免费|机器学习算法Python实现

2018 年 1 月 2 日 全球人工智能


-欢迎加入AI技术专家社群>>

- 日薪5K-10K招兼职AI讲师>>

目录

  • 一、线性回归

    • 1、代价函数

    • 2、梯度下降算法

    • 3、均值归一化

    • 4、最终运行结果

    • 5、使用scikit-learn库中的线性模型实现

  • 二、逻辑回归

    • 1、代价函数

    • 2、梯度

    • 3、正则化

    • 4、S型函数(即)

    • 5、映射为多项式

    • 6、使用的优化方法

    • 7、运行结果

    • 8、使用scikit-learn库中的逻辑回归模型实现

  • 逻辑回归_手写数字识别_OneVsAll

    • 1、随机显示100个数字

    • 2、OneVsAll

    • 3、手写数字识别

    • 4、预测

    • 5、运行结果

    • 6、使用scikit-learn库中的逻辑回归模型实现

  • 三、BP神经网络

    • 1、神经网络model

    • 2、代价函数

    • 3、正则化

    • 4、反向传播BP

    • 5、BP可以求梯度的原因

    • 6、梯度检查

    • 7、权重的随机初始化

    • 8、预测

    • 9、输出结果

  • 四、SVM支持向量机

    • 1、代价函数

    • 2、Large Margin

    • 3、SVM Kernel(核函数)

    • 4、使用中的模型代码

    • 5、运行结果

  • 五、K-Means聚类算法

    • 1、聚类过程

    • 2、目标函数

    • 3、聚类中心的选择

    • 4、聚类个数K的选择

    • 5、应用——图片压缩

    • 6、使用scikit-learn库中的线性模型实现聚类

    • 7、运行结果

  • 六、PCA主成分分析(降维)

    • 1、用处

    • 2、2D-->1D,nD-->kD

    • 3、主成分分析PCA与线性回归的区别

    • 4、PCA降维过程

    • 5、数据恢复

    • 6、主成分个数的选择(即要降的维度)

    • 7、使用建议

    • 8、运行结果

    • 9、使用scikit-learn库中的PCA实现降维

  • 七、异常检测 Anomaly Detection

    • 1、高斯分布(正态分布)

    • 2、异常检测算法

    • 3、评价的好坏,以及的选取

    • 4、选择使用什么样的feature(单元高斯分布)

    • 5、多元高斯分布

    • 6、单元和多元高斯分布特点

    • 7、程序运行结果


正文


一、线性回归


https://github.com/lawlite19/MachineLearning_Python/tree/master/LinearRegression

https://github.com/lawlite19/MachineLearning_Python/blob/master/LinearRegression/LinearRegression.py


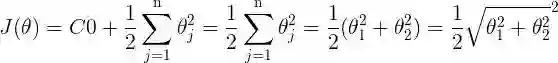
1、代价函数



其中: 


下面就是要求出theta,使代价最小,即代表我们拟合出来的方程距离真实值最近


共有m条数据,其中代表我们要拟合出来的方程到真实值距离的平方,平方的原因是因为可能有负值,正负可能会抵消


前面有系数2的原因是下面求梯度是对每个变量求偏导,2可以消去


实现代码:

# 计算代价函数

def computerCost(X,y,theta):

    m = len(y)

    J = 0

    

    J = (np.transpose(X*theta-y))*(X*theta-y)/(2*m) #计算代价J

    return J


注意这里的X是真实数据前加了一列1,因为有theta(0)


2、梯度下降算法


代价函数对求偏导得到:


所以对theta的更新可以写为:



其中为学习速率,控制梯度下降的速度,一般取0.01,0.03,0.1,0.3.....


为什么梯度下降可以逐步减小代价函数?


假设函数f(x)


泰勒展开:f(x+△x)=f(x)+f'(x)*△x+o(△x),


令:△x=-α*f'(x) ,即负梯度方向乘以一个很小的步长α


将△x代入泰勒展开式中:f(x+x)=f(x)-α*[f'(x)]²+o(△x)


可以看出,α是取得很小的正数,[f'(x)]²也是正数,所以可以得出:f(x+△x)<=f(x)


所以沿着负梯度放下,函数在减小,多维情况一样。


# 梯度下降算法

def gradientDescent(X,y,theta,alpha,num_iters):

    m = len(y)      

    n = len(theta)

    

    temp = np.matrix(np.zeros((n,num_iters)))   # 暂存每次迭代计算的theta,转化为矩阵形式

    

    J_history = np.zeros((num_iters,1)) #记录每次迭代计算的代价值

    

    for i in range(num_iters):  # 遍历迭代次数    

        h = np.dot(X,theta)     # 计算内积,matrix可以直接乘

        temp[:,i] = theta - ((alpha/m)*(np.dot(np.transpose(X),h-y)))   #梯度的计算

        theta = temp[:,i]

        J_history[i] = computerCost(X,y,theta)      #调用计算代价函数

        print '.',      

    return theta,J_history  


3、均值归一化


目的是使数据都缩放到一个范围内,便于使用梯度下降算法


其中  为所有此feture数据的平均值


可以是最大值-最小值,也可以是这个feature对应的数据的标准差


实现代码:


# 归一化feature

def featureNormaliza(X):

    X_norm = np.array(X)            #将X转化为numpy数组对象,才可以进行矩阵的运算

    #定义所需变量

    mu = np.zeros((1,X.shape[1]))   

    sigma = np.zeros((1,X.shape[1]))

    

    mu = np.mean(X_norm,0)          # 求每一列的平均值(0指定为列,1代表行)

    sigma = np.std(X_norm,0)        # 求每一列的标准差

    for i in range(X.shape[1]):     # 遍历列

        X_norm[:,i] = (X_norm[:,i]-mu[i])/sigma[i]  # 归一化

    

    return X_norm,mu,sigma


注意预测的时候也需要均值归一化数据


4、最终运行结果


代价随迭代次数的变化



5、使用scikit-learn库中的线性模型实现

https://github.com/lawlite19/MachineLearning_Python/blob/master/LinearRegression/LinearRegression_scikit-learn.py


导入包

from sklearn import linear_model 

from sklearn.preprocessing import StandardScaler    #引入缩放的包 


归一化

# 归一化操作    

scaler = StandardScaler()        

scaler.fit(X)     

x_train = scaler.transform(X)     

x_test = scaler.transform(np.array([1650,3])) 


线性模型拟合

 # 线性模型拟合     

model = linear_model.LinearRegression()     

model.fit(x_train, y) 


预测

#预测结果     

result = model.predict(x_test) 



二、逻辑回归


https://github.com/lawlite19/MachineLearning_Python/tree/master/LogisticRegression

https://github.com/lawlite19/MachineLearning_Python/blob/master/LogisticRegression/LogisticRegression.py


1、代价函数



可以综合起来为: 



 其中:

为什么不用线性回归的代价函数表示,因为线性回归的代价函数可能是非凸的,对于分类问题,使用梯度下降很难得到最小值,上面的代价函数是凸函数

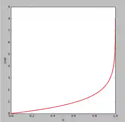
的图像如下,即y=1时: 


可以看出,当趋于1,y=1,与预测值一致,此时付出的代价cost趋于0,若趋于0,y=1,此时的代价cost值非常大,我们最终的目的是最小化代价值


同理的图像如下(y=0):



2、梯度

同样对代价函数求偏导: 

可以看出与线性回归的偏导数一致

推导过程 


3、正则化

目的是为了防止过拟合

在代价函数中加上一项

注意j是重1开始的,因为theta(0)为一个常数项,X中最前面一列会加上1列1,所以乘积还是theta(0),feature没有关系,没有必要正则化


正则化后的代价:

# 代价函数

def costFunction(initial_theta,X,y,inital_lambda):

    m = len(y)

    J = 0

    

    h = sigmoid(np.dot(X,initial_theta))    # 计算h(z)

    theta1 = initial_theta.copy()           # 因为正则化j=1从1开始,不包含0,所以复制一份,前theta(0)值为0 

    theta1[0] = 0   

    

    temp = np.dot(np.transpose(theta1),theta1)

    J = (-np.dot(np.transpose(y),np.log(h))-np.dot(np.transpose(1-y),np.log(1-h))+temp*inital_lambda/2)/m   # 正则化的代价方程

    return J


正则化后的代价的梯度

# 计算梯度 

def gradient(initial_theta,X,y,inital_lambda):

    m = len(y)

    grad = np.zeros((initial_theta.shape[0]))

    

    h = sigmoid(np.dot(X,initial_theta))# 计算h(z)

    theta1 = initial_theta.copy()

    theta1[0] = 0


    grad = np.dot(np.transpose(X),h-y)/m+inital_lambda/m*theta1 #正则化的梯度

    return grad  


4、S型函数(即

实现代码:

# S型函数

def sigmoid(z):

    h = np.zeros((len(z),1))    # 初始化,与z的长度一置


    h = 1.0/(1.0+np.exp(-z))     return h 


5、映射为多项式

因为数据的feture可能很少,导致偏差大,所以创造出一些feture结合


eg:映射为2次方的形式:

实现代码:

# 映射为多项式 

def mapFeature(X1,X2):

    degree = 3;                     # 映射的最高次方

    out = np.ones((X1.shape[0],1))  # 映射后的结果数组(取代X)

    '''

    这里以degree=2为例,映射为1,x1,x2,x1^2,x1,x2,x2^2

    '''

    for i in np.arange(1,degree+1): 

        for j in range(i+1):

            temp = X1**(i-j)*(X2**j)    #矩阵直接乘相当于matlab中的点乘.*

            out = np.hstack((out, temp.reshape(-1,1)))

    return out


6、使用scipy的优化方法

梯度下降使用scipy中optimize中的fmin_bfgs函数

调用scipy中的优化算法fmin_bfgs(拟牛顿法Broyden-Fletcher-Goldfarb-Shanno

costFunction是自己实现的一个求代价的函数,

initial_theta表示初始化的值,

fprime指定costFunction的梯度

args是其余测参数,以元组的形式传入,最后会将最小化costFunction的theta返回

result = optimize.fmin_bfgs(costFunction, initial_theta, fprime=gradient, args=(X,y,initial_lambda))     


7、运行结果

data1决策边界和准确度


data2决策边界和准确度


8、使用scikit-learn库中的逻辑回归模型实现

https://github.com/lawlite19/MachineLearning_Python/blob/master/LogisticRegression/LogisticRegression_scikit-learn.py


导入包

from sklearn.linear_model import LogisticRegression 

from sklearn.preprocessing import StandardScaler 

from sklearn.cross_validation import train_test_split 

import numpy as np 


划分训练集和测试集

# 划分为训练集和测试集     

x_train,x_test,y_train,y_test = train_test_split(X,y,test_size=0.2) 


归一化

# 归一化     

scaler = StandardScaler()     

scaler.fit(x_train)     

x_train = scaler.fit_transform(x_train)     

x_test = scaler.fit_transform(x_test) 


逻辑回归

#逻辑回归     

model = LogisticRegression()     

model.fit(x_train,y_train) 


预测

# 预测     

predict = model.predict(x_test)    

right = sum(predict == y_test)          

predict = np.hstack((predict.reshape(-1,1),y_test.reshape(-1,1)))   # 将预测值和真实值放在一块,好观察     

print predict     

print ('测试集准确率:%f%%'%(right*100.0/predict.shape[0]))       #计算在测试集上的准确度 



逻辑回归_手写数字识别_OneVsAll


https://github.com/lawlite19/MachineLearning_Python/blob/master/LogisticRegression


全部代码

https://github.com/lawlite19/MachineLearning_Python/blob/master/LogisticRegression/LogisticRegression_OneVsAll.py


1、随机显示100个数字


我没有使用scikit-learn中的数据集,像素是20*20px,彩色图如下 


灰度图: 


实现代码:

# 显示100个数字

def display_data(imgData):

    sum = 0

    '''

    显示100个数(若是一个一个绘制将会非常慢,可以将要画的数字整理好,放到一个矩阵中,显示这个矩阵即可)

    - 初始化一个二维数组

    - 将每行的数据调整成图像的矩阵,放进二维数组

    - 显示即可

    '''

    pad = 1

    display_array = -np.ones((pad+10*(20+pad),pad+10*(20+pad)))

    for i in range(10):

        for j in range(10):

            display_array[pad+i*(20+pad):pad+i*(20+pad)+20,pad+j*(20+pad):pad+j*(20+pad)+20] = (imgData[sum,:].reshape(20,20,order="F"))    # order=F指定以列优先,在matlab中是这样的,python中需要指定,默认以行

            sum += 1

            

    plt.imshow(display_array,cmap='gray')   #显示灰度图像

    plt.axis('off')

    plt.show()


2、OneVsAll


如何利用逻辑回归解决多分类的问题,OneVsAll就是把当前某一类看成一类,其他所有类别看作一类,这样有成了二分类的问题了


如下图,把途中的数据分成三类,先把红色的看成一类,把其他的看作另外一类,进行逻辑回归,然后把蓝色的看成一类,其他的再看成一类,以此类推... 

可以看出大于2类的情况下,有多少类就要进行多少次的逻辑回归分类


3、手写数字识别

共有0-9,10个数字,需要10次分类

由于数据集y给出的是0,1,2...9的数字,而进行逻辑回归需要0/1的label标记,所以需要对y处理

说一下数据集,前500个是0,500-1000是1,...,所以如下图,处理后的y,前500行的第一列是1,其余都是0,500-1000行第二列是1,其余都是0.... 


然后调用梯度下降算法求解theta

实现代码:

# 求每个分类的theta,最后返回所有的all_theta    

def oneVsAll(X,y,num_labels,Lambda):

    # 初始化变量

    m,n = X.shape

    all_theta = np.zeros((n+1,num_labels))  # 每一列对应相应分类的theta,共10列

    X = np.hstack((np.ones((m,1)),X))       # X前补上一列1的偏置bias

    class_y = np.zeros((m,num_labels))      # 数据的y对应0-9,需要映射为0/1的关系

    initial_theta = np.zeros((n+1,1))       # 初始化一个分类的theta

    

    # 映射y

    for i in range(num_labels):

        class_y[:,i] = np.int32(y==i).reshape(1,-1) # 注意reshape(1,-1)才可以赋值

    

    #np.savetxt("class_y.csv", class_y[0:600,:], delimiter=',')    

    

    '''遍历每个分类,计算对应的theta值'''

    for i in range(num_labels):

        result = optimize.fmin_bfgs(costFunction, initial_theta, fprime=gradient, args=(X,class_y[:,i],Lambda)) # 调用梯度下降的优化方法

        all_theta[:,i] = result.reshape(1,-1)   # 放入all_theta中

        

    all_theta = np.transpose(all_theta) 

    return all_theta


4、预测


之前说过,预测的结果是一个概率值,利用学习出来的theta代入预测的S型函数中,每行的最大值就是是某个数字的最大概率,所在的列号就是预测的数字的真实值,因为在分类时,所有为0的将y映射在第一列,为1的映射在第二列,依次类推


实现代码:

# 预测

def predict_oneVsAll(all_theta,X):

    m = X.shape[0]

    num_labels = all_theta.shape[0]

    p = np.zeros((m,1))

    X = np.hstack((np.ones((m,1)),X))   #在X最前面加一列1

    

    h = sigmoid(np.dot(X,np.transpose(all_theta)))  #预测


    '''

    返回h中每一行最大值所在的列号

    - np.max(h, axis=1)返回h中每一行的最大值(是某个数字的最大概率)

    - 最后where找到的最大概率所在的列号(列号即是对应的数字)

    '''

    p = np.array(np.where(h[0,:] == np.max(h, axis=1)[0]))  

    for i in np.arange(1, m):

        t = np.array(np.where(h[i,:] == np.max(h, axis=1)[i]))

        p = np.vstack((p,t))

    return p


5、运行结果


10次分类,在训练集上的准确度:



6、使用scikit-learn库中的逻辑回归模型实现

https://github.com/lawlite19/MachineLearning_Python/blob/master/LogisticRegression/LogisticRegression_OneVsAll_scikit-learn.py


1、导入包

from scipy import io as spio 

import numpy as np 

from sklearn import svm 

from sklearn.linear_model import LogisticRegression 


2、加载数据

data = loadmat_data("data_digits.mat")      

X = data['X']   # 获取X数据,每一行对应一个数字20x20px     

y = data['y']   # 这里读取mat文件y的shape=(5000, 1)     

y = np.ravel(y) # 调用sklearn需要转化成一维的(5000,)

 

3、拟合模型

model = LogisticRegression()     

model.fit(X, y) # 拟合 


4、预测

predict = model.predict(X) #预测          

print u"预测准确度为:%f%%"%np.mean(np.float64(predict == y)*100) 


5、输出结果(在训练集上的准确度) 




三、BP神经网络


全部代码

https://github.com/lawlite19/MachineLearning_Python/blob/master/NeuralNetwok/NeuralNetwork.py


1、神经网络model


先介绍个三层的神经网络,如下图所示


输入层(input layer)有三个units(为补上的bias,通常设为1)


表示第j层的第i个激励,也称为为单元unit


为第j层到第j+1层映射的权重矩阵,就是每条边的权重 



所以可以得到:


隐含层:





输出层


其中,S型函数,也成为激励函数


可以看出 为3x4的矩阵,为1x4的矩阵


==》j+1的单元数x(j层的单元数+1)


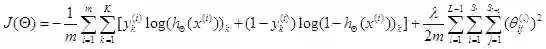
2、代价函数


假设最后输出的,即代表输出层有K个单元



 其中,代表第i个单元输出与逻辑回归的代价函数



差不多,就是累加上每个输出(共有K个输出)


3、正则化


L-->所有层的个数


-->第l层unit的个数


正则化后的代价函数为



共有L-1层,然后是累加对应每一层的theta矩阵,注意不包含加上偏置项对应的theta(0)


正则化后的代价函数实现代码:


# 代价函数

def nnCostFunction(nn_params,input_layer_size,hidden_layer_size,num_labels,X,y,Lambda):

    length = nn_params.shape[0] # theta的中长度

    # 还原theta1和theta2

    Theta1 = nn_params[0:hidden_layer_size*(input_layer_size+1)].reshape(hidden_layer_size,input_layer_size+1)

    Theta2 = nn_params[hidden_layer_size*(input_layer_size+1):length].reshape(num_labels,hidden_layer_size+1)

    

    # np.savetxt("Theta1.csv",Theta1,delimiter=',')

    

    m = X.shape[0]

    class_y = np.zeros((m,num_labels))      # 数据的y对应0-9,需要映射为0/1的关系

    # 映射y

    for i in range(num_labels):

        class_y[:,i] = np.int32(y==i).reshape(1,-1) # 注意reshape(1,-1)才可以赋值

     

    '''去掉theta1和theta2的第一列,因为正则化时从1开始'''    

    Theta1_colCount = Theta1.shape[1]    

    Theta1_x = Theta1[:,1:Theta1_colCount]

    Theta2_colCount = Theta2.shape[1]    

    Theta2_x = Theta2[:,1:Theta2_colCount]

    # 正则化向theta^2

    term = np.dot(np.transpose(np.vstack((Theta1_x.reshape(-1,1),Theta2_x.reshape(-1,1)))),np.vstack((Theta1_x.reshape(-1,1),Theta2_x.reshape(-1,1))))

    

    '''正向传播,每次需要补上一列1的偏置bias'''

    a1 = np.hstack((np.ones((m,1)),X))      

    z2 = np.dot(a1,np.transpose(Theta1))    

    a2 = sigmoid(z2)

    a2 = np.hstack((np.ones((m,1)),a2))

    z3 = np.dot(a2,np.transpose(Theta2))

    h  = sigmoid(z3)    

    '''代价'''    

    J = -(np.dot(np.transpose(class_y.reshape(-1,1)),np.log(h.reshape(-1,1)))+np.dot(np.transpose(1-class_y.reshape(-1,1)),np.log(1-h.reshape(-1,1)))-Lambda*term/2)/m   

    

    return np.ravel(J)


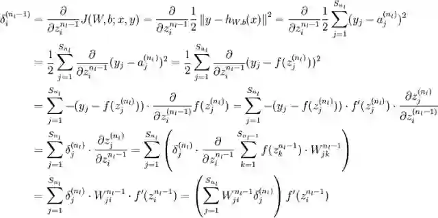
4、反向传播BP


上面正向传播可以计算得到J(θ),使用梯度下降法还需要求它的梯度


BP反向传播的目的就是求代价函数的梯度


假设4层的神经网络,记为-->l层第j个单元的误差


《===》(向量化)




没有,因为对于输入没有误差


因为S型函数的倒数为:



所以上面的可以在前向传播中计算出来


反向传播计算梯度的过程为:


是大写的


for i=1-m:-


-正向传播计算(l=2,3,4...L)


-反向计算...


-

-

最后,即得到代价函数的梯度


实现代码:


# 梯度

def nnGradient(nn_params,input_layer_size,hidden_layer_size,num_labels,X,y,Lambda):

    length = nn_params.shape[0]

    Theta1 = nn_params[0:hidden_layer_size*(input_layer_size+1)].reshape(hidden_layer_size,input_layer_size+1)

    Theta2 = nn_params[hidden_layer_size*(input_layer_size+1):length].reshape(num_labels,hidden_layer_size+1)

    m = X.shape[0]

    class_y = np.zeros((m,num_labels))      # 数据的y对应0-9,需要映射为0/1的关系    

    # 映射y

    for i in range(num_labels):

        class_y[:,i] = np.int32(y==i).reshape(1,-1) # 注意reshape(1,-1)才可以赋值

     

    '''去掉theta1和theta2的第一列,因为正则化时从1开始'''

    Theta1_colCount = Theta1.shape[1]    

    Theta1_x = Theta1[:,1:Theta1_colCount]

    Theta2_colCount = Theta2.shape[1]    

    Theta2_x = Theta2[:,1:Theta2_colCount]

    

    Theta1_grad = np.zeros((Theta1.shape))  #第一层到第二层的权重

    Theta2_grad = np.zeros((Theta2.shape))  #第二层到第三层的权重

    

    Theta1[:,0] = 0;

    Theta2[:,0] = 0;

    '''正向传播,每次需要补上一列1的偏置bias'''

    a1 = np.hstack((np.ones((m,1)),X))

    z2 = np.dot(a1,np.transpose(Theta1))

    a2 = sigmoid(z2)

    a2 = np.hstack((np.ones((m,1)),a2))

    z3 = np.dot(a2,np.transpose(Theta2))

    h  = sigmoid(z3)

    

    '''反向传播,delta为误差,'''

    delta3 = np.zeros((m,num_labels))

    delta2 = np.zeros((m,hidden_layer_size))

    for i in range(m):

        delta3[i,:] = h[i,:]-class_y[i,:]

        Theta2_grad = Theta2_grad+np.dot(np.transpose(delta3[i,:].reshape(1,-1)),a2[i,:].reshape(1,-1))

        delta2[i,:] = np.dot(delta3[i,:].reshape(1,-1),Theta2_x)*sigmoidGradient(z2[i,:])

        Theta1_grad = Theta1_grad+np.dot(np.transpose(delta2[i,:].reshape(1,-1)),a1[i,:].reshape(1,-1))

    

    '''梯度'''

    grad = (np.vstack((Theta1_grad.reshape(-1,1),Theta2_grad.reshape(-1,1)))+Lambda*np.vstack((Theta1.reshape(-1,1),Theta2.reshape(-1,1))))/m

    return np.ravel(grad)


5、BP可以求梯度的原因


实际是利用了链式求导法则


因为下一层的单元利用上一层的单元作为输入进行计算


大体的推导过程如下,最终我们是想预测函数与已知的y非常接近,求均方差的梯度沿着此梯度方向可使代价函数最小化。可对照上面求梯度的过程。 



求误差更详细的推导过程: 



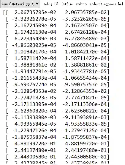
6、梯度检查


检查利用BP求的梯度是否正确


利用导数的定义验证: 


求出来的数值梯度应该与BP求出的梯度非常接近


验证BP正确后就不需要再执行验证梯度的算法了


实现代码:


# 检验梯度是否计算正确

# 检验梯度是否计算正确

def checkGradient(Lambda = 0):

    '''构造一个小型的神经网络验证,因为数值法计算梯度很浪费时间,而且验证正确后之后就不再需要验证了'''

    input_layer_size = 3

    hidden_layer_size = 5

    num_labels = 3

    m = 5

    initial_Theta1 = debugInitializeWeights(input_layer_size,hidden_layer_size); 

    initial_Theta2 = debugInitializeWeights(hidden_layer_size,num_labels)

    X = debugInitializeWeights(input_layer_size-1,m)

    y = 1+np.transpose(np.mod(np.arange(1,m+1), num_labels))# 初始化y

    

    y = y.reshape(-1,1)

    nn_params = np.vstack((initial_Theta1.reshape(-1,1),initial_Theta2.reshape(-1,1)))  #展开theta 

    '''BP求出梯度'''

    grad = nnGradient(nn_params, input_layer_size, hidden_layer_size, 

                     num_labels, X, y, Lambda)  

    '''使用数值法计算梯度'''

    num_grad = np.zeros((nn_params.shape[0]))

    step = np.zeros((nn_params.shape[0]))

    e = 1e-4

    for i in range(nn_params.shape[0]):

        step[i] = e

        loss1 = nnCostFunction(nn_params-step.reshape(-1,1), input_layer_size, hidden_layer_size, 

                              num_labels, X, y, 

                              Lambda)

        loss2 = nnCostFunction(nn_params+step.reshape(-1,1), input_layer_size, hidden_layer_size, 

                              num_labels, X, y, 

                              Lambda)

        num_grad[i] = (loss2-loss1)/(2*e)

        step[i]=0

    # 显示两列比较

    res = np.hstack((num_grad.reshape(-1,1),grad.reshape(-1,1)))

    print res


7、权重的随机初始化


神经网络不能像逻辑回归那样初始化theta为0,因为若是每条边的权重都为0,每个神经元都是相同的输出,在反向传播中也会得到同样的梯度,最终只会预测一种结果。


所以应该初始化为接近0的数


实现代码


# 随机初始化权重theta

def randInitializeWeights(L_in,L_out):

    W = np.zeros((L_out,1+L_in))    # 对应theta的权重

    epsilon_init = (6.0/(L_out+L_in))**0.5

    W = np.random.rand(L_out,1+L_in)*2*epsilon_init-epsilon_init # np.random.rand(L_out,1+L_in)产生L_out*(1+L_in)大小的随机矩阵

    return W


8、预测


正向传播预测结果


实现代码


# 预测

def predict(Theta1,Theta2,X):

    m = X.shape[0]

    num_labels = Theta2.shape[0]

    #p = np.zeros((m,1))

    '''正向传播,预测结果'''

    X = np.hstack((np.ones((m,1)),X))

    h1 = sigmoid(np.dot(X,np.transpose(Theta1)))

    h1 = np.hstack((np.ones((m,1)),h1))

    h2 = sigmoid(np.dot(h1,np.transpose(Theta2)))

    

    '''

    返回h中每一行最大值所在的列号

    - np.max(h, axis=1)返回h中每一行的最大值(是某个数字的最大概率)

    - 最后where找到的最大概率所在的列号(列号即是对应的数字)

    '''

    #np.savetxt("h2.csv",h2,delimiter=',')

    p = np.array(np.where(h2[0,:] == np.max(h2, axis=1)[0]))  

    for i in np.arange(1, m):

        t = np.array(np.where(h2[i,:] == np.max(h2, axis=1)[i]))

        p = np.vstack((p,t))

    return p 


9、输出结果


梯度检查:



随机显示100个手写数字



显示theta1权重



训练集预测准确度


归一化后训练集预测准确度




四、SVM支持向量机


1、代价函数


在逻辑回归中,我们的代价为:



其中:



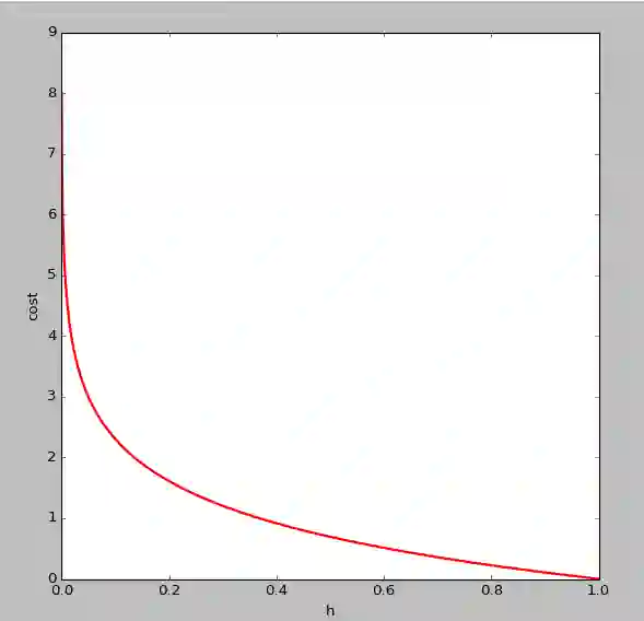
如图所示,如果y=1,cost代价函数如图所示



我们想让,即z>>0,这样的话cost代价函数才会趋于最小(这是我们想要的),所以用途中红色的函数代替逻辑回归中的cost


当y=0时同样,用代替 



最终得到的代价函数为:



最后我们想要


之前我们逻辑回归中的代价函数为:



可以认为这里的,只是表达形式问题,这里C的值越大,SVM的决策边界的margin也越大,下面会说明


2、Large Margin


如下图所示,SVM分类会使用最大的margin将其分开



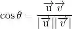
先说一下向量内积



表示u的欧几里得范数(欧式范数),


向量V在向量u上的投影的长度记为p,则:向量内积:




根据向量夹角公式推导一下即可,


前面说过,当C越大时,margin也就越大,我们的目的是最小化代价函数J(θ),当margin最大时,C的乘积项



要很小,所以近似为:



我们最后的目的就是求使代价最小的θ




可以得到:



p即为x在θ上的投影


如下图所示,假设决策边界如图,找其中的一个点,到θ上的投影为p,则或者,若是p很小,则需要很大,这与我们要求的θ使最小相违背,所以最后求的是large margin



3、SVM Kernel(核函数)


对于线性可分的问题,使用线性核函数即可


对于线性不可分的问题,在逻辑回归中,我们是将feature映射为使用多项式的形式,SVM中也有多项式核函数,但是更常用的是高斯核函数,也称为RBF核


高斯核函数为:


假设如图几个点, 

 令:

 . . .


可以看出,若是x与距离较近,==》,(即相似度较大),若是x与距离较远,==》,(即相似度较低)


高斯核函数的σ越小,f下降的越快


 

如何选择初始的


训练集:


选择:


对于给出的x,计算f,令:


所以:


最小化J求出θ,



如果,==》预测y=1


4、使用scikit-learn中的SVM模型代码


全部代码

https://github.com/lawlite19/MachineLearning_Python/blob/master/SVM/SVM_scikit-learn.py


线性可分的,指定核函数为linear:


'''data1——线性分类'''

data1 = spio.loadmat('data1.mat')

X = data1['X']

y = data1['y']

y = np.ravel(y)

plot_data(X,y)

    

model = svm.SVC(C=1.0,kernel='linear').fit(X,y) # 指定核函数为线性核函数


非线性可分的,默认核函数为rbf


'''data2——非线性分类'''

data2 = spio.loadmat('data2.mat')

X = data2['X']

y = data2['y']

y = np.ravel(y)

plt = plot_data(X,y)

plt.show()

    

model = svm.SVC(gamma=100).fit(X,y)     # gamma为核函数的系数,值越大拟合的越好


5、运行结果


线性可分的决策边界:



线性不可分的决策边界:




五、K-Means聚类算法


全部代码

https://github.com/lawlite19/MachineLearning_Python/blob/master/K-Means/K-Menas.py


1、聚类过程


聚类属于无监督学习,不知道y的标记分为K类


K-Means算法分为两个步骤


第一步:簇分配,随机选K个点作为中心,计算到这K个点的距离,分为K个簇


第二步:移动聚类中心:重新计算每个簇的中心,移动中心,重复以上步骤。


如下图所示:


随机分配的聚类中心



重新计算聚类中心,移动一次



最后10步之后的聚类中心



计算每条数据到哪个中心最近实现代码:


# 找到每条数据距离哪个类中心最近    

def findClosestCentroids(X,initial_centroids):

    m = X.shape[0]                  # 数据条数

    K = initial_centroids.shape[0]  # 类的总数

    dis = np.zeros((m,K))           # 存储计算每个点分别到K个类的距离

    idx = np.zeros((m,1))           # 要返回的每条数据属于哪个类

    

    '''计算每个点到每个类中心的距离'''

    for i in range(m):

        for j in range(K):

            dis[i,j] = np.dot((X[i,:]-initial_centroids[j,:]).reshape(1,-1),(X[i,:]-initial_centroids[j,:]).reshape(-1,1))

    

    '''返回dis每一行的最小值对应的列号,即为对应的类别

    - np.min(dis, axis=1)返回每一行的最小值

    - np.where(dis == np.min(dis, axis=1).reshape(-1,1)) 返回对应最小值的坐标

     - 注意:可能最小值对应的坐标有多个,where都会找出来,所以返回时返回前m个需要的即可(因为对于多个最小值,属于哪个类别都可以)

    '''  

    dummy,idx = np.where(dis == np.min(dis, axis=1).reshape(-1,1))

    return idx[0:dis.shape[0]]  # 注意截取一下


计算类中心实现代码:


# 计算类中心

def computerCentroids(X,idx,K):

    n = X.shape[1]

    centroids = np.zeros((K,n))

    for i in range(K):

        centroids[i,:] = np.mean(X[np.ravel(idx==i),:], axis=0).reshape(1,-1)   # 索引要是一维的,axis=0为每一列,idx==i一次找出属于哪一类的,然后计算均值

    return centroids


2、目标函数


也叫做失真代价函数



最后我们想得到:


其中表示第i条数据距离哪个类中心最近,其中即为聚类的中心


3、聚类中心的选择


随机初始化,从给定的数据中随机抽取K个作为聚类中心


随机一次的结果可能不好,可以随机多次,最后取使代价函数最小的作为中心


实现代码:(这里随机一次)


# 初始化类中心--随机取K个点作为聚类中心

def kMeansInitCentroids(X,K):

    m = X.shape[0]

    m_arr = np.arange(0,m)      # 生成0-m-1

    centroids = np.zeros((K,X.shape[1]))

    np.random.shuffle(m_arr)    # 打乱m_arr顺序    

    rand_indices = m_arr[:K]    # 取前K个

    centroids = X[rand_indices,:]

    return centroids


4、聚类个数K的选择


聚类是不知道y的label的,所以不知道真正的聚类个数


肘部法则(Elbow method)


作代价函数J和K的图,若是出现一个拐点,如下图所示,K就取拐点处的值,下图此时K=3 



若是很平滑就不明确,人为选择。


第二种就是人为观察选择


5、应用——图片压缩


将图片的像素分为若干类,然后用这个类代替原来的像素值


执行聚类的算法代码:


# 聚类算法

def runKMeans(X,initial_centroids,max_iters,plot_process):

    m,n = X.shape                   # 数据条数和维度

    K = initial_centroids.shape[0]  # 类数

    centroids = initial_centroids   # 记录当前类中心

    previous_centroids = centroids  # 记录上一次类中心

    idx = np.zeros((m,1))           # 每条数据属于哪个类

    

    for i in range(max_iters):      # 迭代次数

        print u'迭代计算次数:%d'%(i+1)

        idx = findClosestCentroids(X, centroids)

        if plot_process:    # 如果绘制图像

            plt = plotProcessKMeans(X,centroids,previous_centroids) # 画聚类中心的移动过程

            previous_centroids = centroids  # 重置

        centroids = computerCentroids(X, idx, K)    # 重新计算类中心

    if plot_process:    # 显示最终的绘制结果

        plt.show()

    return centroids,idx    # 返回聚类中心和数据属于哪个类


6、使用scikit-learn库中的线性模型实现聚类

https://github.com/lawlite19/MachineLearning_Python/blob/master/K-Means/K-Means_scikit-learn.py


导入包

from sklearn.cluster import KMeans 


使用模型拟合数据

model = KMeans(n_clusters=3).fit(X) # n_clusters指定3类,拟合数据 


聚类中心

centroids = model.cluster_centers_  # 聚类中心 


7、运行结果


二维数据类中心的移动



图片压缩




六、PCA主成分分析(降维)


全部代码

https://github.com/lawlite19/MachineLearning_Python/blob/master/PCA/PCA.py


1、用处


数据压缩(Data Compression),使程序运行更快


可视化数据,例如3D-->2D等

......


2、2D-->1D,nD-->kD


如下图所示,所有数据点可以投影到一条直线,是投影距离的平方和(投影误差)最小 



注意数据需要归一化处理


思路是找1个向量u,所有数据投影到上面使投影距离最小


那么nD-->kD就是找k个向量


所有数据投影到上面使投影误差最小


eg:3D-->2D,2个向量


就代表一个平面了,所有点投影到这个平面的投影误差最小即可


3、主成分分析PCA与线性回归的区别


线性回归是找x与y的关系,然后用于预测y


PCA是找一个投影面,最小化data到这个投影面的投影误差


4、PCA降维过程


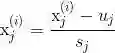
数据预处理(均值归一化)


公式:


就是减去对应feature的均值,然后除以对应特征的标准差(也可以是最大值-最小值)


实现代码:


# 归一化数据

   def featureNormalize(X):

       '''(每一个数据-当前列的均值)/当前列的标准差'''

       n = X.shape[1]

       mu = np.zeros((1,n));

       sigma = np.zeros((1,n))

       

       mu = np.mean(X,axis=0)

       sigma = np.std(X,axis=0)

       for i in range(n):

           X[:,i] = (X[:,i]-mu[i])/sigma[i]

       return X,mu,sigma


计算协方差矩阵Σ(Covariance Matrix):



注意这里的Σ和求和符号不同


协方差矩阵对称正定(不理解正定的看看线代)


大小为nxn,n为feature的维度


实现代码:

Sigma = np.dot(np.transpose(X_norm),X_norm)/m  # 求Sigma 


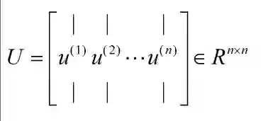
计算Σ的特征值和特征向量


可以是用svd奇异值分解函数:U,S,V = svd(Σ)


返回的是与Σ同样大小的对角阵S(由Σ的特征值组成)[注意:matlab中函数返回的是对角阵,在python中返回的是一个向量,节省空间]


还有两个酉矩阵U和V,且



注意:svd函数求出的S是按特征值降序排列的,若不是使用svd,需要按特征值大小重新排列U


降维


选取U中的前K列(假设要降为K维)



Z就是对应降维之后的数据


实现代码:


# 映射数据

   def projectData(X_norm,U,K):

       Z = np.zeros((X_norm.shape[0],K))

       

       U_reduce = U[:,0:K]          # 取前K个

       Z = np.dot(X_norm,U_reduce) 

       return Z


过程总结:

Sigma = X'*X/m

U,S,V = svd(Sigma)

Ureduce = U[:,0:k]

Z = Ureduce'*x


5、数据恢复


因为:


所以: (注意这里是X的近似值)


又因为Ureduce为正定矩阵,【正定矩阵满足:,所以:】,


所以这里:


实现代码:

# 恢复数据 

    def recoverData(Z,U,K):

        X_rec = np.zeros((Z.shape[0],U.shape[0]))

        U_recude = U[:,0:K]

        X_rec = np.dot(Z,np.transpose(U_recude))  # 还原数据(近似)

        return X_rec


6、主成分个数的选择(即要降的维度)


如何选择


投影误差(project error):


总变差(total variation):


若误差率(error ratio):,则称99%保留差异性


误差率一般取1%,5%,10%等


如何实现


若是一个个试的话代价太大


之前U,S,V = svd(Sigma),我们得到了S,这里误差率error ratio:



可以一点点增加K尝试。


7、使用建议


不要使用PCA去解决过拟合问题Overfitting,还是使用正则化的方法(如果保留了很高的差异性还是可以的)


只有在原数据上有好的结果,但是运行很慢,才考虑使用PCA


8、运行结果


2维数据降为1维


要投影的方向



2D降为1D及对应关系



人脸数据降维


原始数据



可视化部分U矩阵信息



恢复数据



9、使用scikit-learn库中的PCA实现降维

https://github.com/lawlite19/MachineLearning_Python/blob/master/PCA/PCA.py_scikit-learn.py


导入需要的包:


#-*- coding: utf-8 -*-

# Author:bob

# Date:2016.12.22

import numpy as np

from matplotlib import pyplot as plt

from scipy import io as spio

from sklearn.decomposition import pca

from sklearn.preprocessing import StandardScaler


归一化数据

'''归一化数据并作图'''     

scaler = StandardScaler()     

scaler.fit(X)    

 x_train = scaler.transform(X) 


使用PCA模型拟合数据,并降维


n_components对应要将的维度

'''拟合数据'''

K=1 # 要降的维度

model = pca.PCA(n_components=K).fit(x_train)   # 拟合数据,n_components定义要降的维度

Z = model.transform(x_train)    # transform就会执行降维操作


数据恢复


model.components_会得到降维使用的U矩阵


 '''数据恢复并作图'''     

Ureduce = model.components_     # 得到降维用的Ureduce     

x_rec = np.dot(Z,Ureduce)       # 数据恢复 



七、异常检测 Anomaly Detection


全部代码

https://github.com/lawlite19/MachineLearning_Python/blob/master/AnomalyDetection/AnomalyDetection.py


1、高斯分布(正态分布)Gaussian distribution


分布函数:


其中,u为数据的均值,σ为数据的标准差


σ越小,对应的图像越尖


参数估计(parameter estimation)




2、异常检测算法


例子


训练集:,其中


假设


相互独立,建立model模型:


过程


选择具有代表异常的feature:xi


参数估计:


计算p(x),若是P(x)<ε则认为异常,其中ε为我们要求的概率的临界值threshold

这里只是单元高斯分布,假设了feature之间是独立的,下面会讲到多元高斯分布,会自动捕捉到feature之间的关系


参数估计实现代码


# 参数估计函数(就是求均值和方差)

def estimateGaussian(X):

    m,n = X.shape

    mu = np.zeros((n,1))

    sigma2 = np.zeros((n,1))

    

    mu = np.mean(X, axis=0) # axis=0表示列,每列的均值

    sigma2 = np.var(X,axis=0) # 求每列的方差

    return mu,sigma2


3、评价p(x)的好坏,以及ε的选取


对偏斜数据的错误度量


因为数据可能是非常偏斜的(就是y=1的个数非常少,(y=1表示异常)),所以可以使用Precision/Recall,计算F1Score(在CV交叉验证集上)


例如:预测癌症,假设模型可以得到99%能够预测正确,1%的错误率,但是实际癌症的概率很小,只有0.5%,那么我们始终预测没有癌症y=0反而可以得到更小的错误率。使用error rate来评估就不科学了。


如下图记录:


,即:正确预测正样本/所有预测正样本


,即:正确预测正样本/真实值为正样本


总是让y=1(较少的类),计算Precision和Recall



还是以癌症预测为例,假设预测都是no-cancer,TN=199,FN=1,TP=0,FP=0,所以:Precision=0/0,Recall=0/1=0,尽管accuracy=199/200=99.5%,但是不可信。


ε的选取


尝试多个ε值,使F1Score的值高


实现代码


# 选择最优的epsilon,即:使F1Score最大    

def selectThreshold(yval,pval):

    '''初始化所需变量'''

    bestEpsilon = 0.

    bestF1 = 0.

    F1 = 0.

    step = (np.max(pval)-np.min(pval))/1000

    '''计算'''

    for epsilon in np.arange(np.min(pval),np.max(pval),step):

        cvPrecision = pval<epsilon

        tp = np.sum((cvPrecision == 1) & (yval == 1)).astype(float)  # sum求和是int型的,需要转为float

        fp = np.sum((cvPrecision == 1) & (yval == 0)).astype(float)

        fn = np.sum((cvPrecision == 1) & (yval == 0)).astype(float)

        precision = tp/(tp+fp)  # 精准度

        recision = tp/(tp+fn)   # 召回率

        F1 = (2*precision*recision)/(precision+recision)  # F1Score计算公式

        if F1 > bestF1:  # 修改最优的F1 Score

            bestF1 = F1

            bestEpsilon = epsilon

    return bestEpsilon,bestF1


4、选择使用什么样的feature(单元高斯分布)


如果一些数据不是满足高斯分布的,可以变化一下数据,例如log(x+C),x^(1/2)等


如果p(x)的值无论异常与否都很大,可以尝试组合多个feature,(因为feature之间可能是有关系的)


5、多元高斯分布


单元高斯分布存在的问题


如下图,红色的点为异常点,其他的都是正常点(比如CPU和memory的变化)



x1对应的高斯分布如下:



x2对应的高斯分布如下:



可以看出对应的p(x1)和p(x2)的值变化并不大,就不会认为异常


因为我们认为feature之间是相互独立的,所以如上图是以正圆的方式扩展


多元高斯分布


,并不是建立p(x1),p(x2)...p(xn),而是统一建立p(x)


其中参数:,Σ为协方差矩阵



同样,|Σ|越小,p(x)越尖


例如:



表示x1,x2正相关,即x1越大,x2也就越大,如下图,也就可以将红色的异常点检查出了 



若:


表示x1,x2负相关


实现代码:


# 多元高斯分布函数    

def multivariateGaussian(X,mu,Sigma2):

    k = len(mu)

    if (Sigma2.shape[0]>1):

        Sigma2 = np.diag(Sigma2)

    '''多元高斯分布函数'''    

    X = X-mu

    argu = (2*np.pi)**(-k/2)*np.linalg.det(Sigma2)**(-0.5)

    p = argu*np.exp(-0.5*np.sum(np.dot(X,np.linalg.inv(Sigma2))*X,axis=1))  # axis表示每行

    return p


6、单元和多元高斯分布特点


单元高斯分布


人为可以捕捉到feature之间的关系时可以使用


计算量小


多元高斯分布


自动捕捉到相关的feature


计算量大,因为:


m>n或Σ可逆时可以使用。(若不可逆,可能有冗余的x,因为线性相关,不可逆,或者就是m<n)


7、程序运行结果


显示数据



等高线



异常点标注



原文:https://github.com/lawlite19/MachineLearning_Python#

↓ 点击阅读原文,进入【全球人工智能学院]

登录查看更多
6

相关内容

在数学优化,统计学,计量经济学,决策理论,机器学习和计算神经科学中,代价函数,又叫损失函数或成本函数,它是将一个或多个变量的事件阈值映射到直观地表示与该事件。 一个优化问题试图最小化损失函数。 目标函数是损失函数或其负值,在这种情况下它将被最大化。
【实用书】Python机器学习Scikit-Learn应用指南,247页pdf
专知会员服务
270+阅读 · 2020年6月10日
专知会员服务
142+阅读 · 2020年5月19日
Sklearn 与 TensorFlow 机器学习实用指南,385页pdf
专知会员服务
131+阅读 · 2020年3月15日
《深度学习》圣经花书的数学推导、原理与Python代码实现
算法与数据结构Python,369页pdf
专知会员服务
166+阅读 · 2020年3月4日
【新书】Pro 机器学习算法Python实现,379页pdf
专知会员服务
204+阅读 · 2020年2月11日
盘一盘 Python 系列 8 - Sklearn
平均机器
5+阅读 · 2019年5月30日
sklearn 与分类算法
人工智能头条
7+阅读 · 2019年3月12日
用Python实现流行机器学习算法
Python程序员
21+阅读 · 2018年12月31日
用Python实现线性回归,8种方法哪个最高效?
七月在线实验室
7+阅读 · 2018年4月19日
学会这10种机器学习算法,你才算入门(附教程)
七月在线实验室
4+阅读 · 2018年4月13日
最适合机器学习新手的10种算法
论智
9+阅读 · 2018年1月23日
动手写机器学习算法:异常检测 Anomaly Detection
七月在线实验室
11+阅读 · 2017年12月8日
动手写机器学习算法:SVM支持向量机(附代码)
七月在线实验室
12+阅读 · 2017年12月5日
机器学习(7)之感知机python实现
机器学习算法与Python学习
4+阅读 · 2017年7月23日
神经网络理论基础及 Python 实现
Python开发者
6+阅读 · 2017年7月15日
A Survey on Bayesian Deep Learning
Arxiv
64+阅读 · 2020年7月2日
A Comprehensive Survey on Transfer Learning
Arxiv
121+阅读 · 2019年11月7日
Arxiv
18+阅读 · 2019年1月16日
Adaptive Neural Trees
Arxiv
4+阅读 · 2018年12月10日
Arxiv
26+阅读 · 2018年2月27日
VIP会员
相关VIP内容
【实用书】Python机器学习Scikit-Learn应用指南,247页pdf
专知会员服务
270+阅读 · 2020年6月10日
专知会员服务
142+阅读 · 2020年5月19日
Sklearn 与 TensorFlow 机器学习实用指南,385页pdf
专知会员服务
131+阅读 · 2020年3月15日
《深度学习》圣经花书的数学推导、原理与Python代码实现
算法与数据结构Python,369页pdf
专知会员服务
166+阅读 · 2020年3月4日
【新书】Pro 机器学习算法Python实现,379页pdf
专知会员服务
204+阅读 · 2020年2月11日
相关资讯
盘一盘 Python 系列 8 - Sklearn
平均机器
5+阅读 · 2019年5月30日
sklearn 与分类算法
人工智能头条
7+阅读 · 2019年3月12日
用Python实现流行机器学习算法
Python程序员
21+阅读 · 2018年12月31日
用Python实现线性回归,8种方法哪个最高效?
七月在线实验室
7+阅读 · 2018年4月19日
学会这10种机器学习算法,你才算入门(附教程)
七月在线实验室
4+阅读 · 2018年4月13日
最适合机器学习新手的10种算法
论智
9+阅读 · 2018年1月23日
动手写机器学习算法:异常检测 Anomaly Detection
七月在线实验室
11+阅读 · 2017年12月8日
动手写机器学习算法:SVM支持向量机(附代码)
七月在线实验室
12+阅读 · 2017年12月5日
机器学习(7)之感知机python实现
机器学习算法与Python学习
4+阅读 · 2017年7月23日
神经网络理论基础及 Python 实现
Python开发者
6+阅读 · 2017年7月15日
Top
微信扫码咨询专知VIP会员