性能远超第二名0.29dB!RSDN,这个视频超分方法不讲武德!

2020 年 12 月 5 日 计算机视觉life

点击上方“计算机视觉life”,选择“星标”

快速获得最新干货

论文:循环结构细节网络的视频超分辨率

代码:https://github.com/junpan19/RSDN

文章检索出自:ECCV 2020

作者单位:清华大学、华为诺亚方舟实验室、悉尼大学

看点

本文提出了一种新颖的循环网络视频超分方法,该方法在VID4测试集上的最高PSNR值达到了恐怖的27.92,远远超过了第二名,亮点如下:

  1. 本文将输入分为结构和细节两部分,并将其输入一个由几个双流结构细节块组成的循环单元中。这样的策略不仅能够解决结构和细节成分的不同难点,而且在重建过程中能够对高频细节的恢复和边缘的强化进行灵活的监督。
  2. 为了充分利用隐藏状态下的时间信息,入了隐藏状态自适应模块,允许当前帧有选择地使用隐藏状态信息。

方法

网络架构

总体采用循环神经网络的架构,每一个循环单元的输入为[],其中h代表隐藏状态,S代表结构分量,D代表细节分量,每个循环单元的输出由四个部分组成,具体见下图。

循环单元

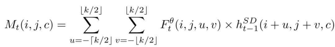
本文应用一对双三次下采样和上采样操作,从一个LR帧中提取结构分量 。细节分量 则可以计算为输入帧LR和结构分量之间的差值。前后两时刻的细节分量{ }与上一时刻输出的细节图 和隐藏状态 沿着通道轴串联。结构组件部分也是相同的操作,这两个部分的信息先分别通过一个3×3卷积层,然后通过几个结构细节(SD)块进一步融合。 表示经过几个SD块计算得到的特征。它穿过一个3×3卷积层和一个上采样层产生高分辨率细节分量 。结构分支的设计方法与此类似。 一起生成最终的隐藏状态和高分辨率图像。

结构细节块

为了比较细节残差块的优势,加入了(a)所示的修改残差块,为了使其适应两个分支,最简单的方法是有两个修改后的残差块,分别处理两个分支,如(b)所示。但是,这样每个分支只能看到特定于组件的信息,不能充分利用输入帧中的所有信息。因此,本文提出了结构细节(SD)块,如(c)所示。这两个组件首先被提供给两个独立的分支,然后通过加法操作进行组合。这样,它不仅专门用于每个组件,而且还促进了结构组件和细节组件之间的信息交换。

隐藏状态自适应模块(HSA)

对于每一个处于隐藏状态的单元,如果外观与当前帧相似,则应高亮显示,否则应该被抑制。该方法通过计算输入帧和隐藏状态之间的相关性来筛选前一帧中的有用信息,从而减轻了图像剧烈变化和误差累积的影响。具体说,空间滤波体是由输入图像进行卷积和激活得到的,size为H×W×(k×k),其中k为每个滤波器的大小,在空间滤波体第(i,j)位置的 个像素重组成k×k×1的滤波器对隐藏状态的第(i,j)位置进行滤波,公式如下:将得到的立方体输入进sigmoid激活函数中,得到相似矩阵立方体,和隐藏状态进行点乘,输出最终的自适应隐藏状态,如下:

损失函数

分别使用结构损失和细节损失来对训练进行监督,如下:其中, 分别表示结构损失,细节损失,超分损失,故总损失为:

实验

数据集

使用Vimeo-90K作为训练集,crop到256×256,采用BD降质。

训练细节

RSDN 5-128代表5个SD块,每个卷积层通道数为128。HSA中的k取3。输入帧为当前帧和前一帧,在开始处采取反射第二帧来进行初始化输出入。

消融实验

不同损失项权重的实验:不同模块的消融实验:

量化评估


专辑:计算机视觉方向简介

专辑:视觉SLAM入门

专辑:最新SLAM/三维视觉论文/开源

专辑:三维视觉/SLAM公开课

专辑:深度相机原理及应用

专辑:手机双摄头技术解析与应用

专辑:相机标定

专辑:全景相机

交流群

欢迎加入公众号读者群一起和同行交流,目前有SLAM、三维视觉、传感器自动驾驶、计算摄影、检测、分割、识别、医学影像、GAN算法竞赛等微信群(以后会逐渐细分),请扫描下面微信号加群,备注:”昵称+学校/公司+研究方向“,例如:”张三 + 上海交大 + 视觉SLAM“。请按照格式备注,否则不予通过。添加成功后会根据研究方向邀请进入相关微信群。请勿在群内发送广告,否则会请出群,谢谢理解~

投稿、合作也欢迎联系:simiter@126.com

扫描关注视频号,看最新技术落地及开源方案视频秀 ↓


登录查看更多
0

相关内容

专知会员服务
84+阅读 · 2020年12月18日
【AAAI2021】“可瘦身”的生成式对抗网络
专知会员服务
13+阅读 · 2020年12月12日
【CVPR2020】时序分组注意力视频超分
专知会员服务
31+阅读 · 2020年7月1日
【CVPR2020】跨模态哈希的无监督知识蒸馏
专知会员服务
61+阅读 · 2020年6月25日
【CVPR2020-CMU】无数据模型选择,一种深度框架潜力
专知会员服务
23+阅读 · 2020年4月12日
【经典书】数据结构与算法C++,第二版,738页pdf
专知会员服务
171+阅读 · 2020年3月27日
图像分割的U-Net系列方法
极市平台
56+阅读 · 2019年10月21日
图像超分辨率网络:RCAN
极市平台
7+阅读 · 2019年8月18日
CVPR2019 | FSAF:来自CMU的Single-Shot目标检测算法
极市平台
41+阅读 · 2019年3月8日
Arxiv
6+阅读 · 2017年12月7日
Arxiv
13+阅读 · 2017年12月5日
Arxiv
3+阅读 · 2017年10月1日
VIP会员
相关VIP内容
专知会员服务
84+阅读 · 2020年12月18日
【AAAI2021】“可瘦身”的生成式对抗网络
专知会员服务
13+阅读 · 2020年12月12日
【CVPR2020】时序分组注意力视频超分
专知会员服务
31+阅读 · 2020年7月1日
【CVPR2020】跨模态哈希的无监督知识蒸馏
专知会员服务
61+阅读 · 2020年6月25日
【CVPR2020-CMU】无数据模型选择,一种深度框架潜力
专知会员服务
23+阅读 · 2020年4月12日
【经典书】数据结构与算法C++,第二版,738页pdf
专知会员服务
171+阅读 · 2020年3月27日
相关资讯
图像分割的U-Net系列方法
极市平台
56+阅读 · 2019年10月21日
图像超分辨率网络:RCAN
极市平台
7+阅读 · 2019年8月18日
CVPR2019 | FSAF:来自CMU的Single-Shot目标检测算法
极市平台
41+阅读 · 2019年3月8日
Top
微信扫码咨询专知VIP会员