原始对偶角度下的几类优化方法

2019 年 12 月 5 日 极市平台

加入极市专业CV交流群,与6000+来自腾讯,华为,百度,北大,清华,中科院等名企名校视觉开发者互动交流!更有机会与李开复老师等大牛群内互动!

同时提供每月大咖直播分享、真实项目需求对接、干货资讯汇总,行业技术交流。关注 极市平台 公众号 ,回复 加群,立刻申请入群~


来源:最优化理论和一阶方法知乎专栏

链接:https://zhuanlan.zhihu.com/p/92230537

本文已由作者授权转载,未经允许,不得二次转载


这篇文章介绍三个方法在原始角度和对偶角度下的形式,分别为:梯度方法(gradient descent method),临近点方法(proximal point method)以及临近梯度方法(proximal gradient method),感受下对偶的魅力。主要参考的是wotao yin的slide,有兴趣的可以看他的主页( 链接: https://www.math.ucla.edu/~wotaoyin/index.html )。

一、共轭函数(conjugate function)


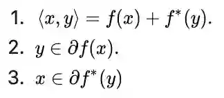
定义1(共轭函数):
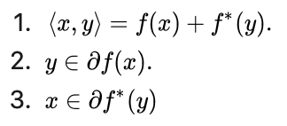
接下来我们分析下共轭函数的一些性质,这将会在对偶方法中的推导起到关键的作用。因为对偶问题中目标函数就是原问题目标函数的共轭形式。所以我们要研究一下共轭函数的次梯度,以及什么情况下光滑。

在得到共轭函数次梯度前,我们需要下面这个定理:

定理1(conjugate subgradient theorem) :令函数 f 是convex proper and closed. 那么下面三条对任意 x,y 等价
proof. (为了完整性,我给出证明,不想看的可以跳过,记住结论就行。)

二、Primal Perspective


2.1  Gradient descent method


考虑无约束优化问题

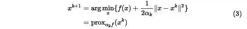
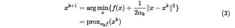
2.2  Proximal point method

当问题(1)中的函数可能不光滑的时候,我们可以用临近点方法 ,具体地,该方法有如下形式:
对目标函数求导,我们得到另外一个形式:
这个形式在对偶角度下需要用到

2.3  Proximal Gradient Method

考虑可分离凸问题:
这个算法有很多的变种,比如著名的FISTA。


三、Dual Perspective


下面我将首先得到原问题的对偶问题,然后利用上面提到的三个方法去求解,最后通过formulation,观察他们在转化到原始角度下是什么样的形式。

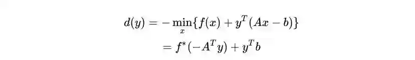
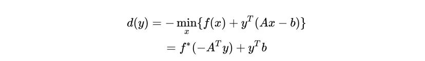
3.1  Dual (sub)gradient descent method

考虑线性约束凸问题:
如果d是光滑的,那么上式就为梯度下降。就这样结束了吗?并没有,虽然这样看起来很简洁,但问题是我们不知道d(y)这个函数的显式表达形式是什么,甚至连是不是可微的也不知道,也就没有办法去求解它的梯度了。下面我来回答三个问题:
  • d(y)的表达形式是怎样的?
  • d(y)什么时候是可微的?
  • d(y)的次梯度表达形式是怎样的?

首先我们发现d(y)可以表达为:
其次,我们知道当f是强凸的时候,它的共轭才会是光滑的,进一步d(y)才光滑。
对于最后一个问题,



3.2  Dual proximal point method

考虑上述的线性约束问题(6),这次我将PPA应用到对偶问题中,即
这也等价于增广拉格朗日方法(ALM)。所以我们有结论:

原始问题的ALM方法等价于对偶问题下的临近点方法

绕了半天,结果出来个已经存在的方法。

3.3  Dual proximal gradient method

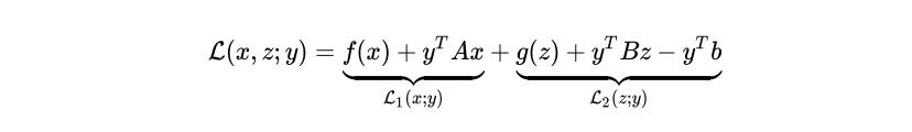
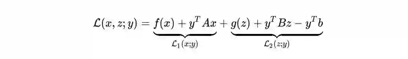
考虑可分离线性约束问题
首先(13)的拉格朗日函数为:


可以看到这个方法很像ADMM,差别就在于对于x子问题,ADMM用的是增广拉格朗日函数,而这个方法用的是拉格朗日函数。

四、总结


这里我只介绍了三种方法在对偶角度下的形式,事实上,任意的方法都可以用到对偶问题上,比如:
  • 对偶问题下的Douglas-Rachford splitting方法等价于原始问题的ADMM方法
  • 对偶问题下的Peaceman-Rachford splitting方法等价于原始问题的对称ADMM方法
有时候还会有意想不到的结果。比如我的另一篇文章( 链接: https://zhuanlan.zhihu.com/p/92230537 ),就是将ALM(增广拉格朗日方法)应用到对偶问题上,再结合稀疏结构,加速了计算。


参考文献
[1] A.Beck. First-order methods in optimization[M]. SIAM, 2017.
[2] Splitting methods in communication, imaging, science, and engineering[M]. Springer, 2017.
[3] Y.Chen. Large-Scale Optimization for Data Science,ELE522,lecture notes,Princeton University
[4] L. Vandenberghe. Optimization methods for large-scale systems, EE236C lecture notes,UCLA.
[5] Ryu E K, Boyd S. Primer on monotone operator methods[J]. Appl. Comput. Math, 2016, 15(1): 3-43.
[6]  https://www.math.ucla.edu/~wotaoyin/index.html




-End-



*延伸阅读



CV细分方向交流群


添加极市小助手微信(ID : cv-mart),备注:研究方向-姓名-学校/公司-城市(如:目标检测-小极-北大-深圳),即可申请加入目标检测、目标跟踪、人脸、工业检测、医学影像、三维&SLAM、图像分割、OCR、姿态估计等极市技术交流群(已经添加小助手的好友直接私信),更有每月大咖直播分享、真实项目需求对接、干货资讯汇总,行业技术交流一起来让思想之光照的更远吧~



△长按添加极市小助手


△长按关注极市平台


打了这么多的公式,不给个在看啦~  

登录查看更多
0

相关内容

专知会员服务
43+阅读 · 2020年7月7日
【斯坦福】凸优化圣经- Convex Optimization (附730pdf下载)
专知会员服务
231+阅读 · 2020年6月5日
【开放书】SLAM 中的几何与学习方法,62页pdf
专知会员服务
111+阅读 · 2020年6月5日
强化学习和最优控制的《十个关键点》81页PPT汇总
专知会员服务
107+阅读 · 2020年3月2日
GANs最新综述论文: 生成式对抗网络及其变种如何有用
专知会员服务
72+阅读 · 2019年10月19日
一文搞懂反向传播
机器学习与推荐算法
18+阅读 · 2020年3月12日
求解稀疏优化问题——半光滑牛顿方法
极市平台
50+阅读 · 2019年11月30日
深度学习优化算法总结(SGD,AdaGrad,Adam等)
极市平台
34+阅读 · 2019年4月30日
从信息论的角度来理解损失函数
深度学习每日摘要
17+阅读 · 2019年4月7日
从最优化的角度看待 Softmax 损失函数
极市平台
31+阅读 · 2019年2月21日
从动力学角度看优化算法:一个更整体的视角
黑龙江大学自然语言处理实验室
8+阅读 · 2019年1月28日
换个角度看GAN:另一种损失函数
机器学习算法与Python学习
7+阅读 · 2019年1月1日
从动力学角度看优化算法:自适应学习率算法
PaperWeekly
8+阅读 · 2018年12月27日
详解常见的损失函数
七月在线实验室
20+阅读 · 2018年7月12日
Optimization for deep learning: theory and algorithms
Arxiv
106+阅读 · 2019年12月19日
A Multi-Objective Deep Reinforcement Learning Framework
Arxiv
11+阅读 · 2018年4月25日
Arxiv
4+阅读 · 2018年3月19日
VIP会员
相关资讯
一文搞懂反向传播
机器学习与推荐算法
18+阅读 · 2020年3月12日
求解稀疏优化问题——半光滑牛顿方法
极市平台
50+阅读 · 2019年11月30日
深度学习优化算法总结(SGD,AdaGrad,Adam等)
极市平台
34+阅读 · 2019年4月30日
从信息论的角度来理解损失函数
深度学习每日摘要
17+阅读 · 2019年4月7日
从最优化的角度看待 Softmax 损失函数
极市平台
31+阅读 · 2019年2月21日
从动力学角度看优化算法:一个更整体的视角
黑龙江大学自然语言处理实验室
8+阅读 · 2019年1月28日
换个角度看GAN:另一种损失函数
机器学习算法与Python学习
7+阅读 · 2019年1月1日
从动力学角度看优化算法:自适应学习率算法
PaperWeekly
8+阅读 · 2018年12月27日
详解常见的损失函数
七月在线实验室
20+阅读 · 2018年7月12日
Top
微信扫码咨询专知VIP会员