强化学习扫盲贴:从Q-learning到DQN

2019 年 10 月 13 日 夕小瑶的卖萌屋

本文转载自知乎专栏「机器学习笔记」,原文作者「余帅」,链接
https://zhuanlan.zhihu.com/p/35882937

1 本文学习目标

1. 复习Q-Learning;
2. 理解什么是值函数近似(Function Approximation);
3. 理解什么是DQN,弄清它和Q-Learning的区别是什么。

2 用Q-Learning解决经典迷宫问题


现有一个5房间的房子,如图1所示,房间与房间之间通过门连接,编号0到4,5号是房子外边,即我们的终点。我们将agent随机放在任一房间内,每打开一个房门返回一个reward。图2为房间之间的抽象关系图,箭头表示agent可以从该房间转移到与之相连的房间,箭头上的数字代表reward值。



图1 房子原型图



图2 抽象关系图


根据此关系,可以得到reward矩阵为



Q-Learning是一种off-policy TD方法,伪代码如图所示


Q-Learning伪代码


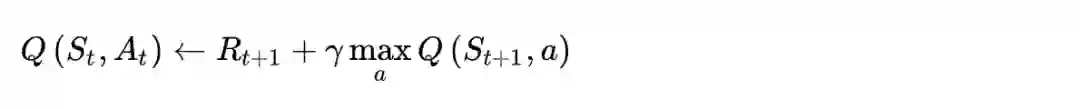
我们首先会初始化一个Q表,用于记录状态-动作对的值,每个episode中的每一步都会根据下列公式更新一次Q表

这里的迷宫问题,每一次episode的结束指的是到达终点状态5。为了简单起见,这里将学习率设为1,更新公式变为


另外,将衰减系数γ设为0.8。Q表初始化为一个5×5的全0矩阵。每次这样更新,最终Q表会收敛到一个矩阵。


最终Q表收敛为



因此,也可以得到最优路径如下红色箭头所示



Python代码:

import numpy as np
GAMMA = 0.8
Q = np.zeros((6,6))
R=np.asarray([[-1,-1,-1,-1,0,-1],
[-1,-1,-1,0,-1,100],
[-1,-1,-1,0,-1,-1],
[-1,0, 0, -1,0,-1],
[0,-1,-1,0,-1,100],
[-1,0,-1,-1,0,100]])
def getMaxQ(state):
return max(Q[state, :])
def QLearning(state):
curAction = None
for action in range(6):
if(R[state][action] == -1):
Q[state, action]=0
else:
curAction = action
Q[state,action]=R[state][action]+GAMMA * getMaxQ(curAction)
count=0
while count<1000:
for i in range(6):
QLearning(i)
count+=1
print(Q/5)

Q-Learning方法很好的解决了这个迷宫问题,但是这终究只是一个小问题(状态空间和动作空间都很小),实际情况下,大部分问题都是有巨大的状态空间或者动作空间,想建立一个Q表,内存是绝对不允许的,而且数据量和时间开销也是个问题。


3 值函数近似与DQN


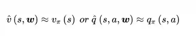
值函数近似(Function Approximation)的方法就是为了解决状态空间过大,也称为“维度灾难”的问题。通过用函数而不是Q表来表示 ,这个函数可以是线性的也可以使非线性的。


其中ω称为“权重”。那怎么把这个权重求出来,即拟合出这样一个合适的函数呢?这里就要结合机器学习算法里的一些有监督学习算法,对输入的状态提取特征作为输入,通过MC/TD计算出值函数作为输出,然后对函数参数 进行训练,直到收敛。这里主要说的是回归算法,比如线性回归、决策树、神经网络等。


这里,就可以引入DQN(Deep Q-Network)了,实际上它就是Q-Learning和神经网络的结合,将Q-Learning的Q表变成了Q-Network。


好,现在关键问题来了。这么去训练这个网络呢?换句话说,怎么去确定网络参ω呢?第一,我们需要一个Loss Function;第二,我们需要足够的训练样本。


训练样本好说,通过epsilon-greedy策略去生成就好。回忆一下Q-Learning,我们更新Q表是利用每步的reward和当前Q表来迭代的。那么我们可以用这个计算出来的Q值作为监督学习的“标签”来设计Loss Function,我们采用如下形式,即近似值和真实值的均方差

采用随机梯度下降法(SGD)来迭代求解,得到我们想要的,具体公式和过程还请看参考资料,这里不展开了,其实就是求导啦。值得一提的是,上述公式中的q(·)根据不同方法算出来,其形式不一样,比如利用MC,则为(回报);利用TD(0),则为

Q-Learning呢,就是


在David Silver的课里,他根据每次更新所参与样本量的不同把更新方法分为增量法(Incremental Methods)和批处理法(Batch Methods)。前者是来一个数据就更新一次,后者是先攒一堆样本,再从中采样一部分拿来更新Q网络,称之为“经验回放”,实际上DeepMind提出的DQN就是采用了经验回放的方法。为什么要采用经验回放的方法?因为对神经网络进行训练时,假设样本是独立同分布的。而通过强化学习采集到的数据之间存在着关联性,利用这些数据进行顺序训练,神经网络当然不稳定。经验回放可以打破数据间的关联。


最后附上DQN的伪代码



学到这里,其实可以做一个阶段性总结了,强化学习算法的基本框架可以用下图概括


参考文献

[1]Reinforcement Learning: An Introduction - Chapter 9: On-policy Prediction with Approximation
[2]Reinforcement Learning: An Introduction - Chapter 10: On-policy Control with Approximation
[3]David Silver’s RL Course Lecture 6 - Value Function Approximation (video, slides)
[4]DQN从入门到放弃5 深度解读DQN算法
[5]一条咸鱼的强化学习之路6之值函数近似(Value Function Approximation)和DQN

登录查看更多
52

相关内容

《强化学习》简介小册,24页pdf
专知会员服务
278+阅读 · 2020年4月19日
深度强化学习策略梯度教程,53页ppt
专知会员服务
184+阅读 · 2020年2月1日
【强化学习资源集合】Awesome Reinforcement Learning
专知会员服务
98+阅读 · 2019年12月23日
【强化学习】深度强化学习初学者指南
专知会员服务
184+阅读 · 2019年12月14日
RL 真经
CreateAMind
5+阅读 · 2018年12月28日
论强化学习的根本缺陷
AI科技评论
11+阅读 · 2018年7月24日
【干货】强化学习介绍
人工智能学家
13+阅读 · 2018年6月24日
入门 | 通过 Q-learning 深入理解强化学习
机器之心
12+阅读 · 2018年4月17日
一个强化学习 Q-learning 算法的简明教程
数据挖掘入门与实战
10+阅读 · 2018年3月18日
【强化学习】强化学习/增强学习/再励学习介绍
产业智能官
10+阅读 · 2018年2月23日
【强化学习】强化学习+深度学习=人工智能
产业智能官
55+阅读 · 2017年8月11日
强化学习 cartpole_a3c
CreateAMind
9+阅读 · 2017年7月21日
Arxiv
7+阅读 · 2018年12月26日
Logically-Constrained Reinforcement Learning
Arxiv
3+阅读 · 2018年12月6日
Deep Reinforcement Learning: An Overview
Arxiv
17+阅读 · 2018年11月26日
Hierarchical Deep Multiagent Reinforcement Learning
Arxiv
8+阅读 · 2018年9月25日
Multi-task Deep Reinforcement Learning with PopArt
Arxiv
4+阅读 · 2018年9月12日
Relational Deep Reinforcement Learning
Arxiv
10+阅读 · 2018年6月28日
A Multi-Objective Deep Reinforcement Learning Framework
Arxiv
11+阅读 · 2018年4月25日
VIP会员
相关资讯
RL 真经
CreateAMind
5+阅读 · 2018年12月28日
论强化学习的根本缺陷
AI科技评论
11+阅读 · 2018年7月24日
【干货】强化学习介绍
人工智能学家
13+阅读 · 2018年6月24日
入门 | 通过 Q-learning 深入理解强化学习
机器之心
12+阅读 · 2018年4月17日
一个强化学习 Q-learning 算法的简明教程
数据挖掘入门与实战
10+阅读 · 2018年3月18日
【强化学习】强化学习/增强学习/再励学习介绍
产业智能官
10+阅读 · 2018年2月23日
【强化学习】强化学习+深度学习=人工智能
产业智能官
55+阅读 · 2017年8月11日
强化学习 cartpole_a3c
CreateAMind
9+阅读 · 2017年7月21日
相关论文
Arxiv
7+阅读 · 2018年12月26日
Logically-Constrained Reinforcement Learning
Arxiv
3+阅读 · 2018年12月6日
Deep Reinforcement Learning: An Overview
Arxiv
17+阅读 · 2018年11月26日
Hierarchical Deep Multiagent Reinforcement Learning
Arxiv
8+阅读 · 2018年9月25日
Multi-task Deep Reinforcement Learning with PopArt
Arxiv
4+阅读 · 2018年9月12日
Relational Deep Reinforcement Learning
Arxiv
10+阅读 · 2018年6月28日
A Multi-Objective Deep Reinforcement Learning Framework
Arxiv
11+阅读 · 2018年4月25日
Top
微信扫码咨询专知VIP会员