CVPR2018:基于时空模型无监督迁移学习的行人重识别

2018 年 3 月 26 日 全球人工智能

高薪招聘兼职AI讲师和AI助教!


本文为你解读CVPR2018 TFusion

  • 解决的目标是跨数据集的Person Reid

  • 属于无监督学习

  • 方法是多模态数据融合 + 迁移学习

  • 实验效果上,超越了所有无监督Person reid方法,逼近有监督方法,在部分数据集上甚至超越有监督方法

一、Task

行人重识别(Person Re-identification)是一个图像检索问题,给定一组图片集(probe),对于probe中的每张图片,从候选图片集(gallery)中找到最可能属于同一个行人的图片。

行人重识别数据集是由一系列监控摄像头拍摄得到,并用检测算法将行人抠出,做行人的匹配。在这些数据集中,人脸是十分模糊的,无法作为匹配特征,而且由于多个摄像头拍摄视角不同,同个人可能被拍到正面,侧面,背面,具有不同的视觉特征,因此是一个比较难的图像匹配问题。常用数据集有很多,可以在这个网站查到。


二、Related Work

行人重识别问题有以下几种常见的解决方案:

1、基于视觉的行人重识别

这类方法通常提取行人图像特征,对特征进行距离度量,从而判断是否是同一个人。

2、有监督学习

这类方法通常需要提供行人图片和行人id标签(person1,person2等),训练模型,提取图像特征,根据两张图特征的距离大小(可以用余弦距离,欧氏距离之类的计算),为probe中的每张图和gallery中的每张图计算其相似度,根据相似度将gallery中的图片排序,排序越高越可能为同一个人。

这方面的论文代表有TOMM2017: A Discriminatively Learned CNN Embedding for Person Re-identification,我们采用的基础图像分类器就是基于这篇论文用Keras实现的,后面细讲。


3、无监督学习

在CVPR2018之前,Person Reid领域正式发表的无监督工作只有CVPR2016的UMDL:Unsupervised Cross-Dataset Transfer Learning for Person Re-identification,基于字典学习方法,在多个源数据集上学习跨数据集不变性字典,迁移到目标数据集上。然而准确率依然很低。


4、结合摄像头拓扑的行人重识别

行人图片是摄像头拍到的,摄像头之间有一定的距离,行人的移动有一定的速度限制,因此行人在摄像头间的移动时间就会呈现出一定规律,比如,AB摄像头间有10米,人行走速度2m/s,如果AB摄像头在1s内捕捉到了两张图片,则这两张图片不可能是同一个人的,因此我们可以利用摄像头拓扑约束来提升行人重识别的准确率。

然而,这类方法往往有以下缺陷:

  • 有些方法需要预先知道摄像头拓扑(AB摄像头之间的距离)

  • 有些方法可以根据拍摄到的图像数据推断出摄像头拓扑,但是需要图像有标注(是否是同一个人)

  • 即使推断出摄像头拓扑,与图像的融合结果依然很差


5、迁移学习

迁移学习现在是深度学习领域很常用的一个套路了,在源数据集上预训练,在目标数据集上微调,从而使得源数据集上的模型能够适应目标场景。这方面的论文代表有前面讲的UMDL,和Deep transfer learning person re-identification,然而,目前的迁移学习大多需要标签,而无监督迁移学习效果又很差,仍然有很大提升空间。

更多关于Person Reid的内容可以看一下我在博客写的几篇调研


三、Motivation

  • 现有的行人重识别数据集中是否包含时空信息?包含的话是否存在时空规律?

  • 缺乏两个时空点是否属于同一行人这种标签时,如何挖掘时空信息,构建时空模型?

  • 如何融合两个弱分类器?有监督的融合有boosting算法可以用,无监督呢?

  • 在缺乏标签的条件下,如何进行有效的迁移学习?


对应有三个创新点

  • 无监督的时空模型构建

  • 基于贝叶斯推断的时空图像模型融合

  • 基于Learning to Rank的迁移学习


接下来详细解析我们的方法。


四、时空模型

数据集中的时空规律

所谓时空模型,即一个摄像头网络中,行人在给定两个摄像头间迁移时间的分布。

我们看遍所有Reid数据集,发现有三个数据集有时空信息,Market1501, GRID, DukeMTMC4ReID,其中,DukeMTMC-ReID是2017年后半年才出来的,时间比较仓促在论文中就没有包含跟它相关的实验。Market1501是一个比较大的Person Reid数据集,GRID是一个比较小的Person Reid数据集,并且都有六个摄像头(GRID中虽然介绍了8个摄像头,实际上只有6个摄像头的数据)。

例如,Marke1501中一张图片的时空信息是写在图片名字中的:

  • 0007代表person id,

  • c3代表是在3号摄像头拍到的,也就是空间信息,

  • s3代表属于第3个时间序列(GRID和DukeMTMC中没有这个序列的信息,在Market1501中,不同序列的属于不同起始时间的视频,同一系列不同摄像头的视频起始时间相近),

  • 077419为帧号,也就是时间信息。


我想吐槽的是,其实时空信息是非常容易保存的,只要知道图片是在什么时候,哪台摄像机上拍摄,就能够将时空信息记录并有效利用起来,希望多模态数据融合得到更多重视之后,做数据集的人能够更加重视可保存的信息吧。


我们首先通过Market1501中的真实行人标签,计算训练集中所有图片对对应的时空点对对应的迁移时间,这里可视化了从摄像头1出发的行人,到达其他摄像头需要的时间的分布。



可以看到,到达不同目标摄像头的峰值位置不同,其中从摄像头1到摄像头1,意味着被单个摄像头拍到连续多帧,所以峰值集中在0附近,从摄像头1到摄像头2,峰值集中在-600附近,意味着大部分人是单向从摄像头2运动到摄像头1,等等,并且,说明这个数据集中存在显著可利用的时空规律。


无监督的时空模型构造

我们将迁移时间差命名为delta,这样说起来方便一点。

如果我们能够统计一个数据集中的所有delta,给定一个新的delta(两个新的图片对应的两个时空点算出来的),我们能够用极大似然估计,用在这个delta前后一定范围(比如100帧)的delta的出现频率(=目标范围delta数量/总的delta数量),作为新时间差出现的概率,也就是两个时空点是同一人产生的概率。

但是!问题是我们在目标场景上往往是没有行人标记数据的!


于是我们就思考,

  • 我们能不能根据两个时空点对应的两张图是否属于同一个人,来决定两个时空点是否属于同一个人?

  • 而两张图是否属于同一个人,其实是一个图像匹配的二分类问题,我们可以用一些视觉模型来做,

  • 但是这种视觉模型往往是需要有标签训练的,无标签的视觉模型往往比较弱

  • 视觉模型弱没关系!我们相信跟时空模型结合就能变成一个强大的分类器!要有信仰!

  • 只要我们能无监督地把时空模型构造出来,结合弱的图像分类器,因为加了时空信息,一定能吊打其他无监督模型!


思路有了,实现就很自然了,

  • 我们先在其他数据集上(于是我们就可以说这是一个跨数据集的任务了)预训练一个卷积神经网络,

  • 然后用这个卷积神经网络去目标数据集上提特征,

  • 用余弦距离算特征相似度

  • 将相似度排在前十的当做同一个人

  • 用这种“同一个人”的信息+极大似然估计构造时空模型


图像分类器上,我们这里用的是LiangZheng的Siamese网络,他们的源码是用MATLAB实现的,我用Keras复现了一把:

时空模型的极大似然估计可以看这里


聪明的读者应该会注意到,这个图像分类器是在其他数据及上预训练的,由于特征空间中数据分布不同,这个图像分类器太弱了,对于目标数据集来说,前十里会有许多错的样本,导致构造出来的时空模型和真实的时空模型有偏差



可以看到,构造的模型跟真实的模型还是有些差别的,但是峰值位置还是差不多,一定程度上应该还能用,但我们还是希望构造的模型尽量接近真实模型的。


于是我们开始思考

  • 导致模型出现偏差的因素是什么?是错误的样本对

  • 如何去掉错误样本对的影响?我们能不能把错误的样本对分离出来?没有标签咋办?

  • (灵光一闪)错误的样本不就跟我瞎选的差不多?那我是不是可以随机地选样本对,算一个随机的delta分布出来

  • 将估算的delta分布去掉随机的delta分布,剩下的多出来的部分,就是由于正确的行人迁移产生的,不就得到真实的delta分布了?


于是我们可视化了一下随机的delta分布


可以发现,

  • 确实与估计模型和真实模型不同

  • 存在较多抖动

这种随机的时间差分布也呈现出一定的集中趋势,其实体现的是采样的时间差分布,如,在1号摄像头采的图片大多在某个时间段,2号摄像头也大多在这个时间段采,但3号摄像头的图片大多是在其他时间段采到的。

考虑到时间差的频率图有这么多的抖动,我们在计算某个区域的时间差时,加上了均值滤波,并且做了一定区域的截断,包括概率极小值重置为一个最小概率值,时间差极大值重置为一个最大时间差。

接下来,应该怎么把错误的模型从估计的模型滤掉呢?又怎么将时空模型和图像模型结合呢?


首先看时空模型和图像模型的融合, 我们有一个视觉相似度,一个时空概率一个直观的想法是,联合评分可以是,如果要再抑制随机的评分Prandom,可以做个除法,就是


这样一看,像不像条件概率公式?于是我们开始推导(大量公式预警):


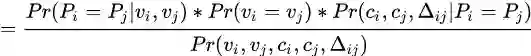
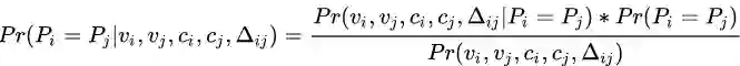
先看看我们手上的资源:现在我们有一个弱的图像分类器,可以为两张图片提取两个视觉特征vi, vj, 有两个时空点,空间特征为两个摄像头编号ci, cj,时间特征为两张图片拍摄的时间差∆ij,假定两张图对应的person id分别为Pi, Pj,那么我们的目标就是求,在给定这些特征的条件下,两张图属于同一个人的概率

(论文公式6)


由条件概率公式,可得


由时空分布和图像分布的独立性假设(长得像的人运动规律不一定像),我们可以拆解第一项,得到



其中是一个不好求的项,我们试着把它换掉,先交换顺序(乘法交换律)


由条件概率公式可得


可以看到

可理解为两张图从视觉特征相似度上判定为同一人的概率

就是两个时空点是同一个人移动产生的概率


再次利用时空分布和图像分布的独立性假设,拆解分母


约掉


也就是

= 视觉相似度*同一人产生这种移动的概率/任意两个时空点组成这种移动的概率

这也就是论文公式(7),也就是我们一开始的猜想:


看着好像很接近我们手头掌握的资源了,但是,

  • 我们并不知道理想的两张图的视觉相似度

只有我们的图像分类器判定的两张图的视觉相似度

  • 我们并不能计算同一人产生这种移动的真实概率

我们并不能计算同一人产生这种移动的真实概率

  • 我们倒是确实有数据集中任意两个时空点产生这种移动的概率P(ci,cj,∆ij)


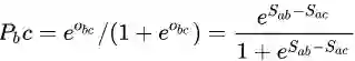
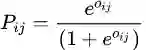
于是我们想用去近似,得到

看到这里其实就大致理解我们的融合原理了,实际上我们大部分实验也是用的这个近似公式算的。


实现上,先模拟两个时空模型,计算图像相似度,然后代入公式求融合评分,具体可以实现看我GitHub

但这个近似能不能做呢?我们来做一下误差分析(大量推导,不感兴趣可以跳到接下来出现的第二张图,不影响后面的理解,只是分析一波会更加严谨)。


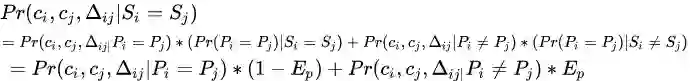
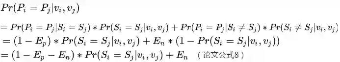
实际上,误差是由图像分类器引入的,假设图像分类器判定两张图是同一个人的错判率为Ep,图像分类器判定两张图不是同一人的错判率为En,

则有,

(论文公式1、2)


的关系可以表示为


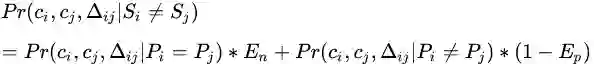
推导,Pr(ci,cj,∆ij|Pi=Pj) 和Pr(ci,cj,∆ij|Si=Sj) 的关系(这个没法像视觉相似度那样直接推导,因为因果关系不同)


同样可以得到


联立上面两个式子解方程,消掉可以得到

(论文公式5)


其中有个新概念Pr(ci,cj,∆ij|Si≠Sj) ,意味着图像分类器认为不是同一个人的时候,这种时空点出现的概率,实现上也不难,统计视觉相似度top10以后的点对应的时间差,作为反时空概率模型即可。

我们把两个近似(公式5和公式8)代进公式7,

可以得到

(论文公式9)


其中,

,视觉相识度

,正时空概率模型

,反时空概率模型

分母为为随机概率模型


以上四项都是可以从无标签目标数据集中结合图像分类器求解到的,并且,当(意味着图像分类器完全准确),这个公式可以退化为近似解:


到这里,你是不是以为我们就可以用公式9算融合评分了?非也,公式9中,还有个问题:是未知的。如果想要正儿八经地算要求目标数据集有标签,然后我们用图像分类器先算一遍,数数哪些算错了,才能把算出来。因此我们用两个常数α和β分别替代,整个模型的近似就都集中在了这两个常数上。


在论文Table1,2,3,4,Fig6相关的实验中,α=β=0,并且,在Fig5中,我们设置了其他常数来检查模型对于这种近似的敏感性


可以看到,虽然α和β较大时,准确率会有所下降,但是仍然能保持一定的水准,当你看到纯图像分类器的准确率之后,还会发现融合模型的准确率一直高于纯图像分类器。

你可能注意到了,图中α+β都是小于1的,这是因为,只有当Ep+En<1且α+β<1时,融合模型的Ep+En才会小于图像模型的Ep+En,说人话就是,只有图像模型不是特别糟糕,且近似的参数也比较正常的时候,融合模型才会比单个的图像模型要准,融合才有意义。这个定理的具体的证明放到论文附录里了,有兴趣的可以邮件私信我拿附录去看,这里摆出来就太多了。

于是我们得到了一个由条件概率推断支撑的多模态数据融合方法,称为贝叶斯融合


看一眼融合得到的时空分布图:


再从数据上看一眼融合的模型有多强:


可以看到,

  • 跨数据集直接迁移效果确实很差

  • 融合之后的准确率Rank1准确率变成2-4倍

说明这种融合方式是确实行之有效的。



基于Learning to Rank的迁移学习


前面讲到图像分类器太弱了,虽然融合后效果挺好的(这个时候我们其实想着要不就这样投个NIPS算了),但是如果能提升图像分类器,融合的效果理论上会更好。而现在我们有了一个强大的融合分类器,我们能不能用这个融合分类器为目标数据集的图片打标签,反过来训练图像分类器呢?

一个常用的无监督学习套路就是,根据融合评分的高低,将图片对分为正样本对和负样本对(打伪标签),然后喂给图像分类器学习。



我们也尝试了这种做法,但是发现,数据集中负样本远远多于正样本,融合分类器分对的负样本是挺多的,但是分对的正样本超级少,分错的正样本很多,错样本太多,训练出来效果极差,用上一些hard ming的技巧也不行。


于是我们思考,

  • 我们无法提供正确的01标签,分类器就只能学到许多错的01标签

  • 我们是否可以提供一些软标签,让分类器去学习回归两个样本之间的评分,而不是直接学习二分类的标签?

  • 这是一个图像检索问题,我们能不能用信息检索中的一些学习方法来完成这个任务?

于是自然而然地想到了Learning to Rank


Ranking

  • 问题定义:给定一个对象,寻找与其最相关的结果,按相关程度排序

  • 常用方法:

    • Point-wise:每一个结果算一个绝对得分,然后按得分排序

    • Pair-wise:每两个结果算一下谁的得分高,然后按这个相对得分排序

    • List-wise:枚举所有排列情况,计算综合得分最高的一种作为排序结果

综合得分往往需要许多复杂的条件来计算,不一定适用于我们的场景,所以排除List-wise,Point-wise和Pair-wise都可以采用,得分可以直接用融合评分表示,Pair-wise可以用一组正序样本,一组逆序样本,计算两个得分,算相对得分来学习,有点Triplet loss的意味,于是在实验中采用了Pair-wise方法。


Pair-wise Ranking

  • 给定样本,其排序得分为

  • 给定样本其排序得分为

  • 定义,如果0"> 说明的排名高于

  • 将这个排名概率化,定义,为xi排名高于xj的概率。

  • 对于任何一个长度为n的排列,只要知道n-1个相邻item的概率,就可以推断出来任何两个item的排序概率

  • 例如,已知


RankNet: Pair-wise Learning to Rank

RankNet是Pair-wise Learning to Rank的一种方法,用一个神经网络去学习输入的两个样本(还有一个query样本)与其排序概率(上面定义的)的映射关系。


具体到我们这个问题里

  • 给定查询图片A,给定待匹配图片B和C

  • 用神经网络预测AB之间的相似度Sab为B的绝对排序得分,计算AC之间的相似度Sac为C的绝对排序得分

具体的神经网络用Keras实现并可视化出来长这样:



输入是三张图片,分别用Resnet52提取特征并flatten

  • flatten之后写一个Lambda层+全连接层算特征向量带权重的几何距离,得到score1和score2

  • 用score1和score2和真实分数算交叉熵Loss(下面讲)

  • 则B排序高于C的概率为:

  • 用预测概率Pbc去拟合真实的排序概率,回归损失用预测概率和真实概率的交叉熵表达

网络实现超级简单,主要麻烦在样本三元组构造


Transfer Learning to rank

整个Learning to rank过程如图


我们用融合分类器为目标数据集中的图片对评分,构造三元组输入RankNet,其中Si是查询图,Sj是在与Si融合相似度top1 - top25中抽取的图片,Sk是在与Si融合相似度top25 - top50中抽取的图片,喂给RankNet学习,使得resnet52部分卷积层能充分学习到目标场景上的视觉特征。


Learning to Rank效果

对比Learning to Rank前的效果,准确率都提升了,GRID数据集上提升尤为明显。



对比SOA有监督方法

一方面,我们将上面的跨数据集无监督算法应用在GRID和Market1501两个数据集上,与当前最好的方法进行对比,另一方面,我们还测试了有监督版本的效果,有监督即源数据集与目标数据集一致,如GRID预训练->GRID融合时空,效果如下:


  • GRID

由于在这个数据集上时空规律十分明显(正确时间差都集中在一个很小的范围内),可以过滤掉大量错误分类结果,所以准确率甚至碾压了全部有监督方法。


  • Market1501

在Market1501这个数据集上,无监督的方法逼近2016年的有监督方法(我们的图像分类器只是一个ResNet52),有监督的方法超越2016年的有监督方法,虽然比不上2017年的有监督方法,但是如果结合其他更好的图像分类器,应该能有更好的效果。



对比SOA无监督方法

我们向UMDL的作者要到了代码,并复现了如下几组跨数据集迁移实验


其中,UMDL迁移到Market1501的结果与悉尼科技大学hehefan与LiangZheng复现出来的效果差不多,所以我们的复现是靠谱的。

可以看到,无监督的TFusion全面碾压UMDL。

更多详细实验结果可以到论文中细看。


多次迭代迁移学习


回顾一下整个架构,我们用图像分类器估算时空模型,得到融合模型,用融合模型反过来提升图像分类器模型,图像分类器又能继续增强融合模型,形成一个闭环,理论上这个闭环循环多次,能让图像分类器无限逼近融合分类器,从而得到一个目标场景中也很强大的图像分类器,因此我们做了多次迭代的尝试:


在从目前的实验效果看,第一次迁移学习提升比较大,后面提升就比较小了,这个现象往好了说可以是收敛快,但往坏了说,虽然图像分类器得到了提升,但是没有出现图像分类器提升大于融合分类器的现象,所以这里边应该还有东西可挖。


论文:https://arxiv.org/abs/1803.07293

代码:https://github.com/ahangchen/TFusion

来源:https://zhuanlan.zhihu.com/p/34778414?utm_medium=social&utm_source=wechat_session&wechatShare=2&from=groupmessage&isappinstalled=0

- 马上学习AI挑战百万年薪 -

点击“ 阅读原文 ”,查看详情

登录查看更多
7

相关内容

行人重识别(Person re-identification)也称行人再识别,是利用计算机视觉技术判断图像或者视频序列中是否存在特定行人的技术。广泛被认为是一个图像检索的子问题。给定一个监控行人图像,检索跨设备下的该行人图像。旨在弥补目前固定的摄像头的视觉局限,并可与行人检测/行人跟踪技术相结合,可广泛应用于智能视频监控、智能安保等领域。 由于不同摄像设备之间的差异,同时行人兼具刚性和柔性的特性 ,外观易受穿着、尺

知识荟萃

精品入门和进阶教程、论文和代码整理等

更多

查看相关VIP内容、论文、资讯等
【CVPR2020】跨模态哈希的无监督知识蒸馏
专知会员服务
61+阅读 · 2020年6月25日
基于深度学习的表面缺陷检测方法综述
专知会员服务
94+阅读 · 2020年5月31日
最新《深度学习行人重识别》综述论文,24页pdf
专知会员服务
81+阅读 · 2020年5月5日
基于深度学习的行人重识别研究进展,自动化学报
专知会员服务
39+阅读 · 2019年12月5日
【CVPR2019】弱监督图像分类建模
深度学习大讲堂
38+阅读 · 2019年7月25日
通过时空模型迁移学习的无监督的跨数据集行人重新识别
统计学习与视觉计算组
8+阅读 · 2018年10月23日
迁移学习之Domain Adaptation
全球人工智能
18+阅读 · 2018年4月11日
独家 | 基于深度学习的行人重识别研究综述
AI科技评论
11+阅读 · 2017年12月20日
行人再识别中的迁移学习
计算机视觉战队
11+阅读 · 2017年12月20日
ICCV2017 论文解读:基于图像检索的行人重识别
极市平台
7+阅读 · 2017年11月15日
Transfer Adaptation Learning: A Decade Survey
Arxiv
37+阅读 · 2019年3月12日
Arxiv
4+阅读 · 2018年5月4日
Arxiv
3+阅读 · 2018年4月10日
VIP会员
相关资讯
【CVPR2019】弱监督图像分类建模
深度学习大讲堂
38+阅读 · 2019年7月25日
通过时空模型迁移学习的无监督的跨数据集行人重新识别
统计学习与视觉计算组
8+阅读 · 2018年10月23日
迁移学习之Domain Adaptation
全球人工智能
18+阅读 · 2018年4月11日
独家 | 基于深度学习的行人重识别研究综述
AI科技评论
11+阅读 · 2017年12月20日
行人再识别中的迁移学习
计算机视觉战队
11+阅读 · 2017年12月20日
ICCV2017 论文解读:基于图像检索的行人重识别
极市平台
7+阅读 · 2017年11月15日
Top
微信扫码咨询专知VIP会员