基于概率论的分类方法:朴素贝叶斯

2017 年 11 月 9 日 Python开发者

(点击上方蓝字,快速关注我们)


来源:imze5z

segmentfault.com/a/1190000011168633

如有好文章投稿,请点击 → 这里了解详情


基于概率论的分类方法:朴素贝叶斯


1. 概述


贝叶斯分类是一类分类算法的总称,这类算法均以贝叶斯定理为基础,故统称为贝叶斯分类。本章首先介绍贝叶斯分类算法的基础——贝叶斯定理。最后,我们通过实例来讨论贝叶斯分类的中最简单的一种: 朴素贝叶斯分类。


2. 贝叶斯理论 & 条件概率


2.1 贝叶斯理论


我们现在有一个数据集,它由两类数据组成,数据分布如下图所示:


我们现在用 p1(x,y) 表示数据点 (x,y) 属于类别 1(图中用圆点表示的类别)的概率,用 p2(x,y) 表示数据点 (x,y) 属于类别 2(图中三角形表示的类别)的概率,那么对于一个新数据点 (x,y),可以用下面的规则来判断它的类别:


如果 p1(x,y) > p2(x,y) ,那么类别为1

如果 p2(x,y) > p1(x,y) ,那么类别为2


也就是说,我们会选择高概率对应的类别。这就是贝叶斯决策理论的核心思想,即选择具有最高概率的决策。


2.1.2 条件概率


如果你对 p(x,y|c1) 符号很熟悉,那么可以跳过本小节。


有一个装了 7 块石头的罐子,其中 3 块是白色的,4 块是黑色的。如果从罐子中随机取出一块石头,那么是白色石头的可能性是多少?由于取石头有 7 种可能,其中 3 种为白色,所以取出白色石头的概率为 3/7 。那么取到黑色石头的概率又是多少呢?很显然,是 4/7 。我们使用 P(white) 来表示取到白色石头的概率,其概率值可以通过白色石头数目除以总的石头数目来得到。



如果这 7 块石头如下图所示,放在两个桶中,那么上述概率应该如何计算?


计算 P(white) 或者 P(black) ,如果事先我们知道石头所在桶的信息是会改变结果的。这就是所谓的条件概率(conditional probablity)。假定计算的是从 B 桶取到白色石头的概率,这个概率可以记作 P(white|bucketB) ,我们称之为“在已知石头出自 B 桶的条件下,取出白色石头的概率”。很容易得到,P(white|bucketA) 值为 2/4 ,P(white|bucketB) 的值为 1/3 。


条件概率的计算公式如下:


P(white|bucketB) = P(white and bucketB) / P(bucketB)


首先,我们用 B 桶中白色石头的个数除以两个桶中总的石头数,得到 P(white and bucketB) = 1/7 .其次,由于 B 桶中有 3 块石头,而总石头数为 7 ,于是 P(bucketB) 就等于 3/7 。于是又 P(white|bucketB) = P(white and bucketB) / P(bucketB) = (1/7) / (3/7) = 1/3 。


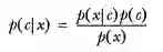
另外一种有效计算条件概率的方法称为贝叶斯准则。贝叶斯准则告诉我们如何交换条件概率中的条件与结果,即如果已知 P(x|c),要求 P(c|x),那么可以使用下面的计算方法:



使用条件概率来分类


上面我们提到贝叶斯决策理论要求计算两个概率 p1(x, y) 和 p2(x, y):


如果 p1(x, y) > p2(x, y), 那么属于类别 1;

如果 p2(x, y) > p1(X, y), 那么属于类别 2.


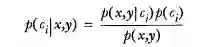
这并不是贝叶斯决策理论的所有内容。使用 p1() 和 p2() 只是为了尽可能简化描述,而真正需要计算和比较的是 p(c1|x, y) 和 p(c2|x, y) .这些符号所代表的具体意义是: 给定某个由 x、y 表示的数据点,那么该数据点来自类别 c1 的概率是多少?数据点来自类别 c2 的概率又是多少?注意这些概率与概率 p(x, y|c1) 并不一样,不过可以使用贝叶斯准则来交换概率中条件与结果。具体地,应用贝叶斯准则得到:



使用上面这些定义,可以定义贝叶斯分类准则为:


如果 P(c1|x, y) > P(c2|x, y), 那么属于类别 c1;

如果 P(c2|x, y) > P(c1|x, y), 那么属于类别 c2.


在文档分类中,整个文档(如一封电子邮件)是实例,而电子邮件中的某些元素则构成特征。我们可以观察文档中出现的词,并把每个词作为一个特征,而每个词的出现或者不出现作为该特征的值,这样得到的特征数目就会跟词汇表中的词的数目一样多。


我们假设特征之间 相互独立 。所谓 独立(independence) 指的是统计意义上的独立,即一个特征或者单词出现的可能性与它和其他单词相邻没有关系,比如说,“我们”中的“我”和“们”出现的概率与这两个字相邻没有任何关系。这个假设正是朴素贝叶斯分类器中 朴素(naive) 一词的含义。朴素贝叶斯分类器中的另一个假设是,每个特征同等重要。


Note: 朴素贝叶斯分类器通常有两种实现方式: 一种基于伯努利模型实现,一种基于多项式模型实现。这里采用前一种实现方式。该实现方式中并不考虑词在文档中出现的次数,只考虑出不出现,因此在这个意义上相当于假设词是等权重的。


2.2 朴素贝叶斯场景


机器学习的一个重要应用就是文档的自动分类。


在文档分类中,整个文档(如一封电子邮件)是实例,而电子邮件中的某些元素则构成特征。我们可以观察文档中出现的词,并把每个词作为一个特征,而每个词的出现或者不出现作为该特征的值,这样得到的特征数目就会跟词汇表中的词的数目一样多。


朴素贝叶斯是上面介绍的贝叶斯分类器的一个扩展,是用于文档分类的常用算法。下面我们会进行一些朴素贝叶斯分类的实践项目。


2.3 朴素贝叶斯 原理


朴素贝叶斯 工作原理


  • 提取所有文档中的词条并进行去重

  • 获取文档的所有类别

  • 计算每个类别中的文档数目

  • 对每篇训练文档:


对每个类别:

    如果词条出现在文档中-->增加该词条的计数值(for循环或者矩阵相加)

    增加所有词条的计数值(此类别下词条总数)


对每个类别:


对每个词条:

    将该词条的数目除以总词条数目得到的条件概率(P(词条|类别)


返回该文档属于每个类别的条件概率(P(类别|文档的所有词条))


2.4 朴素贝叶斯开发流程


收集数据: 可以使用任何方法。


准备数据: 需要数值型或者布尔型数据。


分析数据: 有大量特征时,绘制特征作用不大,此时使用直方图效果更好。


训练算法: 计算不同的独立特征的条件概率。


测试算法: 计算错误率。


使用算法: 一个常见的朴素贝叶斯应用是文档分类。可以在任意的分类场景中使用朴素贝叶斯分类器,不一定非要是文本。


2.5 朴素贝叶斯算法特点


优点: 在数据较少的情况下仍然有效,可以处理多类别问题。

缺点: 对于输入数据的准备方式较为敏感。

适用数据类型: 标称型数据。


2.6 朴素贝叶斯 项目案例


2.6.1 项目案例1


屏蔽社区留言板的侮辱性言论


2.6.1.1 项目概述


构建一个快速过滤器来屏蔽在线社区留言板上的侮辱性言论。如果某条留言使用了负面或者侮辱性的语言,那么就将该留言标识为内容不当。对此问题建立两个类别: 侮辱类和非侮辱类,使用 1 和 0 分别表示。


2.6.1.2 开发流程


收集数据: 可以使用任何方法


准备数据: 从文本中构建词向量


分析数据: 检查词条确保解析的正确性


训练算法: 从词向量计算概率


测试算法: 根据现实情况修改分类器


使用算法: 对社区留言板言论进行分类


收集数据: 可以使用任何方法


2.6.1.3 构造词表


def loadDataSet():

    """

    创建数据集

    :return: 单词列表postingList, 所属类别classVec

    """

    postingList = [['my', 'dog', 'has', 'flea', 'problems', 'help', 'please'], #[0,0,1,1,1......]

                   ['maybe', 'not', 'take', 'him', 'to', 'dog', 'park', 'stupid'],

                   ['my', 'dalmation', 'is', 'so', 'cute', 'I', 'love', 'him'],

                   ['stop', 'posting', 'stupid', 'worthless', 'garbage'],

                   ['mr', 'licks', 'ate', 'my', 'steak', 'how', 'to', 'stop', 'him'],

                   ['quit', 'buying', 'worthless', 'dog', 'food', 'stupid']]

    classVec = [0, 1, 0, 1, 0, 1]  # 1 is abusive, 0 not

    return postingList, classVec


2.6.1.4 准备数据: 从文本中构建词向量


def createVocabList(dataSet):

    """

    获取所有单词的集合

    :param dataSet: 数据集

    :return: 所有单词的集合(即不含重复元素的单词列表)

    """

    vocabSet = set([])  # create empty set

    for document in dataSet:

        # 操作符 | 用于求两个集合的并集

        vocabSet = vocabSet | set(document)  # union of the two sets

    return list(vocabSet)

 

 

def setOfWords2Vec(vocabList, inputSet):

    """

    遍历查看该单词是否出现,出现该单词则将该单词置1

    :param vocabList: 所有单词集合列表

    :param inputSet: 输入数据集

    :return: 匹配列表[0,1,0,1...],其中 1与0 表示词汇表中的单词是否出现在输入的数据集中

    """

    # 创建一个和词汇表等长的向量,并将其元素都设置为0

    returnVec = [0] * len(vocabList)# [0,0......]

    # 遍历文档中的所有单词,如果出现了词汇表中的单词,则将输出的文档向量中的对应值设为1

    for word in inputSet:

        if word in vocabList:

            returnVec[vocabList.index(word)] = 1

        else:

            print "the word: %s is not in my Vocabulary!" % word

    return returnVec


2.6.1.5 分析数据: 检查词条确保解析的正确性


检查函数执行情况,检查词表,不出现重复单词,需要的话,可以对其进行排序。


>>> listOPosts, listClasses = bayes.loadDataSet()

>>> myVocabList = bayes.createVocabList(listOPosts)

>>> myVocabList

['cute', 'love', 'help', 'garbage', 'quit', 'I', 'problems', 'is', 'park',

'stop', 'flea', 'dalmation', 'licks', 'food', 'not', 'him', 'buying', 'posting', 'has', 'worthless', 'ate', 'to', 'maybe', 'please', 'dog', 'how',

'stupid', 'so', 'take', 'mr', 'steak', 'my']


检查函数有效性。例如:myVocabList 中索引为 2 的元素是什么单词?应该是是 help 。该单词在第一篇文档中出现了,现在检查一下看看它是否出现在第四篇文档中。


>>> bayes.setOfWords2Vec(myVocabList, listOPosts[0])

[0, 0, 1, 0, 0, 0, 1, 0, 0, 0, 1, 0, 0, 0, 0, 0, 0, 0, 1, 0, 0, 0, 0, 1, 1, 0, 0, 0, 0, 0, 0, 1]

 

>>> bayes.setOfWords2Vec(myVocabList, listOPosts[3])

[0, 0, 0, 1, 0, 0, 0, 0, 0, 1, 0, 0, 0, 0, 0, 0, 0, 1, 0, 1, 0, 0, 0, 0, 0, 0, 1, 0, 0, 0, 0, 0]


2.6.1.6 训练算法: 从词向量计算概率


现在已经知道了一个词是否出现在一篇文档中,也知道该文档所属的类别。接下来我们重写贝叶斯准则,将之前的 x, y 替换为 w. 粗体的 w 表示这是一个向量,即它由多个值组成。在这个例子中,数值个数与词汇表中的词个数相同。



我们使用上述公式,对每个类计算该值,然后比较这两个概率值的大小。


首先可以通过类别 i (侮辱性留言或者非侮辱性留言)中的文档数除以总的文档数来计算概率 p(ci) 。接下来计算 p(w | ci) ,这里就要用到朴素贝叶斯假设。如果将 w 展开为一个个独立特征,那么就可以将上述概率写作 p(w0, w1, w2…wn | ci) 。这里假设所有词都互相独立,该假设也称作条件独立性假设(例如 A 和 B 两个人抛骰子,概率是互不影响的,也就是相互独立的,A 抛 2点的同时 B 抛 3 点的概率就是 1/6 * 1/6),它意味着可以使用 p(w0 | ci)p(w1 | ci)p(w2 | ci)…p(wn | ci) 来计算上述概率,这样就极大地简化了计算的过程。


2.6.1.7 朴素贝叶斯分类器训练函数


def _trainNB0(trainMatrix, trainCategory):

    """

    训练数据原版

    :param trainMatrix: 文件单词矩阵 [[1,0,1,1,1....],[],[]...]

    :param trainCategory: 文件对应的类别[0,1,1,0....],列表长度等于单词矩阵数,其中的1代表对应的文件是侮辱性文件,0代表不是侮辱性矩阵

    :return:

    """

    # 文件数

    numTrainDocs = len(trainMatrix)

    # 单词数

    numWords = len(trainMatrix[0])

    # 侮辱性文件的出现概率,即trainCategory中所有的1的个数,

    # 代表的就是多少个侮辱性文件,与文件的总数相除就得到了侮辱性文件的出现概率

    pAbusive = sum(trainCategory) / float(numTrainDocs)

    # 构造单词出现次数列表

    p0Num = zeros(numWords) # [0,0,0,.....]

    p1Num = zeros(numWords) # [0,0,0,.....]

 

    # 整个数据集单词出现总数

    p0Denom = 0.0

    p1Denom = 0.0

    for i in range(numTrainDocs):

        # 是否是侮辱性文件

        if trainCategory[i] == 1:

            # 如果是侮辱性文件,对侮辱性文件的向量进行加和

            p1Num += trainMatrix[i] #[0,1,1,....] + [0,1,1,....]->[0,2,2,...]

            # 对向量中的所有元素进行求和,也就是计算所有侮辱性文件中出现的单词总数

            p1Denom += sum(trainMatrix[i])

        else:

            p0Num += trainMatrix[i]

            p0Denom += sum(trainMatrix[i])

    # 类别1,即侮辱性文档的[P(F1|C1),P(F2|C1),P(F3|C1),P(F4|C1),P(F5|C1)....]列表

    # 即 在1类别下,每个单词出现的概率

    p1Vect = p1Num / p1Denom# [1,2,3,5]/90->[1/90,...]

    # 类别0,即正常文档的[P(F1|C0),P(F2|C0),P(F3|C0),P(F4|C0),P(F5|C0)....]列表

    # 即 在0类别下,每个单词出现的概率

    p0Vect = p0Num / p0Denom

    return p0Vect, p1Vect, pAbusive


2.6.1.8 测试算法: 根据现实情况修改分类器


http://www.cnblogs.com/apachecnxy/p/7471634.html


看完本文有收获?请转发分享给更多人

关注「大数据与机器学习文摘」,成为Top 1%

登录查看更多
8

相关内容

朴素贝叶斯法是基于贝叶斯定理与特征条件独立假设的分类方法。对于给定的训练数据集,首先基于“特征条件独立”的假设学习输入/输出的联合概率分布。然后基于此模型,对给定输入x,利用贝叶斯定理求后验概率最大的y。 朴素贝叶斯实现简单,学习与预测的效率都很高,是一种常用的方法。
【经典书】机器学习:贝叶斯和优化方法,1075页pdf
专知会员服务
414+阅读 · 2020年6月8日
【经典书】精通机器学习特征工程,中文版,178页pdf
专知会员服务
360+阅读 · 2020年2月15日
知识神经元网络 KNN(简介),12页pdf
专知会员服务
15+阅读 · 2019年12月25日
【斯坦福大学Chelsea Finn-NeurIPS 2019】贝叶斯元学习
专知会员服务
38+阅读 · 2019年12月17日
一文读懂机器学习中的贝叶斯统计学
数据分析
26+阅读 · 2019年5月8日
浅谈贝叶斯和MCMC
AI100
14+阅读 · 2018年6月11日
条件概率和贝叶斯公式 - 图解概率 03
遇见数学
10+阅读 · 2018年6月5日
一文读懂贝叶斯分类算法(附学习资源)
大数据文摘
12+阅读 · 2017年12月14日
独家 | 一文读懂贝叶斯分类算法(附学习资源)
数据派THU
7+阅读 · 2017年12月7日
朴素贝叶斯和贝叶斯网络算法及其R语言实现
R语言中文社区
10+阅读 · 2017年10月2日
从概率论到多分类问题:综述贝叶斯统计分类
机器之心
13+阅读 · 2017年9月28日
机器学习(13)之最大熵模型详解
机器学习算法与Python学习
7+阅读 · 2017年8月24日
详解基于朴素贝叶斯的情感分析及Python实现
AI研习社
9+阅读 · 2017年7月12日
Talking-Heads Attention
Arxiv
15+阅读 · 2020年3月5日
Arxiv
15+阅读 · 2019年6月25日
Knowledge Based Machine Reading Comprehension
Arxiv
4+阅读 · 2018年9月12日
VIP会员
相关VIP内容
相关资讯
一文读懂机器学习中的贝叶斯统计学
数据分析
26+阅读 · 2019年5月8日
浅谈贝叶斯和MCMC
AI100
14+阅读 · 2018年6月11日
条件概率和贝叶斯公式 - 图解概率 03
遇见数学
10+阅读 · 2018年6月5日
一文读懂贝叶斯分类算法(附学习资源)
大数据文摘
12+阅读 · 2017年12月14日
独家 | 一文读懂贝叶斯分类算法(附学习资源)
数据派THU
7+阅读 · 2017年12月7日
朴素贝叶斯和贝叶斯网络算法及其R语言实现
R语言中文社区
10+阅读 · 2017年10月2日
从概率论到多分类问题:综述贝叶斯统计分类
机器之心
13+阅读 · 2017年9月28日
机器学习(13)之最大熵模型详解
机器学习算法与Python学习
7+阅读 · 2017年8月24日
详解基于朴素贝叶斯的情感分析及Python实现
AI研习社
9+阅读 · 2017年7月12日
Top
微信扫码咨询专知VIP会员