从 Word2Vec 到 BERT

2019 年 12 月 9 日 PaperWeekly


作者丨张寒

学校丨复旦大学硕士生

研究方向丨自然语言处理


如果读完本文你觉得对数学公式很懵,强烈建议去 Jay Alammar 的博客看一下,他的博客主要是对每个概念做可视化的,看了会茅塞顿开,简直是宝藏!每篇文章我也会放上他相对应的概念的地址。



1

Word2Vec


The Illustrated Word2Vec:


https://jalammar.github.io/illustrated-word2vec/

“You shall know a word by the company it keeps” (J. R. Firth 1957: 11)


一种重要的语言学思想是 Firth 在 1957 年提出的,一个词语的意思应该由它的上下文来表示。

在 word2vec 出现之前,一种简单的对词的表示是 One-hot 向量表示,即一个位置是 1,其余位置都是 0,这种表示方法的最大缺点在于没办法表示出词语之间的相似性。

到了 2013 年,Tomas Mikolov 连放几篇划时代的论文,其中最为重要的是两篇, [1] 首次提出了 CBOW 和 Skip-gram 模型,进一步的在 [2] 中,又介绍了几种优化训练的方法,包括 Hierarchical Softmax(当然,这个方法早在 2003 年,Bengio 就在他提出 NNLM 论文中的 Future Work 部分提到了这种方法,并于 2005 年把它系统化发表了一篇论文), Negative Sampling 和 Subsampling 技术。

放出两篇论文后,当时仍在谷歌工作的 Mikolov 又马不停蹄的放出了大杀器——word2vec 工具,并在其中开源了他的方法。顺便提一下的是,很多人以为 word2vec 是一种模型和方法,其实 word2vec 只是一个工具,背后的模型是 CBOW 或者 Skip-gram,并且使用了 Hierarchical Softmax 或者 Negative Sampling 这些训练的优化方法。所以准确说来,word2vec 并不是一个模型或算法,只不过 Mikolov 恰好在当时把他开源的工具包起名叫做 word2vec 而已。


Language Models


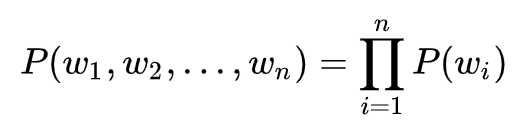
首先,我们需要建立一个模型来表示一个句子的出现的概率,例如“The cat jumped over the puddle”,一个好的语言模型会给这样一个句子高的概率,因为这个句子是通顺的没有语法错误的,而“stock boil fish is toy”就会得到一个很低的概率,我们记 n 个词组成的一个句子序列的概率为:


如果假设所有的词都是相互独立的,那么就叫做 unigram 模型:


但是我们知道每一个词不会是独立的,它和前面的词是有很大关系的,那么假设每一个词与前一个词相关,就得到 bigram 模型:


以此类推,但这样的模型有着明显的缺点:1)缺乏长期的依赖,因为只能建模到 n-1 个词;2)随着 n 的加大,计算和存储要求呈指数上涨;3)单纯基于统计词频,泛化能力差。

语言模型让我们理解了一个序列怎么用概率来表示,接下来我们看两个可以学习这些概率的模型。


CBOW


在前面举的例子中,对于句子“The cat jumped over the puddle”,我们把 {“The", "cat","over","the","puddle"} 当作上下文,把jumped当作中心词,这样的一种模型叫做 Continuous Bag of Words (CBOW) Model。


我们创建两个矩阵,,其中 n 是提前定义好的任意长度的向量空间的大小,V 是输入词矩阵,第 i 列表示的是词的 n 维向量表示,我们记第 i 列为,同样的,U 是输出词矩阵,第 j 行表示的是词的 n 维向量表示,我们记第 j 行为,值得注意的是这里每一个词其实会学习两个向量,其实简单的说 CBOW 就是根据上下文来预测中心词,而每一个词会学习到两个向量,一个是词出现在上下文时的向量 input vector v,和词出现在中心词时的向量 output vector u。


下面我们来具体看看 CBOW 是怎么做的:


1. 首先我们生成大小为 m 的上下文词的 one-hot 向量表示:这里面每一个 x 是一个 |V|x1 维的上下文单词的 one-hot 表示,前面 m/2 个,后面 m/2 个;


2. 通过与 V 矩阵相乘,得到每一个上下文词的词向量表示,即:



3. 对所有的上述向量做平均,得到:



4. 通过这个均值向量和 U 矩阵相乘,去得到一个”分数向量“,即,因为相似向量的点乘结果是很高的,所以优化模型时就会把相似词的向量表示越来越靠近,去得到一个高的分数;


5. 把分数转变成概率表示


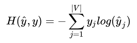
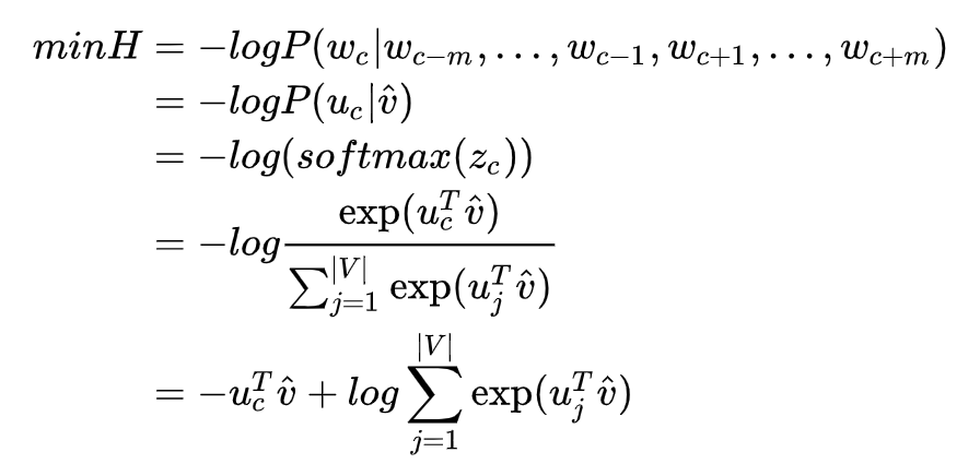
6. 我们希望产生的这个概率分布,跟真实的概率分布很接近,这个真实概率分布其实也就是真实中心词的 One-hot 向量表示,所以其实就是希望真实中心词的预测概率接近 1。


以上就是在我们如果有 V, U 矩阵时,模型是如何工作的,那么怎么得到这个两个矩阵呢?首先建立一个目标函数,这里使用交叉熵:



实际上 y 是 One-hot 向量,所以可以简化为:



,综上最小化目标函数就等价于得到预测中心词最好的那个模型的参数,也就是 V, U 矩阵:



接下来用 SGD 优化目标函数,去更新所有相关的词向量:



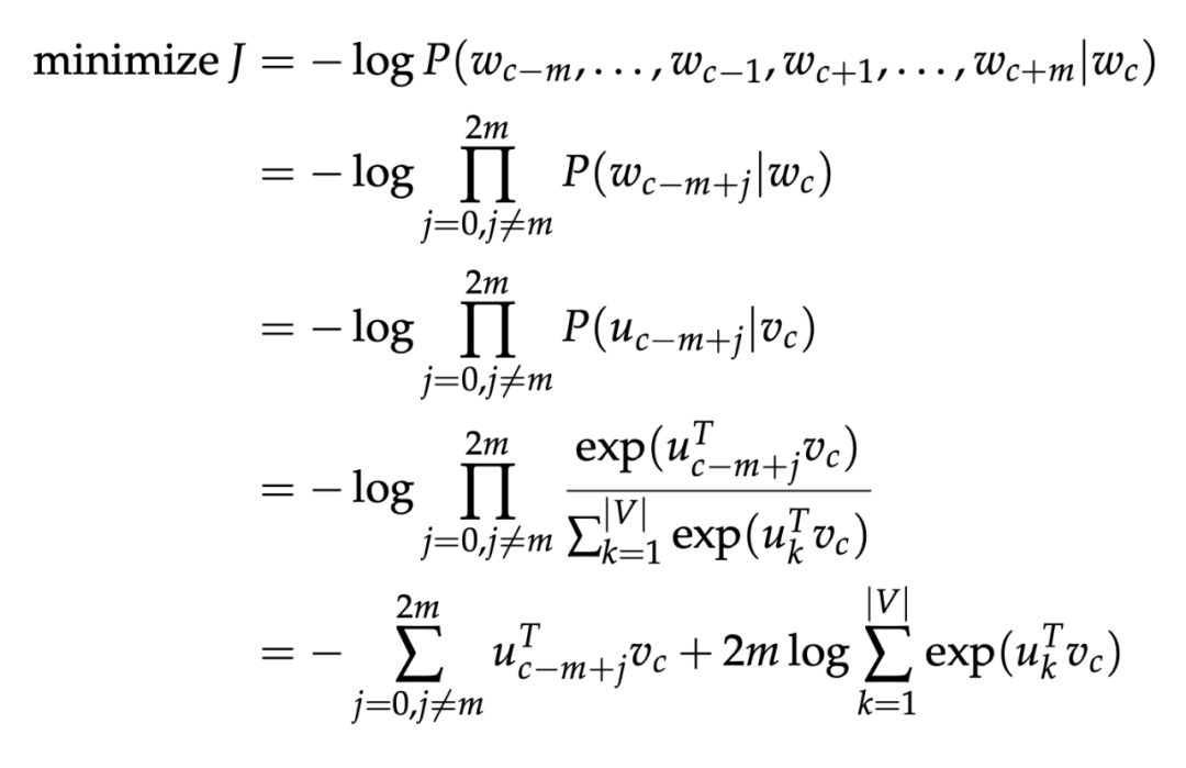
Skip-gram


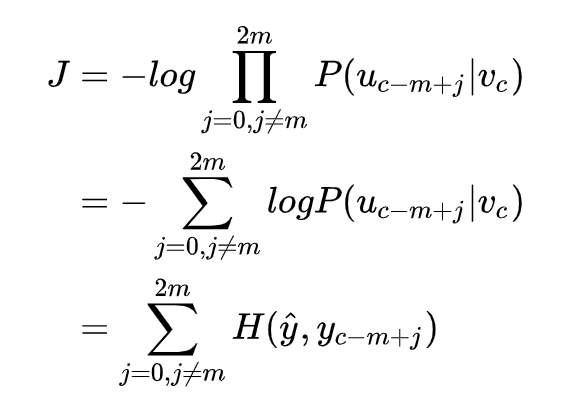
另一种方法是给定中心词"jumped",模型会去预测或者生成周围的上下文词,这种模型叫做 Skip-gram model,SG 和 CBOW 是完全反过来的模型,我们首先有一个中心词的 one-hot 向量表示 x,然后输出词的向量表示是,U, V 矩阵和前面 CBOW 中一样:


1. 首先生成中心词的 ont-hot 向量,


2. 通过和 V 矩阵相乘得到中心词的词向量表示


3. 通过和 U 矩阵相乘得到“分数向量”,


4. 把“分数”转变成概率,这里,要转变成 2m 个 |V|x1 的上下文词的向量


5. 我们希望以上结果,跟真实概率足够的接近。



不同于 CBOW,SG 在生成目标函数的时候用了一个假设,假设给定中心词,所有输出的词都是完全独立的。



通过这样的目标函数,用 SGD 去迭代更新参数,同时目标函数也可以记为:



Optimization Method


Mikolov 对于 SG 的评价是这些公式是“impractical”的,他的言下之意是计算复杂度依然和词典大小有关,而这通常都意味着非常非常大,于是在论文 [2] 中首先提到了 Hierachical Softmax,基本思想就是首先将词典中的每个词按照词频大小构建出一棵 Huffman 树,保证词频较大的词处于相对比较浅的层,词频较低的词相应的处于 Huffman 树较深层的叶子节点,每一个词都处于这棵 Huffman 树上的某个叶子节点。


接着提出了 Negative Sampling 负采样的思想,普通 softmax 的计算量太大就是因为它把词典中所有其他非目标词都当做负例了,而负采样的思想特别简单,就是每次按照一定概率随机采样一些词当做负例,从而就只需要计算这些负采样出来的负例了。


对于 SG,新的目标函数变成了:



对于 CBOW,新的目标函数变成了:



仔细和普通 softmax 进行比较便会发现,将原来的 |V| 分类问题变成了 K 分类问题,这便把词典大小对时间复杂度的影响变成了一个常数项。


GloVe


上述 word2vec 方法,缺点是基于固定大小的窗口,对局部的语料进行特征提取,其实在 word2ve c出现之前, LSA(Latent Semantic Analysis)是一种比较早的 count-based 的词向量表征工具,它也是基于 co-occurance matrix 的,只不过采用了基于奇异值分解(SVD)的矩阵分解技术对大矩阵进行降维,而我们知道 SVD 的复杂度是很高的,所以它的计算代价比较大。还有一点是它对所有单词的统计权重都是一致的 ,而 GloVe 就结合了两者的优点。


GloVe 的实现: 


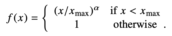
1. 首先根据语料库去构建一个 co-ocurrence matrix 共现矩阵,其中每一个元素代表单词和上下文词在特定的上下文窗口内共同出现的次数,并且 GloVe 还提出了一个 decreasing weighting ,就是基于两个词在上下文窗口中的距离 d,去给一个权重 1/d,也就是说距离远的两个词,占总计数的权重就小;


2. 构建词向量和共现矩阵之间的近似关系,目标函数为: 



其中:


这个目标函数基本形式就是简单的 mean square loss,只不过多了一个权重函数,感兴趣的话 [3] 中可以看下作者是怎么得到这个公式的。


word2vec 的方法极大的促进了 NLP 的发展,利用预训练好的词向量来初始化网络结构的第一层几乎已经成了标配,尤其是在只有少量监督数据的情况下,如果不拿预训练的 embedding 初始化第一层,要么你是土豪,可以有大量的人工去标注数据,要么就是在蛮干。word2vec 开启了一种全新的 NLP 模型训练方式,迁移学习。


Reference


[1] https://arxiv.org/pdf/1301.3781.pdf
[2] http://papers.nips.cc/paper/5021-distributed-representations-of-words-and-phrases-and-their-compositionality.pdf
[3] https://nlp.stanford.edu/pubs/glove.pdf
[4] http://web.stanford.edu/class/cs224n/
[5] https://zhuanlan.zhihu.com/p/50443871



2

Transformer


The Illustrated Transformer:


https://jalammar.github.io/illustrated-transformer/

Seq2Seq + Attention


在说明 Transformer 之前,还是有必要简述一下 attention 机制,RNN, LSTM, Seq2Seq 就不再赘述。


我们知道 Seq2Seq 是由一个 encoder 和一个 decoder 构成, 编码器负责把源序列编码成向量,解码器是一个语言模型,负责根据编码的信息生成目标序列 。这个结构的问题在于,编码器需要把整个 Source sentence 的信息全部编码起来,这是 seq2seq 架构的瓶颈所在,attention 机制就是解决这个瓶颈的一种方法,Attention 机制的核心想法就是:在解码器的每一个时间步,都和编码器直接连接,然后只关注 source sentence 中的特定的一部分。


假设编码器的 hidden states 分别为在解码器的第一个时间步,解码器的 hidden state 为我们通过点乘得到当前时间步的 attention scores:



再通过 softmax 转换成 attention distribution(是一个概率分布,和为 1):



然后用这个概率分布去和编码器的所有 hidden states 加权求和,得到 attention output:



最后把 attention output 和解码器的 hidden state 合并起来得到,然后去执行不用 attention 机制的 seq2seq 一样的做法就好了。


这样就得到了解码器的第一个时间步的输出,后面以此类推,每一个时间步都会去“看一下”source sentence,去决定对哪一部分给予比较大的 attention。


这就是 seq2seq+attention 机制的概念,然后这样的结构终归是要按照序列顺序去 encoding 的,不好做分布式的计算,于是有了直接抛弃 RNN,LSTM 的 self-attention 机制,以及应用了这个机制的 Transformer [1]。


Transformer Architecture


大多数有效的处理序列的模型都是基于 encoder-decoder 架构的,给定序列 x,经过 encoder 编码成隐藏向量 z,再通过 decoder 每个时间步的去生成序列 y,Transformer 通过在 encoder 和 decoder 中都使用堆叠的 self-attention 和 point-wise 和全连接层,来延续了这样的整体架构:



Encoder and Decoder Stacks 


Encoder:编码器是由 6 个相同的层组成,每一层有两个子层,第一个子层是一个 Multi-head self-attention 机制,第二层是一个简单的,位置对应的全连接神经网络,还加入了每一个子层都加入了残差网络 + normalization 层,所以每一个子层的输出其实可以看作,Sublayer(x) 是子层自己的函数,为了容易计算这些残差层,模型中的所有子层,包括 embedding 层,输出都是维。


Decoder:解码器也是由 6 个相同的层组成,在编码器的那两个子层的基础上又加入了一个层,用于对 encoder 的输出做 multi-head attention,和 encoder 一样,每一个子层也都加入了残差结构和标准化层,还加入 mask 操作。


Decoder 的 attention 实际上包含两部分,第一部分是带有 mask 的 Self-attention,通过 mask 的作用将 decode 阶段的 attention 限定只会 attention 到已经生成过的词上,因此叫做 Mask Self-attention;第二部分是普通的 Self-attention 操作,不过这个时候的 K 和 V 矩阵已经替换为 Encoder 的输出结果,所以本质上并不是一个 Self-attention 了,self-attention 的 Q, K, V 都来自于自身。 


不懂没关系,下面来详细剖析下 Transformer 的结构: 


首先把 input sentence 做 input embedding 后的结果当作输入给第一个 encoder,这里有一个 positional encoding 稍后再说,那么到达第一个 encoder 的第一个 sub-layer,下面我们先说下什么是 Self-Attention。


Self-Attention in Detail


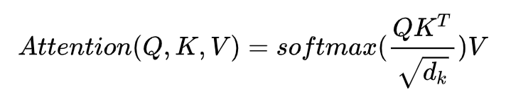
一个 attention 内部机制可以看作一个 query,应用到一组 key-value 对上的操作,其中一个 query 和所有 keys, values 都是向量,结果可以看作是对 values 的加权求和,其中每个 value 的权重是通过当前 query 和对应的 key 做点乘得到的(Scaled Dot-Product Attention), 而 Multi-Head Attention 就是多个 attention layer 并行计算的。



接下来首先看单个 self-attention 如何使用这些向量去计算:


1. 第 1 步,为每一个 encoder 的输入向量 x 创建 3 个向量,分别为 query, key, value,怎么来的呢?就是用输入向量和三个权重矩阵相乘,得到三个向量 q, k, v;


2. 第 2 步是计算“分数”,假设我们在计算 self-attention 中的第一个词,这时我们要计算输入序列中所有其他词和第一个词之间的“分数”,分数”决定了我们在 encode 第一个词的时候,对其他词分别给多少的“关注度”,分数”是通过 q, k 的点乘计算的,比如当在 encode 第一个词时,就需要把 q1 和每一个位置的 k 点乘,得到分数”矩阵,如第一个分数是 q1k1,第二个分数是 q1k2......;


3. 第 3、4 步是把分数除以,即除以 k 向量的维度开根号,paper 中用的,所以就是除以 8,这样可以得到更多稳定的梯度,然后把分数矩阵通过 softmax 转变成概率,这个概率衡量了你想要表达多少某一个位置这个词的信息。显然,当前位置的词会得到最大的 softmax score,但是有时在关注与当前位置相关的另一个词时是有用的;


4. 第 5 步,把 softmax score 和每一个 value 向量相乘,目的是保留一些想要关注的部分,抛弃不相关的部分,比如乘 0.0001;


5. 第 6 步,把上述加权 value 向量求和,这样就得到了 self-attention 层的在当前位置的输出(比如第一个词)。


实际的使用中,往往输入的是一个矩阵 X,那么把 q, k, v 都换成矩阵就好了记一组 queries 为矩阵 Q,keys 和 values 也表示成矩阵和,我们的输出可以记为:



Multi-Head Attention 


作者还介绍了一种 Multi-head attention 机制,这个机制在两个方面提升了表现: 


1. 它扩展了模型关注不同的位置的能力。确实,在前面单个词的例子中已经说过,对第一个词得到的结果 z1,虽然也能给每一个词一些权重,但是显然是它自己的权重最大,这个在翻译比如:“ The animal didn’t cross the street because it was too tired ”时有用,我们想知道“it”指代的是谁;


2. 它给了 attention layer 多个“表示子空间”,Multi-head attention 不是一组,而是多组权重矩阵(paper 中是 8 个),每一组开始时都是随机初始化的,然后训练模型,每一组都会把输入 embedding 向量或者是低一级的 encoders/decoders 的输出向量,映射到不同的表示子空间。


用这样的机制,我们得到了 8 个不同的 Z 输出矩阵,然后下一个 deed-forward layer 只接受一个矩阵(每一行是一个词的向量),所以我们这样处理: 


直接把 8 个输出矩阵拼接起来,再与一个权重矩阵 WO 相乘,得到一个输出矩阵,这个句子收集到了所有 attention heads 的信息,我们把这个发给后面的 FFNN。


整个流程如下图:



The Residuals and Normalization Layer 


至此我们以及知道第一个 encoder 的第一个 sub-layer 里 Multi-head attention 是怎么回事,接下来以上生成的 Z 矩阵还要通过一个残差 + normalization 层,所以第一个子层的输出其实可以看作 LayerNorm (x+MultiHead(x))。


再接下来到第二个 sub-layer,是一个 Feed Forward Neural Netword,加上跟第一个子层相同的残差 + normalization 层,所以第二个子层可以看作 LayerNorm (x+FFNN(x)),这里值得注意的是,全连接层对于 Z 矩阵中的每一个向量是分布式进行的,不过权重是一样的,下图很好的说明了这一点:



现在我们已经完全缕清第一个 encoder 是怎么样进行的,后面的 5 个 encoder 都以此类推,到最后一个 encoder 产生的结果,会被 decoder 使用,至此 encoding 部分结束,接下来看 decoding 才是重头戏。


decoder 首先接受第一个输入,一般是一个起始符例如 </s>,这是来到第一个 decoder 的第一个 sub-layer,这里跟前面说的 encoder 的 Multi-Head Attention,都属于 self-attention,区别是这里加了一个 Mask 操作,让输出序列只能基于当前位置的前面的序列做预测,具体做法是给后面序列一个负无穷的分数,这样在计算 softmax 时就是 0。


到了第一个 decoder 的第二个 sub-layer,这里的“Encoder-Decoder Attention”layer,实际上不属于 self attention,因为它的 queries 来自下面的 sub-layer 的输出,而 keys 和 values 来自 encoder 的输出 Z,Z 会 transformed into a set of K, V,提供给 6 个的每一个 decoder 中间的“Encoder-Decoder Attention”layer 使用。


接下来第一个 decoder 的 FFNN 层,和前面 encoder 的一样,不再赘述。


至此一个 decoder 的内部结构结束,重复 6 个一样的 decoder 后,来到了最后的 Linear and Softmax Layer。


The Final Linear and Softmax Layer 


The Linear layer 是一个简单的全连接神经网络,把 decoders 生成的输出,映射到一个很大的向量,叫做 Logits vector。


假设模型训练集有 10000 个唯一的英文单词,那 Logits vector 就有 10000 个单元,每个单元表示唯一单词的分数,再经过一个 softmax 层,把分数转变成概率,最高概率的单词将被选择出来,作为当前时间步的输出。


Positional Encoding 


补充一点前面没说的,已我们前面叙述的做法,input sentence 的顺序信息被完全忽略了,然而往往这个信息还是很有用的,所以加入了一个 positional encoding 机制,即给每个 input embedding 在额外加上一个位置向量,位置向量会在词向量中加入了单词的位置信息,这样 Transformer 就能区分不同位置的单词了。


这个位置向量怎么来呢?有两种办法:1)基于数据去学习;2)自己设计编码规则,作者采用的是第二种,给出的是如下公式:



至于实现可以去 Google 开源的 tensor2tensor 里的 get_timing_signal_1d() 函数去找:


https://github.com/tensorflow/tensor2tensor/blob/23bd23b9830059fbc349381b70d9429b5c40a139/tensor2tensor/layers/common_attention.py

结论


以上为 Transformer 的整个 forward pass 的过程,训练过程中再去做 backward pass 更新参数,值得一提的是在选择最终 output sentence 有两种办法 greedy search 或 beam search,这个在我上文对 Attention 机制的理解里有提到过。


Reference


[1] https://jalammar.github.io/illustrated-transformer/
[2] https://arxiv.org/abs/1706.03762
[3] http://web.stanford.edu/class/cs224n/
[4] https://zhuanlan.zhihu.com/p/50443871



3

BERT


The Illustrated BERT:


https://jalammar.github.io/illustrated-bert/

Introduction


语言模型在很多 NLP tasks 上都很有用,其中包括句子级别的任务,分析句子之间的关系,也有单词级别的任务,比如命名实体识别,问答系统。

在 BERT (Bidirectional Encoder Representations from Transformers) 出现之前,有两种在下游任务应用 pre-trained 语言表示的方法,分别是以 ELMo 为代表的 feature-based 方法,在特定任务使用特定结构,其中包含 pre-trained 表示好的特征作为附加特征,还有一种 fine-tuning 方法,以 GPT 为代表,在下游任务中用简单的 fine-tuning 来训练之前所有 pre-trained 的参数。两种方法在 pre-training 时目标函数是一致的,都使用单向语言模型去学习语言表示。 

而单向的标准语言模型,严重限制了尤其是 fine-tuning 类方法的语言表示能力,有的模型里例如 GPT,使用从左到右的结构,在 Transformer 的 self-attention layer 每个词只能注意之前出现过的词,这种优化是句子级别的,当应用到单词级别的任务时又是不对的,每个词应该和上下文都有关,所以构建双向结构来关联上下文是很重要的。


BERT


整个 BERT 分为两步,pre-training 和 fine-tuning,在 pre-training 部分,在不同的 pre-training 任务中在未标记数据上进行训练,在 fine-tuning 部分,模型先使用 pre-trained 的参数初始化,然后在下游任务中用标记数据对所有参数进行微调,虽然初始化用的都是相同的 pre-trained 参数,但是在下游不同任务中可以有不同的 fine-tuned 模型。

Model Architecture: BERT 作者使用的 Transformer 就是之前说过的普通的 Transformer,作者构建了两个模型,一个 BERT BASE,12 个 Transformer 模块层,768 个隐层,12 个 self-attention 中的 head,总参数 110M,一个 BERT LARGE,24 个 Transformer 模块层,1024 个隐层,16 个 self-attention 中的 head,总参数 340M。

Input/Output Representations: 为了使 BERT 能适应各式各样的下游任务,我们的输入表示要能够用一个序列清晰的同时可以表示一个单句子和一个句子对(比如(问题,答案)),这时在 BERT 中的“sequence”不再是单一的语言意义上的一个句子,而是任意跨度的连续文本。

在序列开头永远放一个 [CLS] 标记,在分类任务的时候这个表示类别,不是分类任务可以忽略,对于句子对,用了两个方法区分,第一,每个句子后插如一个 [SEP] 标记,第二,加入一个序列向量用来区分一个词是属于句子 A 还是句子 B。

实际最后的 input embedding,是三部分向量相加,单词本身的 Token embedding,单词归属信息的 segment embedding,位置信息的 position embeddings,这里的位置信息,在前面说 Transfomer 时提过,有两种方法:1)自己训练;2)自己编码,Transformer 使用的是第二种,奇怪的 sin、cos 函数编码位置 ,而这里用的是第一种,初始化,完了也加入到训练参数中自己去 train。


Pre-training BERT


BERT 使用两个非监督任务来 pre-train 模型。

TASK1 Masked LM:

为了训练深度双向模型,作者使用了一种随机掩盖一定百分比的输入词的方法,然后去预测这些被掩盖的词,叫做“Masked LM” (MLM),其实就可以想象成是完形填空,在作者实验中使用的是 15% 的词,也就是说有随机选择的 15% 的词会被 masked 掉,然后去预测这些被 masked 掉的词是什么,这时实际上已经变成一个单纯分类问题了,不是传统意义上的生成语言模型了,根据这个位置的 hidden state 预测是什么 token,而不是预测下一个词的概率了。

虽然这样可以建立一个双向预训练模型,但是缺点是这样预训练阶段和微调阶段就产生了不匹配的问题,因为 mask token 在微调阶段不会出现,也就是说在预训练阶段你是加了 [mask] 的去训练,而微调阶段没有加 [mask] 训练,为了尽可能的把模型调教的忽略这些标记的影响,作者通过如下方式来告诉模型这些是噪声,请忽略它: 

如果一个 token 被选中,那么我们把这个 token:

1. 80% 的时间换成 [MASK] 标记,即掩盖掉;
2. 10% 的时间随机换成另外一个词(还是要预测正确的词的);
3. 10% 的时间不变,仍然是原词 (还是要预测该位置的词的)。

还有一个问题是只有 15% 的词被预测,而传统语言模型是每一个词都会被预测的,所以 MLM 收敛比较慢。

如上图, 用来通过 cross-entropy 预测原来这个位置的 token 是什么,属于 Mask LM 任务。

TASK2 Next Sentence Prediction: 

很多下游任务比如 QA,NLI (Natural Language Inference) 都是基于对两个句子之间的关系去理解的,但是在语言模型里没有捕捉到这个信息,BERT 中就为了解决这个问题,加了一个 NSP 训练任务,50% 的时间选择句子 A 真正的下一个句子 B 作为一个句子对(标记为 IsNext),50% 的时间选择句子 A 和随机句子作为句子对(标记为 NotNext),训练数据就是这样,虽然很简单,但是很有效,有点句子级别的负采样的味道。

如上图,句子级别的信息被 encoding 在 [CLS] 标记里,这个做法乍一看有点费解,其实 Transformer 是可以无视空间和距离的把全局信息 encoding 进每个位置的,而 [CLS] 作为句子/句对的表示是直接跟分类器的输出层连接的,因此其作为梯度反传路径上的“关卡”,当然会想办法学习到分类相关的上层特征,如上图 C,用来做 NSP 任务。

Fine-tuning BERT


对于每个任务,我们只需将特定于任务的输入和输出插入 BERT 并对所有参数进行端到端的 fine-tune。

在 fine-tuning 之前只需根据特定任务对结构做简单的改变,例如针对句子级别的分类任务(例如情感分析),取第一个 [CLS] 的输出表示,传给一个 softmax 层得到分类结果输出;对于单词级别的分类(例如 NER),取所有 token 的最后层 transformer 输出,传给 softmax 层做分类,总之改变都很简单,就加一层神经网络就好了。

然后微调很简单,因为 Transformer 中的 self-attention 机制允许 BERT 通过改变适当的输入和输出来对许多下游任务(无论它们涉及单个文本还是文本对)进行建模。


结论


BERT 使用了 MLM+NSP 的多任务学习模式,并利用 Transformer 的 self-attention 机制实现双向功能,设计了更通用的输入层和输出层,适配了多任务下的迁移学习

关于 BERT 还有很多细节没有深入,后续会再继续深入。




点击以下标题查看更多往期内容: 





#投 稿 通 道#

 让你的论文被更多人看到 



如何才能让更多的优质内容以更短路径到达读者群体,缩短读者寻找优质内容的成本呢?答案就是:你不认识的人。


总有一些你不认识的人,知道你想知道的东西。PaperWeekly 或许可以成为一座桥梁,促使不同背景、不同方向的学者和学术灵感相互碰撞,迸发出更多的可能性。 


PaperWeekly 鼓励高校实验室或个人,在我们的平台上分享各类优质内容,可以是最新论文解读,也可以是学习心得技术干货。我们的目的只有一个,让知识真正流动起来。


📝 来稿标准:

• 稿件确系个人原创作品,来稿需注明作者个人信息(姓名+学校/工作单位+学历/职位+研究方向) 

• 如果文章并非首发,请在投稿时提醒并附上所有已发布链接 

• PaperWeekly 默认每篇文章都是首发,均会添加“原创”标志


📬 投稿邮箱:

• 投稿邮箱:hr@paperweekly.site 

• 所有文章配图,请单独在附件中发送 

• 请留下即时联系方式(微信或手机),以便我们在编辑发布时和作者沟通




🔍


现在,在「知乎」也能找到我们了

进入知乎首页搜索「PaperWeekly」

点击「关注」订阅我们的专栏吧



关于PaperWeekly


PaperWeekly 是一个推荐、解读、讨论、报道人工智能前沿论文成果的学术平台。如果你研究或从事 AI 领域,欢迎在公众号后台点击「交流群」,小助手将把你带入 PaperWeekly 的交流群里。


▽ 点击 | 阅读原文 | 获取最新论文推荐

登录查看更多
0

相关内容

分散式表示即将语言表示为稠密、低维、连续的向量。 研究者最早发现学习得到词嵌入之间存在类比关系。比如apple−apples ≈ car−cars, man−woman ≈ king – queen 等。这些方法都可以直接在大规模无标注语料上进行训练。词嵌入的质量也非常依赖于上下文窗口大小的选择。通常大的上下文窗口学到的词嵌入更反映主题信息,而小的上下文窗口学到的词嵌入更反映词的功能和上下文语义信息。
【Google论文】ALBERT:自我监督学习语言表达的精简BERT
专知会员服务
24+阅读 · 2019年11月4日
从 one-hot 到 BERT,带你一步步理解 BERT
数说工作室
21+阅读 · 2019年6月25日
自然语言处理中的语言模型预训练方法
PaperWeekly
14+阅读 · 2018年10月21日
Word2Vec与Glove:词嵌入方法的动机和直觉
论智
14+阅读 · 2018年6月23日
基于 Doc2vec 训练句子向量
AI研习社
6+阅读 · 2018年5月16日
不懂 word2vec,还敢说自己是做 NLP 的?
AI研习社
8+阅读 · 2018年5月4日
学习 | word2vec的前世今生
菜鸟的机器学习
14+阅读 · 2018年3月21日
干货|自然语言处理中的词向量 — word2vec!
全球人工智能
7+阅读 · 2018年1月25日
基础|Word2vec的原理介绍
全球人工智能
10+阅读 · 2018年1月4日
Word2Vec 与 GloVe 技术浅析与对比
LibRec智能推荐
25+阅读 · 2017年5月15日
Arxiv
20+阅读 · 2019年9月7日
Arxiv
6+阅读 · 2019年8月22日
Arxiv
11+阅读 · 2019年6月19日
How to Fine-Tune BERT for Text Classification?
Arxiv
13+阅读 · 2019年5月14日
Arxiv
21+阅读 · 2019年3月25日
Arxiv
13+阅读 · 2019年2月28日
Conditional BERT Contextual Augmentation
Arxiv
8+阅读 · 2018年12月17日
VIP会员
相关资讯
从 one-hot 到 BERT,带你一步步理解 BERT
数说工作室
21+阅读 · 2019年6月25日
自然语言处理中的语言模型预训练方法
PaperWeekly
14+阅读 · 2018年10月21日
Word2Vec与Glove:词嵌入方法的动机和直觉
论智
14+阅读 · 2018年6月23日
基于 Doc2vec 训练句子向量
AI研习社
6+阅读 · 2018年5月16日
不懂 word2vec,还敢说自己是做 NLP 的?
AI研习社
8+阅读 · 2018年5月4日
学习 | word2vec的前世今生
菜鸟的机器学习
14+阅读 · 2018年3月21日
干货|自然语言处理中的词向量 — word2vec!
全球人工智能
7+阅读 · 2018年1月25日
基础|Word2vec的原理介绍
全球人工智能
10+阅读 · 2018年1月4日
Word2Vec 与 GloVe 技术浅析与对比
LibRec智能推荐
25+阅读 · 2017年5月15日
相关论文
Arxiv
20+阅读 · 2019年9月7日
Arxiv
6+阅读 · 2019年8月22日
Arxiv
11+阅读 · 2019年6月19日
How to Fine-Tune BERT for Text Classification?
Arxiv
13+阅读 · 2019年5月14日
Arxiv
21+阅读 · 2019年3月25日
Arxiv
13+阅读 · 2019年2月28日
Conditional BERT Contextual Augmentation
Arxiv
8+阅读 · 2018年12月17日
Top
微信扫码咨询专知VIP会员