科学家发现自旋阻挫重费米子体系中的量子临界相

2019 年 10 月 15 日 中科院之声


当一个二级相变通过非温度控制的外参量被连续压制到绝对零度附近时,体系会发生量子相变。发生量子相变的临界点,即量子临界点,是绝对零度条件下位于外参量轴上的一个点,通常可以通过调控压力、磁场等手段来获得。量子相变和有限温度下由热涨落控制的相变不同,其物理本质是基于海森堡不确定原理的量子涨落行为。量子相变在重费米子、非常规超导、量子自旋以及冷原子等不同系统中均得到了广泛深入的研究,是产生奇异集体激发模式和新物性的一个重要途径。尤其重要的是,量子临界点虽然产生于绝对零度附近,但是其相关的量子涨落却可以深刻地影响有限温度下的物理行为。很多非常规物理性质,包括高温超导,都可能和量子临界涨落有密切的关系。


重费米子材料是量子临界行为研究的理想体系。这类材料中,传导电子和局域f/d电子间能带杂化产生近藤效应,进而屏蔽局域磁矩。与此同时,局域磁矩间具有RKKY间接交换相互作用,导致磁矩安定化并趋于磁有序。这两个矛盾的物理过程在重费米子材料中相互竞争,产生量子临界现象,甚至非常规超导。另一方面,对于自旋阻挫效应的研究主要集中在绝缘的量子自旋体系,是凝聚态物理的另一个重要研究方向。在该类体系中,自旋阻挫引起的量子涨落会破坏长程磁有序,并可能导致绝对零度下的自旋液体等新奇物态。在具有金属行为的重费米子体系中引入自旋阻挫,将增强低温下的量子涨落,并和传导电子媒介的长程RKKY交换相互作用形成竞争。这时体系的量子临界行为会如何演变,是一个重要的基础物理问题。


近日,《自然-物理》(Nature Physics)杂志发表了中国科学院物理研究所/北京凝聚态物理国家研究中心极端条件物理重点实验室EX9组研究员孙培杰团队博士生赵恒灿、张佳浩等人和莱斯大学教授Q. Si以及马普所教授F. Steglich的合作研究成果。他们发现当重费米子体系的近藤晶格位于阻挫kagome格子时,通过磁场和压力调控,体系会产生一个在压力磁场相图上很宽的、安定的量子临界相。压力下的电阻率、磁化率和比热等测量表明,自旋阻挫导致的量子涨落是产生该量子临界相的主要原因。和其他各类材料中常见的量子临界点不同,相图空间上广域的量子临界相的发现预示着一个由量子涨落导致的稳定新物态的产生。同时,研究团队还发现该量子临界相具有非费米液体等奇异的物理性质。


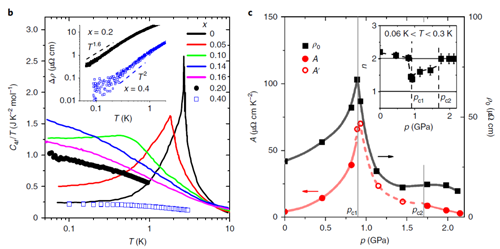
该研究关注的重费米子材料CePdAl具有变形的kagome阻挫结构。自旋阻挫在很大程度上降低了该材料的反铁磁有序温度,并在磁有序温度以上形成很强的短程自旋关联,表现为磁化率的宽峰。通过构建该材料在极低温下的磁场、压力和温度的三维相图,研究团队发现该材料在反铁磁有序被磁场或压力压制以后,并没有进入非磁性的重费米子态,而是形成了一个在很宽压力和磁场范围内的量子顺磁态。该物态具有局域磁矩,但是在绝对零度附近也没有形成长程磁有序,具有金属自旋液体的特征。区别于常规的量子临界点,绝对零度下这一由量子涨落导致的区域被称为量子临界相。继续增加压力或磁场,该量子临界相可以被压制,体系发生局域巡游转变,进入重费米子态。这一发现对于探索和理解量子涨落导致的非常规金属行为具有重要的意义。


《自然-物理》还同期发表了德国马普复杂系统物理研究所博士Aline Ramires应邀撰写的题为Frustration can be critical 的评述文章,对该研究工作的物理意义进行了详细的评述。


上述研究得到科技部(2017YFA0303100,2015CB921303,2018YFA0305702)、国家自然科学基金委(11774404,11474332,11574377,11874400)以及中科院(XDB07020200)的支持。参与该工作合作研究的还包括德国奥格斯堡大学教授P. Gegenwart团队,日本富山大学教授Y.Isikawa,物理所研究员杨义峰、陈根富、程金光和副研究员张帅等。


图1:CePdAl中压力诱导量子临界相的产生。(a) 温度-压力相图和电阻率的温度指数。(b) 通过掺杂产生的化学压力表现出和静水压同样的结果,在量子临界相中具有发散的电子比热系数。(c) 电阻率的A系数和残留电阻对应两个临界压力,中间区域代表量子临界相。




图2:非自旋阻挫体系中的量子临界点和自旋阻挫体系中的量子临界相的对比。


来源:中国科学院物理研究所


温馨提示:近期,微信公众号信息流改版。每个用户可以设置 常读订阅号,这些订阅号将以大卡片的形式展示。因此,如果不想错过“中科院之声”的文章,你一定要进行以下操作:进入“中科院之声”公众号 → 点击右上角的 ··· 菜单 → 选择「设为星标」



登录查看更多
0

相关内容

临界点是数学中广泛使用的一个术语,当处理实变量函数时,临界点是指定义域内函数不可微或者导数为零的点。处理复变量时,临界点是,函数定义域内的一点,导数等于零。同样地,对于多实变量的函数,临界点是定义域内梯度无定义或为零的值。
图神经网络表达能力的研究综述,41页pdf
专知会员服务
173+阅读 · 2020年3月10日
光子Ising机的前景光明
中国物理学会期刊网
6+阅读 · 2019年7月17日
物理学家终于找到了一种拯救薛定谔猫的方法
中科院物理所
8+阅读 · 2019年6月10日
同质结中的“超注入”现象:半导体光源迎来新机遇!
Science:脂肪细胞外泌体对巨噬细胞发挥调节功能
外泌体之家
19+阅读 · 2019年3月7日
丘成桐:攻克物理难题的数学大师
科技导报
5+阅读 · 2018年7月23日
量子计算
人工智能学家
7+阅读 · 2018年4月6日
量子世界的因果关系
中国物理学会期刊网
9+阅读 · 2017年8月5日
Arxiv
4+阅读 · 2018年4月10日
VIP会员
相关资讯
光子Ising机的前景光明
中国物理学会期刊网
6+阅读 · 2019年7月17日
物理学家终于找到了一种拯救薛定谔猫的方法
中科院物理所
8+阅读 · 2019年6月10日
同质结中的“超注入”现象:半导体光源迎来新机遇!
Science:脂肪细胞外泌体对巨噬细胞发挥调节功能
外泌体之家
19+阅读 · 2019年3月7日
丘成桐:攻克物理难题的数学大师
科技导报
5+阅读 · 2018年7月23日
量子计算
人工智能学家
7+阅读 · 2018年4月6日
量子世界的因果关系
中国物理学会期刊网
9+阅读 · 2017年8月5日
Top
微信扫码咨询专知VIP会员