象之间的关系使用同一套参数,泛化能力更强

  3. 作用在一个集合上对输入和输出都是与顺序无关的(input/output invariation)



Tasks



简单提一下和 NLP 有关的任务。



VQA


RN 在 VQA 任务上的结构也很简单,CNN 处理图像,LSTM 编码 question,然后两两配对的 spatial cell(红蓝;黄红;蓝黄…)和 question embedding 拼接,后面接几个 FC 层,最后 softmax 得到某个 answer word。

Word-embedding: dim32; LSTM: dim128

: 4-layer MLP, dim256-256-256, RELU

: 3-layer MLP, dim256-256-29, RELU

: 综合所有组合 ,implicitly 提取有用的组合预测最终答案



bAbI


RN 在 bAbI 测试集上的结构,每个问题之前的最多 20个句子作为 support set,使用 LSTM-dim32 把 support set 连同每个句子在 set 里的相对位置编码转化为 RN 的 object set,同时使用另一个 LSTM-dim32 的 encoding state 表示问题。

: 4-layer MLP, dim256-256-256-256

: 3-layer MLP, dim 256-512-159

在 joint training 也就是 20 个任务一起训练一个 QA 模型的情况下,通过了 18/20 bAbI test。与 DNC 比较发现,DNC 在 path finding 任务上表现不错,但在 basic induction 上误差达到 55.1%,而 RN 达到了 2.1% 的误差水平。




OpenKG.CN


中文开放知识图谱(简称OpenKG.CN)旨在促进中文知识图谱数据的开放与互联,促进知识图谱和语义技术的普及和广泛应用。

点击阅读原文,进入 OpenKG 博客。

登录查看更多
14

相关内容

【ACL2020-密歇根州立大学】语言和视觉推理的跨模态关联
因果关联学习,Causal Relational Learning
专知会员服务
185+阅读 · 2020年4月21日
麻省理工学院MIT-ICLR2020《神经网络能推断出什么?》
专知会员服务
51+阅读 · 2020年2月19日
最新BERT相关论文清单,BERT-related Papers
专知会员服务
53+阅读 · 2019年9月29日
论文浅尝 | 时序与因果关系联合推理
开放知识图谱
36+阅读 · 2019年6月23日
论文浅尝 | 一种用于多关系问答的可解释推理网络
开放知识图谱
18+阅读 · 2019年5月21日
论文浅尝 | 用可微的逻辑规则学习完成知识库推理
开放知识图谱
14+阅读 · 2018年7月5日
论文浅尝 | 端到端神经视觉问答之上的显式推理
开放知识图谱
7+阅读 · 2018年6月28日
论文浅尝 | 基于神经网络的知识推理
开放知识图谱
14+阅读 · 2018年3月12日
论文解读 | 基于神经网络的知识推理
PaperWeekly
5+阅读 · 2018年3月8日
已删除
将门创投
3+阅读 · 2017年9月12日
揭秘 DeepMind 的关系推理网络
人工智能头条
3+阅读 · 2017年7月7日
Neural Module Networks for Reasoning over Text
Arxiv
9+阅读 · 2019年12月10日
Relational recurrent neural networks
Arxiv
8+阅读 · 2018年6月28日
Arxiv
5+阅读 · 2018年6月5日
Arxiv
10+阅读 · 2018年4月19日
Arxiv
8+阅读 · 2018年3月17日
VIP会员
相关VIP内容
相关资讯
论文浅尝 | 时序与因果关系联合推理
开放知识图谱
36+阅读 · 2019年6月23日
论文浅尝 | 一种用于多关系问答的可解释推理网络
开放知识图谱
18+阅读 · 2019年5月21日
论文浅尝 | 用可微的逻辑规则学习完成知识库推理
开放知识图谱
14+阅读 · 2018年7月5日
论文浅尝 | 端到端神经视觉问答之上的显式推理
开放知识图谱
7+阅读 · 2018年6月28日
论文浅尝 | 基于神经网络的知识推理
开放知识图谱
14+阅读 · 2018年3月12日
论文解读 | 基于神经网络的知识推理
PaperWeekly
5+阅读 · 2018年3月8日
已删除
将门创投
3+阅读 · 2017年9月12日
揭秘 DeepMind 的关系推理网络
人工智能头条
3+阅读 · 2017年7月7日
Top
微信扫码咨询专知VIP会员