机器学习基础篇--监督学习经典案例(Python实现)

2017 年 10 月 24 日 Python技术博文 Anne

机器学习基础篇--监督学习

监督学习经典案例

前几章讲过,机器学习监督学习模型的任务重点在于,根据已有的经验知识对未知样本的目标/标记进行预测。根据目标预测变量的类型不同,我们把监督学习任务大体分为分类学习与回归预测两类。

监督学习的流程:

首先准备训练数据,可以是文本、图像、音频等;然后抽取所有需要特征,形成特征向量(Feature Vectors);接着,把这些特征向量连同对应的标记/目标(Labels)一并送入学习算法(Machine Learning Algorithm)中,训练出一个预测模型(Predictive Model);然后,采用同样的特征提取方法作用于新测试数据,得到用于测试的特征向量;最后,使用预测模型对这些待测的特征向量进行预测并得到结果(Expected Labels)。

分类学习

分类学习是常见的监督学习问题,其中最基础的便是二分类(Binary Classification)问题,即判断是非,从两个类别中选择一个作为预测结果;除此之外还有多分类(Multiclass Classification)的问题,即在多于两个类别中选择一个;

实际应用场景:

在实际生活和工作中,会遇到很多多分类的问题,如:医生对肿瘤性质的判断;邮件系统对手写体邮编数字进行识别;互联网资讯公司对新闻进行分类;甚至我们还能对某些大灾难的经历者做是否生还预测。

Logistic 回归

模型介绍:

假设现在有一些数据,我们用一条直线对这些点进行拟合(该线称为最佳拟合直线),这个拟合过程就是回归。Logistic 回归(Logistic Regressive)进行分类的主要思想:根据现有数据对分类边界线建立回归公式,以此进行分类。

实战示例:

数据:


选择自变量和因变量:

绘图展示:

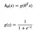
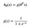
逻辑回归假设:

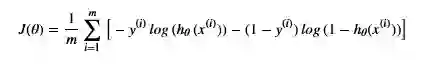
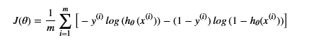
损失函数:

向量化的损失函数(矩阵形式):


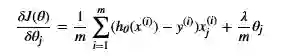
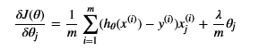
求偏导(梯度):

向量化的偏导(梯度):

代码实现:

最小化损失函数(梯度下降)


预测部分:

画决策边界


今日赠言

笑着面对,不去埋怨。悠然,随心,随性,随缘。注定一生改变的,只再百年后,那一朵花开的时间。

——坦然面对吧,致彷徨的您


推荐阅读:


机器学习篇

机器学习入门科普篇--系列二

机器学习算法的随机数据生成总结

python 数据清洗篇

python 数据清洗篇

想入门深度学习?先理解这25个概念!

自然语言处理中的Attention Model:是什么及为什么

用户画像之用户性别识别

机器学习入门科普篇--系列一

客户流失分析

全球变暖温度分析图

数据挖掘学习笔记--决策树C4.5

决策树你应该知道的几点

决策树的Python实现

机器学习之------K-Means(K均值)

机器学习算法与Python实践之(一)k近邻(KNN)

数据科学的完整学习路径

对线性回归、逻辑回归、各种回归的概念学习


python学习篇

优雅的Python

利用python操作Excel教程

让你的 Python 代码优雅又地道

Python笔记

python学习笔记

Python小知识:Python 迭代器与生成器

python函数简书

Python常用模块资料

Python 禅道

Python 字符串操作方法大全

Python的编码命名规则

python 数组的del ,remove,pop区别



参考文献:

Python机器学习及实践

机器学习

Mitchell,T.M 《Machine Learning》

http://www.cnblogs.com/pinard/p/5970503.html


登录查看更多
8

相关内容

监督学习是指:利用一组已知类别的样本调整分类器的参数,使其达到所要求性能的过程,也称为监督训练或有教师学习。 监督学习是从标记的训练数据来推断一个功能的机器学习任务。训练数据包括一套训练示例。在监督学习中,每个实例都是由一个输入对象(通常为矢量)和一个期望的输出值(也称为监督信号)组成。监督学习算法是分析该训练数据,并产生一个推断的功能,其可以用于映射出新的实例。一个最佳的方案将允许该算法来正确地决定那些看不见的实例的类标签。这就要求学习算法是在一种“合理”的方式从一种从训练数据到看不见的情况下形成。
专知会员服务
142+阅读 · 2020年5月19日
【经典书】机器学习高斯过程,266页pdf
专知会员服务
200+阅读 · 2020年5月2日
【干货书】机器学习Python实战教程,366页pdf
专知会员服务
346+阅读 · 2020年3月17日
【经典书】Python数据数据分析第二版,541页pdf
专知会员服务
197+阅读 · 2020年3月12日
【新书】Pro 机器学习算法Python实现,379页pdf
专知会员服务
204+阅读 · 2020年2月11日
【新书】Python中的经典计算机科学问题,224页pdf
专知会员服务
149+阅读 · 2019年12月28日
用Python实现流行机器学习算法
Python程序员
21+阅读 · 2018年12月31日
学会这10种机器学习算法,你才算入门(附教程)
七月在线实验室
4+阅读 · 2018年4月13日
干货:10 种机器学习算法的要点(附 Python代码)
全球人工智能
4+阅读 · 2018年1月5日
免费|机器学习算法Python实现
全球人工智能
6+阅读 · 2018年1月2日
【干货】机器学习和深度学习概念入门(下)
机器学习研究会
6+阅读 · 2017年12月31日
从概念到案例:初学者须知的十大机器学习算法
算法与数学之美
8+阅读 · 2017年11月16日
课程 | 12个适合机器学习入门的经典案例
机器学习(7)之感知机python实现
机器学习算法与Python学习
4+阅读 · 2017年7月23日
神经网络理论基础及 Python 实现
Python开发者
6+阅读 · 2017年7月15日
Arxiv
8+阅读 · 2019年3月28日
Arxiv
8+阅读 · 2019年3月21日
Augmentation for small object detection
Arxiv
13+阅读 · 2019年2月19日
A Survey on Deep Learning for Named Entity Recognition
Arxiv
73+阅读 · 2018年12月22日
Adaptive Neural Trees
Arxiv
4+阅读 · 2018年12月10日
Arxiv
4+阅读 · 2018年6月14日
Arxiv
26+阅读 · 2018年2月27日
VIP会员
相关VIP内容
专知会员服务
142+阅读 · 2020年5月19日
【经典书】机器学习高斯过程,266页pdf
专知会员服务
200+阅读 · 2020年5月2日
【干货书】机器学习Python实战教程,366页pdf
专知会员服务
346+阅读 · 2020年3月17日
【经典书】Python数据数据分析第二版,541页pdf
专知会员服务
197+阅读 · 2020年3月12日
【新书】Pro 机器学习算法Python实现,379页pdf
专知会员服务
204+阅读 · 2020年2月11日
【新书】Python中的经典计算机科学问题,224页pdf
专知会员服务
149+阅读 · 2019年12月28日
相关资讯
用Python实现流行机器学习算法
Python程序员
21+阅读 · 2018年12月31日
学会这10种机器学习算法,你才算入门(附教程)
七月在线实验室
4+阅读 · 2018年4月13日
干货:10 种机器学习算法的要点(附 Python代码)
全球人工智能
4+阅读 · 2018年1月5日
免费|机器学习算法Python实现
全球人工智能
6+阅读 · 2018年1月2日
【干货】机器学习和深度学习概念入门(下)
机器学习研究会
6+阅读 · 2017年12月31日
从概念到案例:初学者须知的十大机器学习算法
算法与数学之美
8+阅读 · 2017年11月16日
课程 | 12个适合机器学习入门的经典案例
机器学习(7)之感知机python实现
机器学习算法与Python学习
4+阅读 · 2017年7月23日
神经网络理论基础及 Python 实现
Python开发者
6+阅读 · 2017年7月15日
相关论文
Arxiv
8+阅读 · 2019年3月28日
Arxiv
8+阅读 · 2019年3月21日
Augmentation for small object detection
Arxiv
13+阅读 · 2019年2月19日
A Survey on Deep Learning for Named Entity Recognition
Arxiv
73+阅读 · 2018年12月22日
Adaptive Neural Trees
Arxiv
4+阅读 · 2018年12月10日
Arxiv
4+阅读 · 2018年6月14日
Arxiv
26+阅读 · 2018年2月27日
Top
微信扫码咨询专知VIP会员