Reformer:一个高效的 Transformer

2020 年 2 月 14 日 AINLP

文 / Nikita Kitaev, 学生研究员, 加利福尼亚大学伯克利分校与 Łukasz Kaiser, 研究科学家, Google Research 

理解语言、音乐或视频之类序列数据 (Sequential Data) 的任务充满挑战,尤其是当这些数据依赖于时间跨度较广的上下文时。


例如,在一个视频中,如果某个人或某个物体在消失很长一段时间后才重新出现,许多模型会忘记它的样子。而在语言领域,长短期记忆 (LSTM) 神经网络会考虑足够多的上下文来执行逐句翻译。在这种情况下,上下文窗口 (Context Window) 的范围(即翻译中考虑的数据范围)会涵盖数十到上百个单词。


最新的 Transformer 模型不仅提高了逐句翻译的性能,而且可以用于通过多文档摘要生成完整的 Wikipedia 文章。由于 Transformer 使用的上下文窗口扩展到了数千个单词,使上述情景得以实现。凭借宽泛的上下文窗口,Transformer 的应用范围从文本扩展到了包括像素、音符在内的其他场景,可以用于生成音乐图像


但是,Transformer 的上下文窗口有限制范围。


Transformer 的强大来源于 注意力 (Attention) 机制,通过这一机制,Transformer 将上下文窗口内所有可能的单词对纳入考虑,以理解它们之间的联系。因此,如果文本包含 10 万个单词,Transformer 将需要评估 100 亿单词对(10 万 x 10 万),这显然不切实际。另一个实践问题是如何保存每个模型层的输出。对于使用大型上下文窗口的应用来说,存储多个模型层输出的内存需求会迅速变得过大(从几层模型层的数 G 级别到数千层模型层的数 T 级别)。这意味着,实际使用大量层的 Transformer 模型只能用于生成几小段落的文本或一小段的音乐。


今天,我们推出了 Reformer,一个设计为处理多达 100 万单词的上下文窗口的 Transformer 模型,所有工作在单个加速器上进行且仅使用 16 GB 内存。此模型将综合运用两种关键技术来解决 Transformer 在长上下文窗口的注意力和内存分配问题的应用限制。Reformer 使用局部敏感哈希 (Locality-Sensitive-Hashing, LSH) 来降低长序列的处理复杂度和可逆残差层,从而更有效地使用可用内存。



注意力问题

将 Transformer 模型应用于宽范围的文本序列时,第一个挑战是如何处理注意力层。

局部敏感哈希的挑战在于通过计算向量匹配哈希函数,而不是搜索所有可能的向量。例如,在翻译任务中,来自网络首层的每个向量表示一个单词(甚至是后续层中更大量的上下文),而不同语言中相同单词的向量可获得相同的哈希值。

在下图中,不同的颜色表示不同的哈希值,相似的词则具有相同的颜色。分配哈希值后,序列重新排列,将具有相同哈希值的元素放在一起,再分为多个片段(或多个区块)以实现并行处理。然后在这些短得多的区块(及其相近邻块以覆盖溢出)内应用注意力,从而大大降低计算负载。

局部敏感哈希:Reformer 接收 Key 的序列,其中每个键值代表首层中每个单词(在图像的情况下为像素)和后续层中大量的上下文向量。将局部敏感哈希应用到序列之后,依照键值的哈希值对其排序并分块。注意力仅针对于单个区块及其直接邻块



内存问题

虽然局部敏感哈希解决了注意力问题,但仍然存在内存问题。


一个单层的网络一般需要多达几 GB 的内存以及单个 GPU,因此,单层能够执行长序列的单模型。但是,当使用梯度下降训练多层模型时,由于需要保存每一层的激活(函数),以用于执行逆推。一个传统的 Transformer 模型具有十几个或更多的层,通过缓存这些层的值,内存将会很快用完。


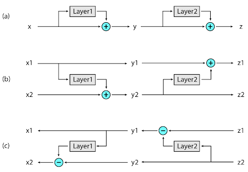
第二种 Reformer 中实现的新方法是在反向传播期 (Back-Propagation) 间,按需重新计算每个层的输入,而不是将其保存在内存中。这是使用可逆层来实现的,其中来自网络最后一层的激活 (Activation) 用于还原来自任何中间层的激活 (Activation),这相当于反向运行网络。


在典型的残差网络中,通过网络传递的输入将会向堆栈中的每一层不断添加至向量。相反,可逆层中每个层有两组激活。一组遵循刚才描述的标准过程,从一层逐步更新到下一层,但是另一组仅捕获第一层的变更。因此,若要反向运行网络,只需简单地减去每一层应用的激活。

可逆层:(图 a)在标准残差网络中,每一层的激活用于将输入更新到下一层。(图 b)在可逆网络中,将会维持两组激活,只有其中一组逐层更新。(图 c)这种方法可使网络反向运行,以还原所有中间值



Reformer 的应用

这两种新方法能让 Reformer 具有更高的效率,可以在仅有 16GB 内存的单个加速器上处理长达一百万个单词的文本序列。正因为 Reformer 的高效率,可以被直接应用于上下文窗口远大于任何最新 (SOTA) 文本域数据集的数据。借助 Reformer 能处理如此大规模数据集的能力,可促进社区创建大规模数据集的速度。


在不缺乏大规模上下文数据的领域中,我们选择图像生成作为我们实验 Reformer 的对象。在这份 Colab 笔记[1]中,我们提供了一些示例,说明如何使用 Reformer 将部分图像变得“完整”。从下图上行所示的图像片段开始,Reformer 可以逐像素生成全画幅图像(下行)。

上行:用于输入 Reformer 的图像片段。下行:“已完成的”全画幅图像。原始图像来源于 Imagenet64 数据集


Reformer 不仅仅在处理图像和视频任务中的应用有巨大的潜力,其在文本中的应用更加令人兴奋。Reformer 可以在单一设备上一次处理完整部小说。这份 Colab 笔记[2]演示了在单个训练示例中处理《罪与罚》(Crime and Punishment) 的全部内容。将来会有更多的带有长文本的数据集需要训练,诸如 Reformer 之类的技术让生成条理清楚的长篇作品成为可能。



结论

我们相信,无论是在长文本还是自然语言处理之外的应用,Reformer 为将来使用 Transformer 模型提供了基础。


遵循公开研究的传统,我们已经开始探索如何将 Reformer 应用于更长的序列以及如何改善位置编码的处理。阅读这篇 Reformer 论文(选自 ICLR 2020 上的口头演讲),探索我们的代码并生成自己的创意。


虽然深度学习中尚未广泛使用长上下文数据集,但在现实世界中比比皆是。也许这可以激发您找到 Reformer 的新应用,这份 Colab 笔记[3]可作为您的起点,如果遇到任何问题或疑问,欢迎与我们沟通



致谢

此项研究由 Nikita Kitaev、Łukasz Kaiser 和 Anselm Levskaya 共同完成。另外还要感谢 Afroz Mohiuddin、Jonni Kanerva 和 Piotr Kozakowski 在 Trax 上的工作,并感谢整个 JAX 团队的支持。



如果您想详细了解 本文提及 的相关内容,请参阅以下文档。这些文档深入探讨了这篇文章中提及的许多主题:

  • 逐句翻译
    https://ai.googleblog.com/2016/09/a-neural-network-for-machine.html

  • Transformer 模型
    https://ai.googleblog.com/2017/08/transformer-novel-neural-network.html

  • 完整的 Wikipedia 文章
    https://arxiv.org/abs/1801.10198

  • 音乐
    https://magenta.tensorflow.org/music-transformer

  • 图像
    https://ai.google/research/pubs/pub46840/

  • Reformer
    https://github.com/google/trax/tree/master/trax/models/reformer

  • 可逆残差层
    https://arxiv.org/abs/1707.04585

  • 可逆层
    https://arxiv.org/abs/1707.04585

  • Colab 笔记[1]
    https://colab.research.google.com/github/google/trax/blob/master/trax/models/reformer/image_generation.ipynb

  • Imagenet64 数据集
    https://arxiv.org/abs/1707.08819

  •  Colab 笔记[2]
    https://colab.research.google.com/github/google/trax/blob/master/trax/models/reformer/text_generation.ipynb

  • 公开研究
    https://twitter.com/jekbradbury/status/962121602421829632

  • 更长的序列
    https://github.com/google/trax/blob/master/trax/models/reformer/reformer.py#L616

  • 改善位置编码的处理
    https://github.com/google/trax/blob/master/trax/models/research/position_lookup_transformer.py

  • Reformer 论文
    https://arxiv.org/abs/2001.04451

  • 我们的代码
    https://github.com/google/trax

  • Colab 笔记[3]
    https://colab.research.google.com/github/google/trax/blob/master/trax/intro.ipynb

  • 与我们沟通
    https://gitter.im/trax-ml/community





本文转载自公众号TensorFlow,作者Google AI


推荐阅读

AINLP年度阅读收藏清单

ALBERT:用于语言表征自监督学习的轻量级 BERT

中文NER任务实验小结报告——深入模型实现细节

大幅减少GPU显存占用:可逆残差网络(The Reversible Residual Network)

鼠年春节,用 GPT-2 自动写对联和对对联

transformer-XL与XLNet笔记

AINLP-DBC GPU 云服务器租用平台建立,价格足够便宜

征稿启示 | 稿费+GPU算力+星球嘉宾一个都不少

关于AINLP

AINLP 是一个有趣有AI的自然语言处理社区,专注于 AI、NLP、机器学习、深度学习、推荐算法等相关技术的分享,主题包括文本摘要、智能问答、聊天机器人、机器翻译、自动生成、知识图谱、预训练模型、推荐系统、计算广告、招聘信息、求职经验分享等,欢迎关注!加技术交流群请添加AINLP君微信(id:AINLP2),备注工作/研究方向+加群目的。



登录查看更多
0

相关内容

【Google】多模态Transformer视频检索,Multi-modal Transformer
专知会员服务
103+阅读 · 2020年7月22日
【ICML2020-西电】用于语言生成的递归层次主题引导RNN
专知会员服务
22+阅读 · 2020年6月30日
Transformer文本分类代码
专知会员服务
118+阅读 · 2020年2月3日
BERT进展2019四篇必读论文
专知会员服务
70+阅读 · 2020年1月2日
高效的文本生成方法 — LaserTagger 现已开源
TensorFlow
30+阅读 · 2020年2月27日
深度学习的下一步:Transformer和注意力机制
云头条
56+阅读 · 2019年9月14日
已删除
将门创投
11+阅读 · 2019年4月26日
Transformer-XL:释放注意力模型的潜力
谷歌开发者
31+阅读 · 2019年2月19日
CMU、谷歌提出Transformer-XL:学习超长上下文关系
机器之心
9+阅读 · 2019年1月18日
十分钟掌握Keras实现RNN的seq2seq学习
机器学习研究会
10+阅读 · 2017年10月13日
Arxiv
5+阅读 · 2019年8月22日
Arxiv
6+阅读 · 2019年7月11日
Universal Transformers
Arxiv
5+阅读 · 2019年3月5日
The Evolved Transformer
Arxiv
5+阅读 · 2019年1月30日
Music Transformer
Arxiv
5+阅读 · 2018年12月12日
Attend More Times for Image Captioning
Arxiv
6+阅读 · 2018年12月8日
VIP会员
相关资讯
高效的文本生成方法 — LaserTagger 现已开源
TensorFlow
30+阅读 · 2020年2月27日
深度学习的下一步:Transformer和注意力机制
云头条
56+阅读 · 2019年9月14日
已删除
将门创投
11+阅读 · 2019年4月26日
Transformer-XL:释放注意力模型的潜力
谷歌开发者
31+阅读 · 2019年2月19日
CMU、谷歌提出Transformer-XL:学习超长上下文关系
机器之心
9+阅读 · 2019年1月18日
十分钟掌握Keras实现RNN的seq2seq学习
机器学习研究会
10+阅读 · 2017年10月13日
相关论文
Arxiv
5+阅读 · 2019年8月22日
Arxiv
6+阅读 · 2019年7月11日
Universal Transformers
Arxiv
5+阅读 · 2019年3月5日
The Evolved Transformer
Arxiv
5+阅读 · 2019年1月30日
Music Transformer
Arxiv
5+阅读 · 2018年12月12日
Attend More Times for Image Captioning
Arxiv
6+阅读 · 2018年12月8日
Top
微信扫码咨询专知VIP会员