强化学习基础 - 共轭梯度

2019 年 1 月 27 日 AI研习社

本文为 AI 研习社编译的技术博客,原标题 :

The base of deep reinforcement learning-Conjugate Gradient

作者 | Jonathan Hui

翻译 | 斯蒂芬•二狗子

校对 | 斯蒂芬•二狗子       审核| 酱番梨      整理 | 菠萝妹

原文链接:

https://medium.com/@jonathan_hui/rl-conjugate-gradient-5a644459137a

注:本文的相关链接请点击文末【阅读原文】进行访问


强化学习基础-共轭梯度

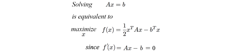
我们可以使用共轭梯度法(conjugate gradient)解线性方程或优化二次方程。并且,针对这两种问题,共轭梯度法比比梯度下降的效果更好。

其中矩阵A是对称正定矩阵

在线搜索方法中,我们确定上升的最陡方向,然后选择步长。举个例子,例如在梯度上升方法中, 我们采用的步长大小等于梯度乘以学习率。看下面左图, 根据梯度的轮廓(用点图圈成椭圆的部分),该点的最大梯度方向是向右的。对应当前点最陡的方向,下一点(迭代)的最陡方向可能是向上并略微偏左。如何我们这次梯度有点微微向左,那么不是给第一步(向右梯度)过程的作用取消了吗?

共轭梯度法是一种线性搜索方法,对于每次的移动,他不会撤销(影响)之前完成的部分。在优化二阶方程上,共轭梯度法比梯度下降需要更少的迭代步数。如果x是N维(N个参数),我们可以在最多N步迭代内找到最优值。因为对于每步移动,希望移动方向与之前的所有的移动方向保存共轭的关系。这一点保证了我们不会撤销所做的移动。简单说,若x是4维的向量,则需要最多4次移动就可以到达最优点。

Modified from source

  1. 在一个指定的方向做梯度上升

  2. 我们在这个方向的最佳点处停下来。

  3. 我们找到了一个新方向dj ,它与任何先前的移动方向 di 共轭。

从在数学上来讲,这表示任何新的方向dj 必须与所有 d(i)^TA 共轭,即  


其中A是二次方程的系数矩阵。下面是A共轭(A-conjugate)矩阵在二维空间中的例子。

这些A共轭向量相互之间是独立的。因此,N个A共轭向量可以张成一个N维空间。


该共轭梯度算法(CG)的关键是找到α 和 d。


  共轭梯度算法

让我先预览一下该算法。我们从一个随机数X(x0)开始猜测问题的解,并计算下一步X1(包括 α 和 d  )。

d 是下一步移动的方向(共轭向量)。
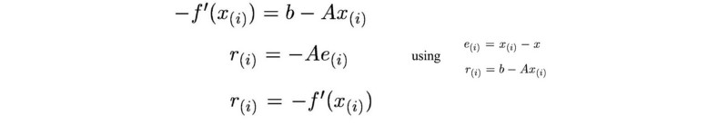
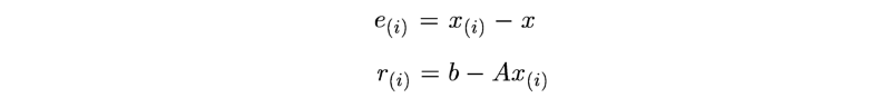
 让我们看看它的工作原理。首先,我们定义两项:

  • e 表示当前猜测点和最佳点之间的误差。

  • r 测量的是我们当前值与正确值b(Ax = b)的距离。我们可以把r看成将A投影到b所在空间后与b的误差 e(Ax距离b的距离)。

r,e分别定义为:

函数为

对函数求导

下一个点的计算为(其中α是标量,d是方向,是向量):

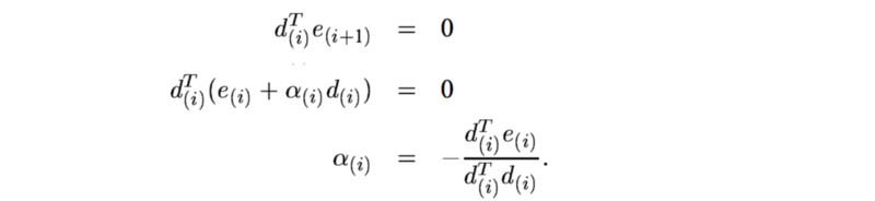
为了保证未来的移动方向不会削减之前移动所做的工作,让我尝试保证e 和 d 是相互正交。也就是,采取该步迭代后的残差应该与当前移动方向保持正交的关系。为了保证之后迭代动作不会消减我们刚刚做的工作,因此保持这种正交关系是有道理的。

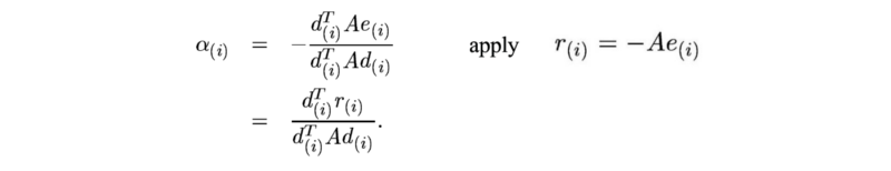
因此α取决于e,但我们不知道e的实际值是多少。所以使用其他方法代替正交,让我们尝试另一种猜测(估计方法)。也就是新的搜索方向应与前一个方向正交。 A-orthogonal的定义是:

为了满足这些条件,下一个迭代步的点 xi 必须是搜索方向d上的最佳点。

Modified from source

根据A正交要求时,α计算如下:

Modified from source

wikipedia上的证明:

这里不会完整证明。但有兴趣的人可以看看:

en.wikipedia.org/wiki/Derivation_of_the_conjugate_gradient_method



想要继续查看该篇文章相关链接和参考文献?

长按链接点击打开或点击底部【阅读原文】:

https://ai.yanxishe.com/page/TextTranslation/1428

【点击跳转】强化学习基础-对偶梯度上升


AI研习社每日更新精彩内容,观看更多精彩内容:

盘点图像分类的窍门

动态编程:二项式序列

如何用Keras来构建LSTM模型,并且调参

一文教你如何用PyTorch构建 Faster RCNN


等你来译:

如何在神经NLP处理中引用语义结构 

你睡着了吗?不如起来给你的睡眠分个类吧! 

高级DQNs:利用深度强化学习玩吃豆人游戏

深度强化学习新趋势:谷歌如何把好奇心引入强化学习智能体 


点击 阅读原文 查看本文更多内容

登录查看更多
2

相关内容

最新《自动微分手册》77页pdf
专知会员服务
103+阅读 · 2020年6月6日
《强化学习》简介小册,24页pdf
专知会员服务
280+阅读 · 2020年4月19日
【伯克利】再思考 Transformer中的Batch Normalization
专知会员服务
41+阅读 · 2020年3月21日
【综述】自动驾驶领域中的强化学习,附18页论文下载
专知会员服务
176+阅读 · 2020年2月8日
【强化学习】深度强化学习初学者指南
专知会员服务
184+阅读 · 2019年12月14日
强化学习扫盲贴:从Q-learning到DQN
夕小瑶的卖萌屋
52+阅读 · 2019年10月13日
介绍高维超参数调整 - 优化ML模型的最佳实践
AI研习社
7+阅读 · 2019年4月17日
面试时让你手推公式不在害怕 | 梯度下降
计算机视觉life
14+阅读 · 2019年3月27日
腊月廿八 | 强化学习-TRPO和PPO背后的数学
AI研习社
18+阅读 · 2019年2月2日
深度强化学习入门,这一篇就够了!
机器学习算法与Python学习
28+阅读 · 2018年8月17日
强化学习——蒙特卡洛方法介绍
论智
12+阅读 · 2018年6月3日
入门 | 通过 Q-learning 深入理解强化学习
机器之心
12+阅读 · 2018年4月17日
一文学习基于蒙特卡罗的强化学习方法(送书)
人工智能头条
7+阅读 · 2018年3月13日
【强化学习】强化学习/增强学习/再励学习介绍
产业智能官
10+阅读 · 2018年2月23日
【强化学习】强化学习+深度学习=人工智能
产业智能官
55+阅读 · 2017年8月11日
The Matrix Calculus You Need For Deep Learning
Arxiv
12+阅读 · 2018年7月2日
Relational Deep Reinforcement Learning
Arxiv
10+阅读 · 2018年6月28日
A Multi-Objective Deep Reinforcement Learning Framework
Arxiv
11+阅读 · 2018年4月25日
Arxiv
5+阅读 · 2018年4月22日
VIP会员
相关VIP内容
最新《自动微分手册》77页pdf
专知会员服务
103+阅读 · 2020年6月6日
《强化学习》简介小册,24页pdf
专知会员服务
280+阅读 · 2020年4月19日
【伯克利】再思考 Transformer中的Batch Normalization
专知会员服务
41+阅读 · 2020年3月21日
【综述】自动驾驶领域中的强化学习,附18页论文下载
专知会员服务
176+阅读 · 2020年2月8日
【强化学习】深度强化学习初学者指南
专知会员服务
184+阅读 · 2019年12月14日
相关资讯
强化学习扫盲贴:从Q-learning到DQN
夕小瑶的卖萌屋
52+阅读 · 2019年10月13日
介绍高维超参数调整 - 优化ML模型的最佳实践
AI研习社
7+阅读 · 2019年4月17日
面试时让你手推公式不在害怕 | 梯度下降
计算机视觉life
14+阅读 · 2019年3月27日
腊月廿八 | 强化学习-TRPO和PPO背后的数学
AI研习社
18+阅读 · 2019年2月2日
深度强化学习入门,这一篇就够了!
机器学习算法与Python学习
28+阅读 · 2018年8月17日
强化学习——蒙特卡洛方法介绍
论智
12+阅读 · 2018年6月3日
入门 | 通过 Q-learning 深入理解强化学习
机器之心
12+阅读 · 2018年4月17日
一文学习基于蒙特卡罗的强化学习方法(送书)
人工智能头条
7+阅读 · 2018年3月13日
【强化学习】强化学习/增强学习/再励学习介绍
产业智能官
10+阅读 · 2018年2月23日
【强化学习】强化学习+深度学习=人工智能
产业智能官
55+阅读 · 2017年8月11日
Top
微信扫码咨询专知VIP会员