华为突破封锁,对标谷歌Dropout专利,开源自研算法Disout,多项任务表现更佳

2020 年 5 月 20 日 CVer

点击上方“CVer”,选择加"星标"或“置顶”

重磅干货,第一时间送达

乾明 金磊 发自 凹非寺 
来源:量子位(QbitAI)

美国持续封锁,华为的技术自研,已经深入到了AI底层算法层面上,并开始将研究成果面向业界开源。

刚刚,华为诺亚实验室开源Disout算法(地址在文末),直接对标谷歌申请专利的Dropout算法

而且,在多项任务上,华为的新算法都超过了Dropout。比如,在ImageNet上训练的ResNet-50可以达到78.76%的准确率,而谷歌Dropout系列方法仅为76.8%。

这一算法背后的论文,已被AAAI 2020收录,并对外公开。华为到底提出的Disout到底如何,也得以呈现。

华为自研Disout:多项AI任务超越Dropout

在申请专利时,谷歌将Dropout定义为“解决神经网络过拟合的系统和方法”。

其核心的思路是,训练神经网络前向传播过程中,Dropout能让某个神经元的激活值以一定的概率p停止工作,也就是“Drop”(丢弃),提升模型稳定性,来缓解过拟合现象。

Disout是提出的新型替代方案,是一种通过研究特征图扰动来增强深度神经网络的泛化能力的方法。

简单来说,就是根据网络中间层的Rademacher 复杂度(ERC),确定给定深度神经网络的泛化误差上界。

并将扰动引入特征图,来降低网络的Rademacher复杂度,从而提高其泛化能力。

它们之间的区别可以用下面这张图来展示——也就是对输出特征进行扰动,而不是丢弃。

相比之下,华为的方法效果更好。

Disout不但在传统视觉任务上表现优异,超越谷歌Dropout性能,在NLP任务以及语音处理任务上,同样具备有效性。

接下来,就让我们一起看下Disout在各个数据集上与Dropout系列方法的对比。

首先,CIFAR-10的和CIFAR-100数据上的测试准确率对比。

全连接层实验中,华为所提出的特征图扰动方法,训练CNN达到85.24%的准确度,相比于最新的RDdrop方法,测试准确率分别在CIFAR-10和CIFAR-100数据集上提高了2.13%和1.58%。

华为研究人员表示,他们提出的Disout方法可以有效地降低经验Rademacher的复杂度,同时保留模型的表示能力,从而具有较好的测试性能。

在卷积层实验上,华为的方法可以适用于卷积层,提高深度神经网络的性能,而且优于DropBlock方法,性能分别提高了0.32%和0.63%。

ImageNet 数据集实验中结果也显示,华为提出的特征扰动方法不仅可以替换常规的dropout方法提高深度神经网络的性能,而且可以提升最近提出的Dropblock方法的性能。

与传统的dropout方法相比,Disout将准确性从76.80%提高到77.71%,Block Disout方法达到了78.76%的top-1准确率,超过其他现有技术。

华为研究人员说,他们的方法可以在提高泛化能力并保留原始特征的有用信息。

此外,他们还在文本数据集IMDB和语音数据集UrbanSound8k上进行了实验,结果如下(上为文本、下为语音):

核心突破:对输出特征进行扰动,而不是丢弃

那么,具体又是如何做到的呢?我们一起来了解一下泛化理论

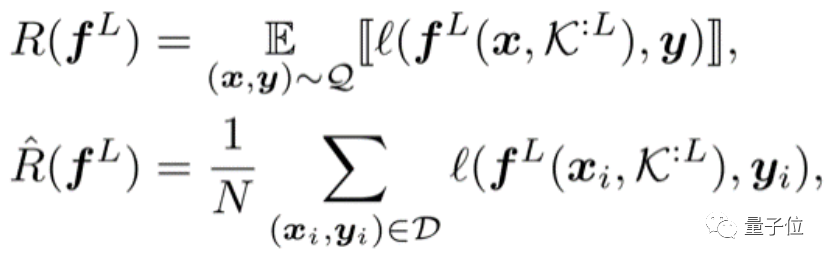
泛化理研究的是期望风险与经验风险之间的关系。

以图像分类任务为例,总体期望风险R(fL)和训练集上的经验风险是:

Rademacher经验复杂度(ERC)被广泛用于量化期望风险和经验风险之间的差距,它的定义如定义1所示。

定义1:给定由分布Q成的𝑁个实例D= {(x𝑖,y𝑖)}的给定训练数据集,网络𝑓𝐿的经验Rademacher复杂度定义为:

其中Rademacher变量是{-1,+ 1}中的独立统一随机变量。

使用经验Rademacher复杂度和MaDiarmid不等式,可以通过定理1得出预期风险的上限。

定理1:给定𝜌 >0,对任意𝛿>0,至少以概率1−𝛿,对于所有的𝑓𝐿∈𝐹,满足

根据定理1,研究人员发现,期望风险和经验风险之间的差距,可以借助特定神经网络和数据集上的经验Rademacher复杂度加以限制。

直接计算ERC比较难,因此通常在训练阶段使用ERC的上限或近似值,来获得具有更好泛化的模型。

了解完泛化理论,就来看下特征图扰动

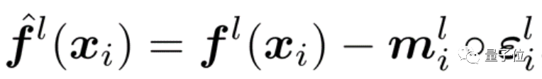
研究人员通过减少网络的ERC来学习特征图的扰动值,而不是固定扰动值。

通常,对具有输入数据xi的第l层的输出特征fL(xi)所采用的干扰操作可以表示为:

其中,εli是特征图上的扰动 。

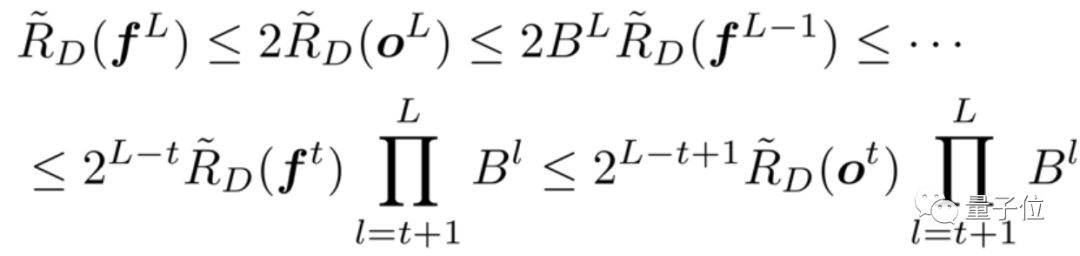
上面的等式中扰动的形式是在ERC指导下自行学习得到的。由于ERC是通过网络最后一层的输出计算出来的,直接使用它来指导扰动将非常困难。

因此,研究人员使用以下定理,通过网络中间层的输出来间接表达网络的ERC:

定理 2 用Kl[k;:]表示权重矩阵Kl的第k行 ||・||p是向量的 p-norm。假设|| Kl[k;:] ||p ≤ Bl,网络输出的ERC 可以被中间特征的ERC限制:

o 和 f 分别是在激活函数之前和之后的特征图。令:

则:

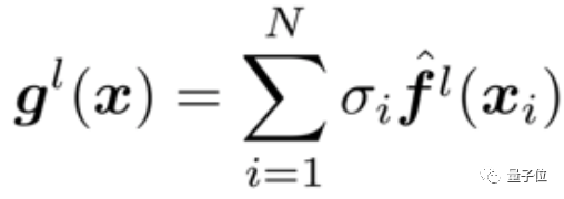
那么,最优的扰动,就可以通过求解下式得到:

直观地, 过于剧烈的扰动将破坏原始的特征并降低网络的表示能力;而过小的扰动不能很好地起到正则化效果。

算法如下所示:

实习生一作,华为诺亚实验室出品

这篇论文,一共有7名研究人员,分别来自北京大学、华为诺亚和悉尼大学,核心团队来自华为诺亚实验室。

一作是北京大学的唐业辉,这一研究是他在华为诺亚实验室实习期间完成。

二作是王云鹤,华为诺亚方舟实验室技术专家,也是唐业辉实习时的导师。

毕业于北京大学,在相关领域发表学术论文40余篇,包含NeurIPS、ICML、CVPR、ICCV、TPAMI、AAAI、IJCAI等。

主要从事边缘计算领域的算法开发和工程落地,研究领域包含深度神经网络的模型裁剪、量化、蒸馏和自动搜索等。

其他作者有来自华为诺亚实验室的许奕星、许春景、北京大学的许超等人。

如果你对这项研究感兴趣,请收好传送门:

开源链接:
https://github.com/huawei-noah/Disout

论文链接:
https://www.aaai.org/Papers/AAAI/2020GB/AAAI-TangY.402.pdf

论文下载

在CVer公众号后台回复:Disout,即可下载本论文

重磅!CVer-论文写作与投稿 交流群已成立


扫码添加CVer助手,可申请加入CVer-论文写作与投稿 微信交流群,目前已满1800+人,旨在交流顶会(CVPR/ICCV/ECCV/ICML/ICLR/AAAI等)、顶刊(IJCV/TPAMI/TIP等)、SCI、EI等写作与投稿事宜。


同时也可申请加入CVer大群和细分方向技术群,细分方向已涵盖:目标检测、图像分割、目标跟踪、人脸检测&识别、OCR、姿态估计、超分辨率、SLAM、医疗影像、Re-ID、GAN、NAS、深度估计、自动驾驶、强化学习、车道线检测、模型剪枝&压缩、去噪、去雾、去雨、风格迁移、遥感图像、行为识别、视频理解、图像融合、图像检索、论文投稿&交流、PyTorch和TensorFlow等群。


一定要备注:研究方向+地点+学校/公司+昵称(如论文写作+上海+上交+卡卡),根据格式备注,可更快被通过且邀请进群

▲长按加微信群


▲长按关注CVer公众号

请给CVer一个在看

登录查看更多
0

相关内容

基于改进卷积神经网络的短文本分类模型
专知会员服务
26+阅读 · 2020年7月22日
深度学习批归一化及其相关算法研究进展
专知会员服务
52+阅读 · 2020年7月17日
Python分布式计算,171页pdf,Distributed Computing with Python
专知会员服务
108+阅读 · 2020年5月3日
专知会员服务
27+阅读 · 2020年2月15日
BERT 瘦身之路:Distillation,Quantization,Pruning
北大开源ECCV2018深度去雨算法:RESCAN
极市平台
8+阅读 · 2018年7月19日
[深度学习] AlexNet,GoogLeNet,VGG,ResNet简化版
机器学习和数学
20+阅读 · 2017年10月13日
TResNet: High Performance GPU-Dedicated Architecture
Arxiv
8+阅读 · 2020年3月30日
Arxiv
45+阅读 · 2019年12月20日
The Evolved Transformer
Arxiv
5+阅读 · 2019年1月30日
Scale-Aware Trident Networks for Object Detection
Arxiv
4+阅读 · 2019年1月7日
Arxiv
4+阅读 · 2018年2月19日
VIP会员
相关论文
TResNet: High Performance GPU-Dedicated Architecture
Arxiv
8+阅读 · 2020年3月30日
Arxiv
45+阅读 · 2019年12月20日
The Evolved Transformer
Arxiv
5+阅读 · 2019年1月30日
Scale-Aware Trident Networks for Object Detection
Arxiv
4+阅读 · 2019年1月7日
Arxiv
4+阅读 · 2018年2月19日
Top
微信扫码咨询专知VIP会员