【GCN】在NLP中应用GCN的几种构图方法整理

2020 年 4 月 23 日 深度学习自然语言处理

作者:Carrie

GCN 的兴起为许多NLP问题的解决提供了新的思路。通过句法依赖树构建图结构,基于此通过GCN进行NLP问题的解决已经得到了广泛应用。那么除此之外,还有哪些方法可以用于在文本中建立图结构从而使用GCN呢?

小编整理了如下几篇,分别是通过TF-IDFPMI序列关系词典 等信息进行构图的顶会论文,希望能够拓展对GCN的应用思路( ఠൠఠ )ノ

AAAI2019: Graph Convolutional Networks for Text Classification

  • 论文地址: https://github.com/kuoluo1995/text-classification

本文通过GCN进行文本分类,将 words 和 documents 作为构图中的节点,通过word在document中的TF-IDF值构建 word-document edge, 通过PMI计算word-word edge的权重。

  • PMI计算:

其中, 表示所有划动窗口的数量, 表示所有含有 划动窗口的数量,  表示同时含有   和   两个词窗口的数量。其中, PMI值为正,说明语义相关性较高,为负,则说明语义相关性较少甚至没有。

  • 总体来说,本文构图方法如下:

EMNLP2018:  Text Level Graph Neural Network for Text Classification

  • 论文链接: https://www.aclweb.org/anthology/D19-1345/

  • 节点: 将文本中所有的words作为图中的节点

  • 边: 在相邻的words之间构建一条边

AAAI2020: Tensor Graph Convolutional Networks for Text Classification

  • 论文链接:https://arxiv.org/abs/2001.05313

本文构建了三种图进行建模(不考虑virtual graph),图中的节点由wordsdocuments组成,并通过TF-IDF值构建 word 与 document 之间的边;对于word-word edge,不同的图中有不同的构建方法:

  • Semantic-based graph: 通过LSTM得到每个word的表示,通过 余弦相似性计算两个word间的语义相似性, 如果语义相似性达到一定的阈值,则认为两words之间存在语义关系;对于存在语义关系的words, 将通过如下方法计算他们之间的边权值:
  • Syntactic-based graph: 根据句法依赖解析关系构建words之间的边,并通过如下方式计算边权重:
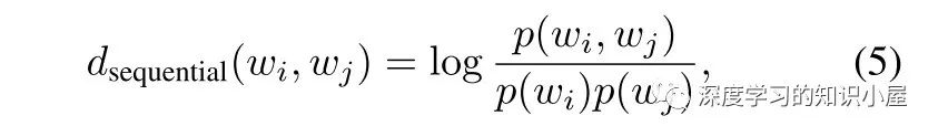
  • Sequential-based Graph: 序列上下文信息描述了词语之间的共现信息,序列图中边权重通过PMI来计算:

EMNLP2019: A Lexicon-Based Graph Neural Network for Chinese NER

  • 论文链接: https://www.aclweb.org/anthology/D19-1396.pdf

  • 每个句子被转化为一个有向图

  • 每个字符被作为图中的一个节点, 在每个lexicon word的第一个和最后一个字符间构建一条边, 每条边代表了潜在的可能存在词语(即lexicon word)的特征

  • 构建一个全局的中继节点,它与图中的每个边和点都相连, 用来汇聚所有边和点的信息,从而消除词语之间的边界模糊;

  • 由于全局中继节点的存在,图中任意两个不邻接的节点之间都是彼此的二阶邻居,可以通过两次节点更新来接收彼此的非局部的信息;

  • 另外,对以上的图结构进行转置得到一个所有边都反向后的反向图,将反向图与原图中得到的字符表示进行拼接,作为最终的字符表示;

EMNLP2019: Leverage Lexical Knowledge for Chinese NER via Collaborative Graph Network

  • 论文地址: https://www.aclweb.org/anthology/D19-1396.pdf

本文构建了如下三种图:

  • Containing-Graph(C-Graph):

    • 目的: 辅助字符去捕捉对应self-matched lexicon word的 语义信息和边界信息
    • 点集: 句子中的字符和 lexicon words
    • 构图如下:
  • Transition-Graph(T-Graph)

    • 目的: 捕捉字符最近上下文的语义信息
    • 点集: 句子中的字符和 lexicon words
    • 构图如下: 建立 lexicon words 与 字符 间 和 lexion words间 的转移关系图
  • Lattice-Graph(L-Graph)

    • 目的: 融合 lexicon knolwedge, 且将 Lattice 的 LSTM 结构转变为了图结构;
    • 点集: 句子中的字符和 lexicon words
    • 构图如下:

ACL2019: A Neural Multi-digraph Model for Chinese NER with Gazetteers

  • 论文地址: https://www.aclweb.org/anthology/P19-1141.pdf

本文提出,希望通过Gazetteer信息提高NER的性能,因此设计了一种多维图来完成NER任务。这里介绍一下作者的构图方法,具体多维图的设计可参考论文中~

  • 构图方法:
    • 节点: 预料中的每个字符作为一个节点;同时,根据 gazetteer 提供的 entity type 信息,引入标识类型的节点, 例如
    • 构图: 首先, 相邻的字符间构建一条有向边;然后,根据 entity 所匹配的实体,在 节点类型点与对应entity的起始字符节点和结尾字符节点间建立连边。例如,根据gazetteers认为由字符 组成的 张三一词是 PER2类型的实体,则构建如下边: , , , 其中 是表示 起始和终止的节点。

交流学习,进群备注: 昵称-学校(公司)-方向,进入DL&NLP交流群。
方向有很多: 机器学习、深度学习,python,情感分析、意见挖掘、句法分析、机器翻译、人机对话、知识图谱、语音识别等
广告商、博主勿入!

登录查看更多
7

相关内容

图卷积网络(简称GCN),由Thomas Kpif于2017年在论文Semi-supervised classification with graph convolutional networks中提出。它为图(graph)结构数据的处理提供了一个崭新的思路,将深度学习中常用于图像的卷积神经网络应用到图数据上。

知识荟萃

精品入门和进阶教程、论文和代码整理等

更多

查看相关VIP内容、论文、资讯等
图卷积神经网络蒸馏知识,Distillating Knowledge from GCN
专知会员服务
96+阅读 · 2020年3月25日
近期必读的5篇 WSDM 2020【图神经网络(GNN)】相关论文
专知会员服务
57+阅读 · 2020年1月10日
必读的7篇IJCAI 2019【图神经网络(GNN)】相关论文-Part2
专知会员服务
62+阅读 · 2020年1月10日
五篇 ICCV 2019 的【图神经网络(GNN)+CV】相关论文
专知会员服务
15+阅读 · 2020年1月9日
六篇 EMNLP 2019【图神经网络(GNN)+NLP】相关论文
专知会员服务
72+阅读 · 2019年11月3日
一文读懂图卷积GCN
计算机视觉life
21+阅读 · 2019年12月21日
图卷积神经网络(GCN)文本分类详述
专知
280+阅读 · 2019年4月5日
图神经网络综述:方法及应用 | Deep Reading
AI100
36+阅读 · 2019年3月17日
【长篇干货】深度学习在文本分类中的应用
七月在线实验室
27+阅读 · 2018年4月4日
论文报告 | Graph-based Neural Multi-Document Summarization
科技创新与创业
15+阅读 · 2017年12月15日
深度学习在 NLP 上的七大应用
AI前线
3+阅读 · 2017年10月11日
Tutorial on NLP-Inspired Network Embedding
Arxiv
7+阅读 · 2019年10月16日
Signed Graph Attention Networks
Arxiv
7+阅读 · 2019年9月5日
Arxiv
11+阅读 · 2018年10月17日
Arxiv
22+阅读 · 2018年8月30日
Arxiv
26+阅读 · 2018年2月27日
Arxiv
10+阅读 · 2018年2月4日
VIP会员
相关资讯
一文读懂图卷积GCN
计算机视觉life
21+阅读 · 2019年12月21日
图卷积神经网络(GCN)文本分类详述
专知
280+阅读 · 2019年4月5日
图神经网络综述:方法及应用 | Deep Reading
AI100
36+阅读 · 2019年3月17日
【长篇干货】深度学习在文本分类中的应用
七月在线实验室
27+阅读 · 2018年4月4日
论文报告 | Graph-based Neural Multi-Document Summarization
科技创新与创业
15+阅读 · 2017年12月15日
深度学习在 NLP 上的七大应用
AI前线
3+阅读 · 2017年10月11日
相关论文
Tutorial on NLP-Inspired Network Embedding
Arxiv
7+阅读 · 2019年10月16日
Signed Graph Attention Networks
Arxiv
7+阅读 · 2019年9月5日
Arxiv
11+阅读 · 2018年10月17日
Arxiv
22+阅读 · 2018年8月30日
Arxiv
26+阅读 · 2018年2月27日
Arxiv
10+阅读 · 2018年2月4日
Top
微信扫码咨询专知VIP会员