BAT机器学习面试题及答案(201-250题)

2017 年 12 月 4 日 七月在线实验室 七月在线

BAT机器学习面试题(201-250)题目及答案汇总,前200题见文末链接。


201.下列属于无监督学习的是: 

  A.k-means

  B.SVM

  C.最大熵

  D.CRF


  正确答案:A

  解析: A是聚类,BC是分类,D是序列化标注,也是有监督学习。


202.下列哪个不属于CRF模型对于HMM和MEMM模型的优势( ) 

  A.特征灵活

  B.速度快

  C.可容纳较多上下文信息

  D.全局最优


  正确答案:B

  解析: CRF 的优点:特征灵活,可以容纳较多的上下文信息,能够做到全局最优CRF 的缺点:速度慢

  CRF没有HMM那样严格的独立性假设条件,因而可以容纳任意的上下文信息。特征设计灵活(与ME一样) ————与HMM比较

  同时,由于CRF计算全局最优输出节点的条件概率,它还克服了最大熵马尔可夫模型标记偏置(Label-bias)的缺点。 ­­————与MEMM比较

  CRF是在给定需要标记的观察序列的条件下,使用维特比算法,计算整个标记序列的联合概率分布,而不是在给定当前状态条件下,定义下一个状态的状态分布。————与ME比较


203.数据清理中,处理缺失值的方法是? 

  A.估算

  B.整例删除

  C.变量删除

  D.成对删除


  正确答案:ABCD

  @刘炫320,本题题目及解析来源:http://blog.csdn.net/column/details/16442.html

  由于调查、编码和录入误差,数据中可能存在一些无效值和缺失值,需要给予适当的处理。常用的处理方法有:估算,整例删除,变量删除和成对删除。

  估算(estimation)。最简单的办法就是用某个变量的样本均值、中位数或众数代替无效值和缺失值。这种办法简单,但没有充分考虑数据中已有的信息,误差可能较大。另一种办法就是根据调查对象对其他问题的答案,通过变量之间的相关分析或逻辑推论进行估计。例如,某一产品的拥有情况可能与家庭收入有关,可以根据调查对象的家庭收入推算拥有这一产品的可能性。

  整例删除(casewise deletion)是剔除含有缺失值的样本。由于很多问卷都可能存在缺失值,这种做法的结果可能导致有效样本量大大减少,无法充分利用已经收集到的数据。因此,只适合关键变量缺失,或者含有无效值或缺失值的样本比重很小的情况。

变量删除(variable deletion)。如果某一变量的无效值和缺失值很多,而且该变量对于所研究的问题不是特别重要,则可以考虑将该变量删除。这种做法减少了供分析用的变量数目,但没有改变样本量。

  成对删除(pairwise deletion)是用一个特殊码(通常是9、99、999等)代表无效值和缺失值,同时保留数据集中的全部变量和样本。但是,在具体计算时只采用有完整答案的样本,因而不同的分析因涉及的变量不同,其有效样本量也会有所不同。这是一种保守的处理方法,最大限度地保留了数据集中的可用信息。

  采用不同的处理方法可能对分析结果产生影响,尤其是当缺失值的出现并非随机且变量之间明显相关时。因此,在调查中应当尽量避免出现无效值和缺失值,保证数据的完整性。


204.关于线性回归的描述,以下正确的有: 

  A.基本假设包括随机干扰项是均值为0,方差为1的标准正态分布

  B.基本假设包括随机干扰下是均值为0的同方差正态分布

  C.在违背基本假设时,普通最小二乘法估计量不再是最佳线性无偏估计量

  D.在违背基本假设时,模型不再可以估计

  E.可以用DW检验残差是否存在序列相关性

  F.多重共线性会使得参数估计值方差减小 


  正确答案:ACEF

  @刘炫320,本题题目及解析来源:http://blog.csdn.net/column/details/16442.html

  1、AB一元线性回归的基本假设有:

  (1)随机误差项是一个期望值或平均值为0的随机变量; 

  (2)对于解释变量的所有观测值,随机误差项有相同的方差; 

  (3)随机误差项彼此不相关; 

  (4)解释变量是确定性变量,不是随机变量,与随机误差项彼此之间相互独立; 

  (5)解释变量之间不存在精确的(完全的)线性关系,即解释变量的样本观测值矩阵是满秩矩阵; 

  (6)随机误差项服从正态分布

  2、CD 违背基本假设的计量经济学模型还是可以估计的,只是不能使用普通最小二乘法进行估计。

  当存在异方差时,普通最小二乘法估计存在以下问题: 参数估计值虽然是无偏的,但不是最小方差线性无偏估计。

  3、E杜宾-瓦特森(DW)检验,计量经济,统计分析中常用的一种检验序列一阶 自相关 最常用的方法。

  4、F所谓多重共线性(Multicollinearity)是指线性回归模型中的解释变量之间由于存在精确相关关系或高度相关关系而使模型估计失真或难以估计准确。影响 

  (1)完全共线性下参数估计量不存在 

  (2)近似共线性下OLS估计量非有效 

多重共线性使参数估计值的方差增大,1/(1-r2)为方差膨胀因子(Variance Inflation Factor, VIF) 

  (3)参数估计量经济含义不合理 

  (4)变量的显著性检验失去意义,可能将重要的解释变量排除在模型之外 

  (5)模型的预测功能失效。变大的方差容易使区间预测的“区间”变大,使预测失去意义。

  对于线性回归模型,当响应变量服从正态分布,误差项满足高斯–马尔科夫条件(零均值、等方差、不相关)时,回归参数的最小二乘估计是一致最小方差无偏估计。

  当然,该条件只是理想化的假定,为的是数学上有相应的较为成熟的结论。其实大多数实际问题都不完全满足这些理想化的假定。

  线性回归模型理论的发展正是在不断克服理想化条件不被满足时得到许多新方法。如加权LSE、岭估计、压缩估计、BOX_COX变换等一系列段。做实际工作时一定是要超越书本上的理想化条件的。


205.影响聚类算法效果的主要原因有:

  A.特征选取

  B.模式相似性测度

  C.分类准则

  D.已知类别的样本质量


  正确答案:ABC

  @刘炫320,本题题目及解析来源:http://blog.csdn.net/column/details/16442.html

  解析:这道题应该是很简单的,D之所以不正确,是因为聚类是对无类别的数据进行聚类,不使用已经标记好的数据。

  前面的ABC选项,可以参考:《聚类分析》与《各类算法的比较》。


206.以下哪个是常见的时间序列算法模型
  A.RSI
  B.MACD
  C.ARMA
  D.KDJ

  正确答案:C
  解析: 自回归滑动平均模型(ARMA) ,其建模思想可概括为:逐渐增加模型的阶数,拟合较高阶模型,直到再增加模型的阶数而剩余残差方差不再显著减小为止。
  其他三项都不是一个层次的。 
  A.相对强弱指数 (RSI, Relative Strength Index) 是通过比较一段时期内的平均收盘涨数和平均收盘跌数来分析市场买沽盘的意向和实力 , 从而作出未来市场的走势 .
  B.移动平均聚散指标 (MACD, Moving Average Convergence Divergence), 是根据均线的构造原理 , 对股票价格的收盘价进行平滑处理 , 求出算术平均值以后再进行计算 , 是一种趋向类指标 .
  D. 随机指标 (KDJ) 一般是根据统计学的原理 , 通过一个特定的周期 ( 常为 9 日 ,9 周等 ) 内出现过的最高价 , 最低价及最后一个计算周期的收盘价及这三者之间的比例关系 , 来计算最后一个计算周期的未成熟随机值 RSV, 然后根据平滑移动平均线的方法来计算 K 值 , D 值与 J 值 , 并绘成曲线图来研判股票走势 .


207.下列不是SVM核函数的是:
  A.多项式核函数
  B.logistic核函数
  C.径向基核函数
  D.Sigmoid核函数

  正确答案:B
  @刘炫320,本题题目及解析来源:http://blog.csdn.net/column/details/16442.html 
  SVM核函数包括线性核函数、多项式核函数、径向基核函数、高斯核函数、幂指数核函数、拉普拉斯核函数、ANOVA核函数、二次有理核函数、多元二次核函数、逆多元二次核函数以及Sigmoid核函数.
  核函数的定义并不困难,根据泛函的有关理论,只要一种函数 K ( x i , x j ) 满足Mercer条件,它就对应某一变换空间的内积.对于判断哪些函数是核函数到目前为止也取得了重要的突破,得到Mercer定理和以下常用的核函数类型:
  (1)线性核函数 :K ( x , x i ) = x ⋅ x i
  (2)多项式核 :K ( x , x i ) = ( ( x ⋅ x i ) + 1 ) d
  (3)径向基核(RBF):K ( x , x i ) = exp ( − ∥ x − x i ∥ 2 σ 2 ) 
  Gauss径向基函数则是局部性强的核函数,其外推能力随着参数 σ 的增大而减弱。多项式形式的核函数具有良好的全局性质。局部性较差。
  (4)傅里叶核 :K ( x , x i ) = 1 − q 2 2 ( 1 − 2 q cos ( x − x i ) + q 2 )
  (5)样条核 :K ( x , x i ) = B 2 n + 1 ( x − x i )
  (6)Sigmoid核函数 :K ( x , x i ) = tanh ( κ ( x , x i ) − δ )
  采用Sigmoid函数作为核函数时,支持向量机实现的就是一种多层感知器神经网络,应用SVM方法,隐含层节点数目(它确定神经网络的结构)、隐含层节点对输入节点的权值都是在设计(训练)的过程中自动确定的。而且支持向量机的理论基础决定了它最终求得的是全局最优值而不是局部最小值,也保证了它对于未知样本的良好泛化能力而不会出现过学习现象。
  在选取核函数解决实际问题时,通常采用的方法有:
  一是利用专家的先验知识预先选定核函数;
  二是采用Cross-Validation方法,即在进行核函数选取时,分别试用不同的核函数,归纳误差最小的核函数就是最好的核函数.如针对傅立叶核、RBF核,结合信号处理问题中的函数回归问题,通过仿真实验,对比分析了在相同数据条件下,采用傅立叶核的SVM要比采用RBF核的SVM误差小很多.
  三是采用由Smits等人提出的混合核函数方法,该方法较之前两者是目前选取核函数的主流方法,也是关于如何构造核函数的又一开创性的工作.将不同的核函数结合起来后会有更好的特性,这是混合核函数方法的基本思想.


208.已知一组数据的协方差矩阵P,下面关于主分量说法错误的是()
  A.主分量分析的最佳准则是对一组数据进行按一组正交基分解, 在只取相同数量分量的条件下,以均方误差计算截尾误差最小
  B.在经主分量分解后,协方差矩阵成为对角矩阵
  C.主分量分析就是K-L变换
  D.主分量是通过求协方差矩阵的特征值得到

  正确答案:C
  解析:K-L变换与PCA变换是不同的概念,PCA的变换矩阵是协方差矩阵,K-L变换的变换矩阵可以有很多种(二阶矩阵、协方差矩阵、总类内离散度矩阵等等)。当K-L变换矩阵为协方差矩阵时,等同于PCA。


209.在分类问题中,我们经常会遇到正负样本数据量不等的情况,比如正样本为10w条数据,负样本只有1w条数据,以下最合适的处理方法是()
  A.将负样本重复10次,生成10w样本量,打乱顺序参与分类
  B.直接进行分类,可以最大限度利用数据
  C.从10w正样本中随机抽取1w参与分类
  D.将负样本每个权重设置为10,正样本权重为1,参与训练过程

  正确答案:ACD
  解析:1. 重采样。 A可视作重采样的变形。改变数据分布消除不平衡,可能导致过拟合。 
  2. 欠采样。 C的方案 提高少数类的分类性能,可能丢失多数类的重要信息。 
  如果1:10算是均匀的话,可以将多数类分割成为1000份。然后将每一份跟少数类的样本组合进行训练得到分类器。而后将这1000个分类器用assemble的方法组合位一个分类器。A选项可以看作此方式,因而相对比较合理。 
  另:如果目标是 预测的分布 跟训练的分布一致,那就加大对分布不一致的惩罚系数。 
  3. 权值调整。 D方案也是其中一种方式。
当然,这只是在数据集上进行相应的处理,在算法上也有相应的处理方法。


210.在统计模式识分类问题中,当先验概率未知时,可以使用()?

  A.最小损失准则

  B.N-P判决

  C.最小最大损失准则

  D.最小误判概率准则


  正确答案:BC

  @刘炫320,本题题目及解析来源:http://blog.csdn.net/column/details/16442.html
  选项 A ,最小损失准则中需要用到先验概率

  选项B ,在贝叶斯决策中,对于先验概率p(y),分为已知和未知两种情况。 
  1. p(y)已知,直接使用贝叶斯公式求后验概率即可; 
  2. p(y)未知,可以使用聂曼-皮尔逊决策(N-P决策)来计算决策面。 
  聂曼-皮尔逊决策(N-P判决)可以归结为找阈值a,即: 
  如果
p(x|w1)/p(x|w2)>a,则 x属于w1; 
  如果
p(x|w1)/p(x|w2)<a,则 x属于w 2;

  选项C ,最大最小损失规则主要就是使用解决最小损失规则时先验概率未知或难以计算的问题的。


211.解决隐马模型中预测问题的算法是?
  A.前向算法
  B.后向算法
  C.Baum-Welch算法
  D.维特比算法

  正确答案:D
  @刘炫320,本题题目及解析来源:http://blog.csdn.net/column/details/16442.html
  A、B:前向、后向算法解决的是一个评估问题,即给定一个模型,求某特定观测序列的概率,用于评估该序列最匹配的模型。
  C:Baum-Welch算法解决的是一个模型训练问题,即参数估计,是一种无监督的训练方法,主要通过EM迭代实现;
  D:维特比算法解决的是给定 一个模型和某个特定的输出序列,求最可能产生这个输出的状态序列。如通过海藻变化(输出序列)来观测天气(状态序列),是预测问题,通信中的解码问题。


212.一般,k-NN最近邻方法在( )的情况下效果较好
  A.样本较多但典型性不好
  B.样本较少但典型性好
  C.样本呈团状分布
  D.样本呈链状分布

  正确答案:B
  解析:K近邻算法主要依靠的是周围的点,因此如果样本过多,那肯定是区分不出来的。因此应当选择B
  样本呈团状颇有迷惑性,这里应该指的是整个样本都是呈团状分布,这样kNN就发挥不出其求近邻的优势了,整体样本应该具有典型性好,样本较少,比较适宜。


213.下列方法中,可以用于特征降维的方法包括()
  A.主成分分析PCA
  B.线性判别分析LDA
  C.深度学习SparseAutoEncoder
  D.矩阵奇异值分解SVD
  E.最小二乘法LeastSquares

  正确答案:ABCD
  解析:降维的3种常见方法ABD,都是线性的。深度学习是降维的方法这个就比较新鲜了,事实上,细细想来,也是降维的一种方法,因为如果隐藏层中的神经元数目要小于输入层,那就达到了降维,但如果隐藏层中的神经元如果多余输入层,那就不是降维了。
最小二乘法是线性回归的一种解决方法,其实也是投影,但是并没有进行降维。


214.下面哪些是基于核的机器学习算法?()
  A.Expectation Maximization(EM)(最大期望算法)
  B.Radial Basis Function(RBF)(径向基核函数)
  C.Linear Discrimimate Analysis(LDA)(主成分分析法)
  D.Support Vector Machine(SVM)(支持向量机)

  正确答案:BCD
  解析:径向基核函数是非常常用的核函数,而主成分分析法的常规方法是线性的,但是当遇到非线性的时候,同样可以使用核方法使得非线性问题转化为线性问题。支持向量机处理非线性的问题的时候,核函数也是非常重要的。


215.试推导样本空间中任意点x到超平面(w,b)的距离公式。


216.从网上下载或自己编程实现一个卷积神经网络,并在手写字符识别数据MNIST上进行试验测试。
  解析详见:http://blog.csdn.net/snoopy_yuan/article/details/71703019


217.神经网络中激活函数的真正意义?一个激活函数需要具有哪些必要的属性?还有哪些属是好的属性但不必要的?
  @Hengkai Guo,本题解析来源:https://www.zhihu.com/question/67366051
  说说我对一个好的激活函数的理解吧,有些地方可能不太严谨,欢迎讨论。(部分参考了Activation function。)
  1. 非线性:即导数不是常数。这个条件前面很多答主都提到了,是多层神经网络的基础,保证多层网络不退化成单层线性网络。这也是激活函数的意义所在。
  2. 几乎处处可微:可微性保证了在优化中梯度的可计算性。传统的激活函数如sigmoid等满足处处可微。对于分段线性函数比如ReLU,只满足几乎处处可微(即仅在有限个点处不可微)。对于SGD算法来说,由于几乎不可能收敛到梯度接近零的位置,有限的不可微点对于优化结果不会有很大影响[1]。
  3. 计算简单:正如题主所说,非线性函数有很多。极端的说,一个多层神经网络也可以作为一个非线性函数,类似于Network In Network[2]中把它当做卷积操作的做法。但激活函数在神经网络前向的计算次数与神经元的个数成正比,因此简单的非线性函数自然更适合用作激活函数。这也是ReLU之流比其它使用Exp等操作的激活函数更受欢迎的其中一个原因。
  4. 非饱和性(saturation):饱和指的是在某些区间梯度接近于零(即梯度消失),使得参数无法继续更新的问题。最经典的例子是Sigmoid,它的导数在x为比较大的正值和比较小的负值时都会接近于0。更极端的例子是阶跃函数,由于它在几乎所有位置的梯度都为0,因此处处饱和,无法作为激活函数。ReLU在x>0时导数恒为1,因此对于再大的正值也不会饱和。但同时对于x<0,其梯度恒为0,这时候它也会出现饱和的现象(在这种情况下通常称为dying ReLU)。Leaky ReLU[3]和PReLU[4]的提出正是为了解决这一问题。
  5. 单调性(monotonic):即导数符号不变。这个性质大部分激活函数都有,除了诸如sin、cos等。个人理解,单调性使得在激活函数处的梯度方向不会经常改变,从而让训练更容易收敛。
  6. 输出范围有限:有限的输出范围使得网络对于一些比较大的输入也会比较稳定,这也是为什么早期的激活函数都以此类函数为主,如Sigmoid、TanH。但这导致了前面提到的梯度消失问题,而且强行让每一层的输出限制到固定范围会限制其表达能力。因此现在这类函数仅用于某些需要特定输出范围的场合,比如概率输出(此时loss函数中的log操作能够抵消其梯度消失的影响[1])、LSTM里的gate函数。
  7. 接近恒等变换(identity):即约等于x。这样的好处是使得输出的幅值不会随着深度的增加而发生显著的增加,从而使网络更为稳定,同时梯度也能够更容易地回传。这个与非线性是有点矛盾的,因此激活函数基本只是部分满足这个条件,比如TanH只在原点附近有线性区(在原点为0且在原点的导数为1),而ReLU只在x>0时为线性。这个性质也让初始化参数范围的推导更为简单[5][4]。额外提一句,这种恒等变换的性质也被其他一些网络结构设计所借鉴,比如CNN中的ResNet[6]和RNN中的LSTM。
  8. 参数少:大部分激活函数都是没有参数的。像PReLU带单个参数会略微增加网络的大小。还有一个例外是Maxout[7],尽管本身没有参数,但在同样输出通道数下k路Maxout需要的输入通道数是其它函数的k倍,这意味着神经元数目也需要变为k倍;但如果不考虑维持输出通道数的情况下,该激活函数又能将参数个数减少为原来的k倍。
  9. 归一化(normalization):这个是最近才出来的概念,对应的激活函数是SELU[8],主要思想是使样本分布自动归一化到零均值、单位方差的分布,从而稳定训练。在这之前,这种归一化的思想也被用于网络结构的设计,比如Batch Normalization[9]。

参考文献:
[1] Goodfellow I, Bengio Y, Courville A. Deep learning[M]. MIT press, 2016.
[2] Lin M, Chen Q, Yan S. Network in network[J]. arXiv preprint arXiv:1312.4400, 2013.
[3] Maas A L, Hannun A Y, Ng A Y. Rectifier nonlinearities improve neural network acoustic models[C]//Proc. ICML. 2013, 30(1).
[4] He K, Zhang X, Ren S, et al. Delving 
deep into rectifiers: Surpassing human-level performance on imagenet 
classification[C]//Proceedings of the IEEE international conference on 
computer vision. 2015: 1026-1034.
[5] Glorot X, Bengio Y. Understanding the 
difficulty of training deep feedforward neural networks[C]//Proceedings 
of the Thirteenth International Conference on Artificial Intelligence 
and Statistics. 2010: 249-256.
[6] He K, Zhang X, Ren S, et al. Deep 
residual learning for image recognition[C]//Proceedings of the IEEE 
conference on computer vision and pattern recognition. 2016: 770-778.
[7] Goodfellow I J, Warde-Farley D, Mirza M, et al. Maxout networks[J]. arXiv preprint arXiv:1302.4389, 2013.
[8] Klambauer G, Unterthiner T, Mayr A, et al. Self-Normalizing Neural Networks[J]. arXiv preprint arXiv:1706.02515, 2017.
[9] Ioffe S, Szegedy C. Batch 
normalization: Accelerating deep network training by reducing internal 
covariate shift[C]//International Conference on Machine Learning. 2015: 
448-456.


218.梯度下降法的神经网络容易收敛到局部最优,为什么应用广泛?

  @李振华,https://www.zhihu.com/question/68109802/answer/262143638

  深度神经网络“容易收敛到局部最优”,很可能是一种想象,实际情况是,我们可能从来没有找到过“局部最优”,更别说全局最优了。

  很多人都有一种看法,就是“局部最优是神经网络优化的主要难点”。这来源于一维优化问题的直观想象。在单变量的情形下,优化问题最直观的困难就是有很多局部极值,如





  人们直观的想象,高维的时候这样的局部极值会更多,指数级的增加,于是优化到全局最优就更难了。然而单变量到多变量一个重要差异是,单变量的时候,Hessian矩阵只有一个特征值,于是无论这个特征值的符号正负,一个临界点都是局部极值。但是在多变量的时候,Hessian有多个不同的特征值,这时候各个特征值就可能会有更复杂的分布,如有正有负的不定型和有多个退化特征值(零特征值)的半定型





  在后两种情况下,是很难找到局部极值的,更别说全局最优了。

  现在看来,神经网络的训练的困难主要是鞍点的问题。在实际中,我们很可能也从来没有真的遇到过局部极值。Bengio组这篇文章Eigenvalues of the Hessian in Deep Learning(https://arxiv.org/abs/1611.07476)里面的实验研究给出以下的结论:

• Training stops at a point that has a small gradient. The norm of the gradient is not zero, therefore it does not, technically speaking, converge to a critical point.
• There are still negative eigenvalues even when they are small in magnitude.

  另一方面,一个好消息是,即使有局部极值,具有较差的loss的局部极值的吸引域也是很小的Towards Understanding Generalization of Deep Learning: Perspective of Loss Landscapes。(https://arxiv.org/abs/1706.10239)

For the landscape of loss function for deep networks, the volume of basin of attraction of good minima dominates over that of poor minima, which guarantees optimization methods with random initialization to converge to good minima.

  所以,很可能我们实际上是在“什么也没找到”的情况下就停止了训练,然后拿到测试集上试试,“咦,效果还不错”。

  补充说明,这些都是实验研究结果。理论方面,各种假设下,深度神经网络的Landscape 的鞍点数目指数增加,而具有较差loss的局部极值非常少。


219.EM算法、HMM、CRF

  这三个放在一起不是很恰当,但是有互相有关联,所以就放在这里一起说了。注意重点关注算法的思想。 
(1)EM算法 
  EM算法是用于含有隐变量模型的极大似然估计或者极大后验估计,有两步组成:E步,求期望(expectation);M步,求极大(maxmization)。本质上EM算法还是一个迭代算法,通过不断用上一代参数对隐变量的估计来对当前变量进行计算,直到收敛。 
  注意:EM算法是对初值敏感的,而且EM是不断求解下界的极大化逼近求解对数似然函数的极大化的算法,也就是说EM算法不能保证找到全局最优值。对于EM的导出方法也应该掌握。 
(2)HMM算法 
  隐马尔可夫模型是用于标注问题的生成模型。有几个参数(
π,A,B):初始状态概率向量 π,状态转移矩阵A,观测概率矩阵B。称为马尔科夫模型的三要素。 
马尔科夫三个基本问题:

  • 概率计算问题:给定模型和观测序列,计算模型下观测序列输出的概率。–》前向后向算法

  • 学习问题:已知观测序列,估计模型参数,即用极大似然估计来估计参数。–》Baum-Welch(也就是EM算法)和极大似然估计。

  • 预测问题:已知模型和观测序列,求解对应的状态序列。–》近似算法(贪心算法)和维比特算法(动态规划求最优路径)

(3)条件随机场CRF 
  给定一组输入随机变量的条件下另一组输出随机变量的条件概率分布密度。条件随机场假设输出变量构成马尔科夫随机场,而我们平时看到的大多是线性链条随机场,也就是由输入对输出进行预测的判别模型。求解方法为极大似然估计或正则化的极大似然估计。 
  之所以总把HMM和CRF进行比较,主要是因为CRF和HMM都利用了图的知识,但是CRF利用的是马尔科夫随机场(无向图),而HMM的基础是贝叶斯网络(有向图)。而且CRF也有:概率计算问题、学习问题和预测问题。大致计算方法和HMM类似,只不过不需要EM算法进行学习问题。

(4)HMM和CRF对比 
  其根本还是在于基本的理念不同,一个是生成模型,一个是判别模型,这也就导致了求解方式的不同。 


220.CNN常用的几个模型

名称

特点

LeNet5

没啥特点-不过是第一个CNN应该要知道

AlexNet

引入了ReLU和dropout,引入数据增强、池化相互之间有覆盖,三个卷积一个最大池化+三个全连接层

VGGNet

采用1*1和3*3的卷积核以及2*2的最大池化使得层数变得更深。常用VGGNet-16和VGGNet19

Google Inception Net

这个在控制了计算量和参数量的同时,获得了比较好的分类性能,和上面相比有几个大的改进:
1、去除了最后的全连接层,而是用一个全局的平均池化来取代它;
2、引入Inception Module,这是一个4个分支结合的结构。所有的分支都用到了1*1的卷积,这是因为1*1性价比很高,可以用很少的参数达到非线性和特征变换。
3、Inception V2第二版将所有的5*5变成2个3*3,而且提出来著名的Batch Normalization;
4、Inception V3第三版就更变态了,把较大的二维卷积拆成了两个较小的一维卷积,加速运算、减少过拟合,同时还更改了Inception Module的结构。

微软ResNet残差神经网络(Residual Neural Network)

1、引入高速公路结构,可以让神经网络变得非常深
2、ResNet第二个版本将ReLU激活函数变成y=x的线性函数

 

221.带核的SVM为什么能分类非线性问题? 
  核函数的本质是两个函数的內积,而这个函数在SVM中可以表示成对于输入值的高维映射。注意核并不是直接对应映射,核只不过是一个內积 


222.常用核函数及核函数的条件: 

  核函数选择的时候应该从线性核开始,而且在特征很多的情况下没有必要选择高斯核,应该从简单到难的选择模型。我们通常说的核函数指的是正定和函数,其充要条件是对于任意的x属于X,要求K对应的Gram矩阵要是半正定矩阵。

  • RBF核径向基,这类函数取值依赖于特定点间的距离,所以拉普拉斯核其实也是径向基核。

  • 线性核:主要用于线性可分的情况

  • 多项式核


223.Boosting和Bagging

(1)随机森林 
  随机森林改变了决策树容易过拟合的问题,这主要是由两个操作所优化的:

  1)Boostrap从袋内有放回的抽取样本值

  2)每次随机抽取一定数量的特征(通常为sqr(n))。 
  分类问题:采用Bagging投票的方式选择类别频次最高的 
  回归问题:直接取每颗树结果的平均值。

常见参数 误差分析 优点 缺点
1、树最大深度
2、树的个数 
3、节点上的最小样本数
4、特征数(sqr(n))
oob(out-of-bag)
将各个树的未采样样本作为预测样本统计误差作为误分率
可以并行计算
不需要特征选择
可以总结出特征重要性
可以处理缺失数据
不需要额外设计测试集
在回归上不能输出连续结果

(2)Boosting之AdaBoost 
  Boosting的本质实际上是一个加法模型,通过改变训练样本权重学习多个分类器并进行一些线性组合。而Adaboost就是加法模型+指数损失函数+前项分布算法。Adaboost就是从弱分类器出发反复训练,在其中不断调整数据权重或者是概率分布,同时提高前一轮被弱分类器误分的样本的权值。最后用分类器进行投票表决(但是分类器的重要性不同)。 
(3)Boosting之GBDT 
  将基分类器变成二叉树,回归用二叉回归树,分类用二叉分类树。和上面的Adaboost相比,回归树的损失函数为平方损失,同样可以用指数损失函数定义分类问题。但是对于一般损失函数怎么计算呢?GBDT(梯度提升决策树)是为了解决一般损失函数的优化问题,方法是用损失函数的负梯度在当前模型的值来模拟回归问题中残差的近似值。 
  注:由于GBDT很容易出现过拟合的问题,所以推荐的GBDT深度不要超过6,而随机森林可以在15以上。 

(4)Xgboost 
这个工具主要有以下几个特点:

  • 支持线性分类器

  • 可以自定义损失函数,并且可以用二阶偏导

  • 加入了正则化项:叶节点数、每个叶节点输出score的L2-norm

  • 支持特征抽样

  • 在一定情况下支持并行,只有在建树的阶段才会用到,每个节点可以并行的寻找分裂特征。

224.逻辑回归相关问题

(1)公式推导一定要会

(2)逻辑回归的基本概念 
  这个最好从广义线性模型的角度分析,逻辑回归是假设y服从Bernoulli分布。

(3)L1-norm和L2-norm 
  其实稀疏的根本还是在于L0-norm也就是直接统计参数不为0的个数作为规则项,但实际上却不好执行于是引入了L1-norm;而L1norm本质上是假设参数先验是服从Laplace分布的,而L2-norm是假设参数先验为Gaussian分布,我们在网上看到的通常用图像来解答这个问题的原理就在这。 
  但是L1-norm的求解比较困难,可以用坐标轴下降法或是最小角回归法求解。

(4)LR和SVM对比 
  首先,LR和SVM最大的区别在于损失函数的选择,LR的损失函数为Log损失(或者说是逻辑损失都可以)、而SVM的损失函数为hinge loss。 
 
  其次,两者都是线性模型。 
  最后,SVM只考虑支持向量(也就是和分类相关的少数点) 
(5)LR和随机森林区别 
  随机森林等树算法都是非线性的,而LR是线性的。LR更侧重全局优化,而树模型主要是局部的优化。 
(6)常用的优化方法 
  逻辑回归本身是可以用公式求解的,但是因为需要求逆的复杂度太高,所以才引入了梯度下降算法。 
  一阶方法:梯度下降、随机梯度下降、mini 随机梯度下降降法。随机梯度下降不但速度上比原始梯度下降要快,局部最优化问题时可以一定程度上抑制局部最优解的发生。 
  二阶方法:牛顿法、拟牛顿法: 
  这里详细说一下牛顿法的基本原理和牛顿法的应用方式。牛顿法其实就是通过切线与x轴的交点不断更新切线的位置,直到达到曲线与x轴的交点得到方程解。在实际应用中我们因为常常要求解凸优化问题,也就是要求解函数一阶导数为0的位置,而牛顿法恰好可以给这种问题提供解决方法。实际应用中牛顿法首先选择一个点作为起始点,并进行一次二阶泰勒展开得到导数为0的点进行一个更新,直到达到要求,这时牛顿法也就成了二阶求解问题,比一阶方法更快。我们常常看到的x通常为一个多维向量,这也就引出了Hessian矩阵的概念(就是x的二阶导数矩阵)。缺点:牛顿法是定长迭代,没有步长因子,所以不能保证函数值稳定的下降,严重时甚至会失败。还有就是牛顿法要求函数一定是二阶可导的。而且计算Hessian矩阵的逆复杂度很大。 
拟牛顿法: 不用二阶偏导而是构造出Hessian矩阵的近似正定对称矩阵的方法称为拟牛顿法。拟牛顿法的思路就是用一个特别的表达形式来模拟Hessian矩阵或者是他的逆使得表达式满足拟牛顿条件。主要有DFP法(逼近Hession的逆)、BFGS(直接逼近Hession矩阵)、 L-BFGS(可以减少BFGS所需的存储空间)。

225.用贝叶斯机率说明Dropout的原理

@许韩,来源:https://zhuanlan.zhihu.com/p/25005808

参见论文:Dropout as a Bayesian Approximation: Insights and Applications

(http://mlg.eng.cam.ac.uk/yarin/PDFs/Dropout_as_a_Bayesian_approximation.pdf)


226.为什么很多做人脸的Paper会最后加入一个Local Connected Conv?

  @许韩,来源:https://zhuanlan.zhihu.com/p/25005808

  以FaceBook DeepFace 为例:

  DeepFace 先进行了两次全卷积+一次池化,提取了低层次的边缘/纹理等特征。后接了3个Local-Conv层,这里是用Local-Conv的原因是,人脸在不同的区域存在不同的特征(眼睛/鼻子/嘴的分布位置相对固定),当不存在全局的局部特征分布时,Local-Conv更适合特征的提取。


227.什么事共线性, 跟过拟合有什么关联?

  @抽象猴,来源:https://www.zhihu.com/question/41233373/answer/145404190

  共线性:多变量线性回归中,变量之间由于存在高度相关关系而使回归估计不准确。

  共线性会造成冗余,导致过拟合。

  解决方法:排除变量的相关性/加入权重正则。


228.为什么网络够深(Neurons 足够多)的时候,总是可以避开较差Local Optima?

  参见:The Loss Surfaces of Multilayer Networks(https://arxiv.org/pdf/1412.0233.pdf


229.机器学习中的正负样本

  在分类问题中,这个问题相对好理解一点,比如人脸识别中的例子,正样本很好理解,就是人脸的图片,负样本的选取就与问题场景相关,具体而言,如果你要进行教室中学生的人脸识别,那么负样本就是教室的窗子、墙等等,也就是说,不能是与你要研究的问题毫不相关的乱七八糟的场景图片,这样的负样本并没有意义。负样本可以根据背景生成,有时候不需要寻找额外的负样本。一般3000-10000的正样本需要5,000,000-100,000,000的负样本来学习,在互金领域一般在入模前将正负比例通过采样的方法调整到3:1-5:1。


230.机器学习中,有哪些特征选择的工程方法?

  数据和特征决定了机器学习的上限,而模型和算法只是逼近这个上限而已

  1. 计算每一个特征与响应变量的相关性:工程上常用的手段有计算皮尔逊系数和互信息系数,皮尔逊系数只能衡量线性相关性而互信息系数能够很好地度量各种相关性,但是计算相对复杂一些,好在很多toolkit里边都包含了这个工具(如sklearn的MINE),得到相关性之后就可以排序选择特征了;

  2. 构建单个特征的模型,通过模型的准确性为特征排序,借此来选择特征;

  3.通过L1正则项来选择特征:L1正则方法具有稀疏解的特性,因此天然具备特征选择的特性,但是要注意,L1没有选到的特征不代表不重要,原因是两个具有高相关性的特征可能只保留了一个,如果要确定哪个特征重要应再通过L2正则方法交叉检验*;

  4. 训练能够对特征打分的预选模型:RandomForest和Logistic Regression等都能对模型的特征打分,通过打分获得相关性后再训练最终模型;

  5.通过特征组合后再来选择特征:如对用户id和用户特征最组合来获得较大的特征集再来选择特征,这种做法在推荐系统和广告系统中比较常见,这也是所谓亿级甚至十亿级特征的主要来源,原因是用户数据比较稀疏,组合特征能够同时兼顾全局模型和个性化模型,这个问题有机会可以展开讲。

  6.通过深度学习来进行特征选择:目前这种手段正在随着深度学习的流行而成为一种手段,尤其是在计算机视觉领域,原因是深度学习具有自动学习特征的能力,这也是深度学习又叫unsupervised feature learning的原因。从深度学习模型中选择某一神经层的特征后就可以用来进行最终目标模型的训练了。


231.在一个n维的空间中, 最好的检测outlier(离群点)的方法是:
  A. 作正态分布概率图
  B. 作盒形图
  C. 马氏距离
  D. 作散点图

  答案:C
  马氏距离是基于卡方分布的,度量多元outlier离群点的统计方法。

  更多请详见:http://eurekastatistics.com/using-mahalanobis-distance-to-find-outliers/http://blog.csdn.net/v_july_v/article/details/8203674


232.对数几率回归(logistics regression)和一般回归分析有什么区别?
  A. 对数几率回归是设计用来预测事件可能性的
  B. 对数几率回归可以用来度量模型拟合程度
  C. 对数几率回归可以用来估计回归系数
  D. 以上所有

  答案:D
  A: 
对数几率回归其实是设计用来解决分类问题的
  B: 对数几率回归可以用来检验模型对数据的拟合度
  C: 虽然对数几率回归是用来解决分类问题的,但是模型建立好后,就可以根据独立的特征,估计相关的回归系数。就我认为,这只是估计回归系数,不能直接用来做回归模型。


233.bootstrap数据是什么意思?(提示:考“bootstrap”和“boosting”区别)
  A. 有放回地从总共M个特征中抽样m个特征
  B. 无放回地从总共M个特征中抽样m个特征
  C. 有放回地从总共N个样本中抽样n个样本
  D. 无放回地从总共N个样本中抽样n个样本
  答案:C


234.“过拟合”只在监督学习中出现,在非监督学习中,没有“过拟合”,这是:
  A. 对的
  B. 错的
  答案:B
  我们可以评估无监督学习方法通过无监督学习的指标,如:我们可以评估聚类模型通过调整兰德系数(adjusted rand score)


235.对于k折交叉验证, 以下对k的说法正确的是 :
  A. k越大, 不一定越好, 选择大的k会加大评估时间
  B. 选择更大的k, 就会有更小的bias (因为训练集更加接近总数据集)
  C. 在选择k时, 要最小化数据集之间的方差
  D. 以上所有

  答案:D
  k越大, bias越小, 训练时间越长. 在训练时, 也要考虑数据集间方差差别不大的原则. 比如, 对于二类分类问题, 使用2-折交叉验证, 如果测试集里的数据都是A类的, 而训练集中数据都是B类的, 显然, 测试效果会很差.
  如果不明白bias和variance的概念, 参考:
  Gentle Introduction to the Bias-Variance Trade-Off in Machine Learning
  Understanding the Bias-Variance Tradeoff


236.回归模型中存在多重共线性, 你如何解决这个问题?
  1. 去除这两个共线性变量
  2. 我们可以先去除一个共线性变量
  3. 计算VIF(方差膨胀因子), 采取相应措施
  4. 为了避免损失信息, 我们可以使用一些正则化方法, 比如, 岭回归和lasso回归.
以下哪些是对的:

  A. 1
  B. 2
  C. 2和3
  D. 2, 3和4

  答案: D
  解决多重公线性, 可以使用相关矩阵去去除相关性高于75%的变量 (有主观成分). 也可以VIF, 如果VIF值<=4说明相关性不是很高, VIF值>=10说明相关性较高.
  我们也可以用 岭回归和lasso回归的带有惩罚正则项的方法. 我们也可以在一些变量上加随机噪声, 使得变量之间变得不同, 但是这个方法要小心使用, 可能会影响预测效果。


237.模型的高bias是什么意思, 我们如何降低它 ?
  A. 在特征空间中减少特征
  B. 在特征空间中增加特征
  C. 增加数据点
  D. B和C
  E. 以上所有

  答案: B
  bias太高说明模型太简单了, 数据维数不够, 无法准确预测数据, 所以, 升维吧 !


238.训练决策树模型, 属性节点的分裂, 具有最大信息增益的图是下图的哪一个: 

  A. Outlook
  B. Humidity
  C. Windy
  D. Temperature

  答案: A信息增益, 增加平均子集纯度, 详细研究, 请戳下面链接:
  A Complete Tutorial on Tree Based Modeling from Scratch (in R & Python)
Lecture 4 Decision Trees (2): Entropy, Information Gain, Gain Ratio


239.对于信息增益, 决策树分裂节点, 下面说法正确的是: 
  1. 纯度高的节点需要更多的信息去区分
  2. 信息增益可以用”1比特-熵”获得
  3. 如果选择一个属性具有许多归类值, 那么这个信息增益是有偏差的

  A. 1
  B. 2
  C.2和3
  D. 所有以上
  答案: C
  详细研究, 请戳下面链接:
  A Complete Tutorial on Tree Based Modeling from Scratch (in R & Python)
  Lecture 4 Decision Trees (2): Entropy, Information Gain, Gain Ratio


240. 如果SVM模型欠拟合, 以下方法哪些可以改进模型 : 
  A. 增大惩罚参数C的值
  B. 减小惩罚参数C的值
  C. 减小核系数(gamma参数)


  答案: A

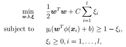
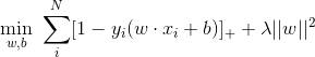
  如果SVM模型欠拟合, 我们可以调高参数C的值, 使得模型复杂度上升.LibSVM中,SVM的目标函数是:


  而, gamma参数是你选择径向基函数作为kernel后,该函数自带的一个参数.隐含地决定了数据映射到新的特征空间后的分布.
  gamma参数与C参数无关. gamma参数越高, 模型越复杂. 


241.下图是同一个SVM模型, 但是使用了不同的径向基核函数的gamma参数, 依次是g1, g2, g3 , 下面大小比较正确的是 : 

  A. g1 > g2 > g3

  B. g1 = g2 = g3

  C. g1 < g2 < g3

  D. g1 >= g2 >= g3

  E. g1 <= g2 <= g3

  答案: C

 

242.假设我们要解决一个二类分类问题, 我们已经建立好了模型, 输出是0或1, 初始时设阈值为0.5, 超过0.5概率估计, 就判别为1, 否则就判别为0 ; 如果我们现在用另一个大于0.5的阈值,  那么现在关于模型说法, 正确的是 : 

  1. 模型分类的召回率会降低或不变

  2. 模型分类的召回率会升高

  3. 模型分类准确率会升高或不变

  4. 模型分类准确率会降低


  A. 1

  B. 2

  C.1和3

  D. 2和4

  E. 以上都不是

  答案: C

  这篇文章讲述了阈值对准确率和召回率影响 :

  Confidence Splitting Criterions Can Improve Precision And Recall in Random Forest Classifiers

 

243.”点击率问题”是这样一个预测问题, 99%的人是不会点击的, 而1%的人是会点击进去的, 所以这是一个非常不平衡的数据集. 假设, 现在我们已经建了一个模型来分类, 而且有了99%的预测准确率, 我们可以下的结论是 : 

  A. 模型预测准确率已经很高了, 我们不需要做什么了

  B. 模型预测准确率不高, 我们需要做点什么改进模型

  C. 无法下结论

  D. 以上都不对


  答案: B

  99%的预测准确率可能说明, 你预测的没有点进去的人很准确 (因为有99%的人是不会点进去的, 这很好预测). 不能说明你的模型对点进去的人预测准确, 所以, 对于这样的非平衡数据集, 我们要把注意力放在小部分的数据上, 即那些点击进去的人.

  详细参考: https://www.analyticsvidhya.com/blog/2016/03/practical-guide-deal-imbalanced-classification-problems/

 

244.使用k=1的knn算法, 下图二类分类问题, “+” 和 “o” 分别代表两个类, 那么, 用仅拿出一个测试样本的交叉验证方法, 交叉验证的错误率是多少 : 

  A. 0%

  B. 100%

  C.  0% 到  100%

  D. 以上都不是

  答案: B

  knn算法就是, 在样本周围看k个样本, 其中大多数样本的分类是A类, 我们就把这个样本分成A类. 显然, k=1 的knn在上图不是一个好选择, 分类的错误率始终是100%

 

245.我们想在大数据集上训练决策树, 为了使用较少时间, 我们可以 : 

  A.  增加树的深度

  B.  增加学习率 (learning rate)

  C.  减少树的深度

  D. 减少树的数量


  答案: C

  A.增加树的深度, 会导致所有节点不断分裂, 直到叶子节点是纯的为止. 所以, 增加深度, 会延长训练时间.

  B.决策树没有学习率参数可以调. (不像集成学习和其它有步长的学习方法)

  D.决策树只有一棵树, 不是随机森林.


246.对于神经网络的说法, 下面正确的是 : 

  1. 增加神经网络层数, 可能会增加测试数据集的分类错误率
  2. 减少神经网络层数, 总是能减小测试数据集的分类错误率
  3. 增加神经网络层数, 总是能减小训练数据集的分类错误率


  A. 1

  B. 1 和 3

  C. 1 和 2

  D. 2

  答案: A

  深度神经网络的成功, 已经证明, 增加神经网络层数, 可以增加模型范化能力, 即, 训练数据集和测试数据集都表现得更好. 但更多的层数, 也不一定能保证有更好的表现(https://arxiv.org/pdf/1512.03385v1.pdf). 所以, 不能绝对地说层数多的好坏, 只能选A

 

247.假如我们使用非线性可分的SVM目标函数作为最优化对象, 我们怎么保证模型线性可分?

  A. 设C=1

  B. 设C=0

  C. 设C=无穷大

  D. 以上都不对


  答案: C

  C无穷大保证了所有的线性不可分都是可以忍受的.

 

248.训练完SVM模型后, 不是支持向量的那些样本我们可以丢掉, 也可以继续分类:

  A. 正确

  B. 错误

  答案: A

  SVM模型中, 真正影响决策边界的是支持向量

 

249.以下哪些算法, 可以用神经网络去构造: 

  1. KNN
  2. 线性回归
  3. 对数几率回归


  A. 1和 2

  B. 2 和 3

  C. 1, 2 和 3

  D. 以上都不是

  答案: B

  1. KNN算法不需要训练参数, 而所有神经网络都需要训练参数, 因此神经网络帮不上忙
  2. 最简单的神经网络, 感知器, 其实就是线性回归的训练
  3. 我们可以用一层的神经网络构造对数几率回归

 

250.请选择下面可以应用隐马尔科夫(HMM)模型的选项: 

  A. 基因序列数据集

  B. 电影浏览数据集

  C. 股票市场数据集

  D. 所有以上


  答案: D

  只要是和时间序列问题有关的 , 都可以试试HMM


往期题目:

BAT机器学习面试1000题系列(第1~60题)

BAT机器学习面试1000题系列(第61~100题)

BAT机器学习面试1000题系列(第101~200题)





课程咨询|微信:julyedukefu

七月热线:010-82712840

登录查看更多
1

相关内容

打怪升级!2020机器学习工程师技术路线图
专知会员服务
99+阅读 · 2020年6月3日
自回归模型:PixelCNN
专知会员服务
27+阅读 · 2020年3月21日
机器学习速查手册,135页pdf
专知会员服务
345+阅读 · 2020年3月15日
【经典书】精通机器学习特征工程,中文版,178页pdf
专知会员服务
360+阅读 · 2020年2月15日
【机器学习课程】Google机器学习速成课程
专知会员服务
170+阅读 · 2019年12月2日
【斯坦福&Google】面向机器人的机器学习,63页PPT
专知会员服务
26+阅读 · 2019年11月19日
BAT机器学习面试1000题(716~720题)
七月在线实验室
19+阅读 · 2018年12月17日
BAT机器学习面试题1000题(376~380题)
七月在线实验室
9+阅读 · 2018年8月27日
BAT机器学习面试题1000题(331~335题)
七月在线实验室
12+阅读 · 2018年8月13日
BAT机器学习面试题及解析(266-270题)
七月在线实验室
6+阅读 · 2017年12月13日
BAT题库 | 机器学习面试1000题系列(第226~230题)
七月在线实验室
9+阅读 · 2017年11月27日
BAT题库 | 机器学习面试1000题系列(第211~215题)
七月在线实验室
9+阅读 · 2017年11月22日
BAT题库 | 机器学习面试1000题系列(第196~200题)
七月在线实验室
17+阅读 · 2017年11月16日
BAT题库 | 机器学习面试1000题系列(第191~195题)
七月在线实验室
6+阅读 · 2017年11月15日
BAT机器学习面试1000题系列(第76~80题)
七月在线实验室
5+阅读 · 2017年10月13日
BAT机器学习面试1000题系列(第51~55题)
七月在线实验室
10+阅读 · 2017年10月8日
Arxiv
4+阅读 · 2018年5月10日
Arxiv
9+阅读 · 2018年3月23日
Arxiv
5+阅读 · 2018年1月29日
Arxiv
3+阅读 · 2017年7月6日
VIP会员
相关VIP内容
打怪升级!2020机器学习工程师技术路线图
专知会员服务
99+阅读 · 2020年6月3日
自回归模型:PixelCNN
专知会员服务
27+阅读 · 2020年3月21日
机器学习速查手册,135页pdf
专知会员服务
345+阅读 · 2020年3月15日
【经典书】精通机器学习特征工程,中文版,178页pdf
专知会员服务
360+阅读 · 2020年2月15日
【机器学习课程】Google机器学习速成课程
专知会员服务
170+阅读 · 2019年12月2日
【斯坦福&Google】面向机器人的机器学习,63页PPT
专知会员服务
26+阅读 · 2019年11月19日
相关资讯
BAT机器学习面试1000题(716~720题)
七月在线实验室
19+阅读 · 2018年12月17日
BAT机器学习面试题1000题(376~380题)
七月在线实验室
9+阅读 · 2018年8月27日
BAT机器学习面试题1000题(331~335题)
七月在线实验室
12+阅读 · 2018年8月13日
BAT机器学习面试题及解析(266-270题)
七月在线实验室
6+阅读 · 2017年12月13日
BAT题库 | 机器学习面试1000题系列(第226~230题)
七月在线实验室
9+阅读 · 2017年11月27日
BAT题库 | 机器学习面试1000题系列(第211~215题)
七月在线实验室
9+阅读 · 2017年11月22日
BAT题库 | 机器学习面试1000题系列(第196~200题)
七月在线实验室
17+阅读 · 2017年11月16日
BAT题库 | 机器学习面试1000题系列(第191~195题)
七月在线实验室
6+阅读 · 2017年11月15日
BAT机器学习面试1000题系列(第76~80题)
七月在线实验室
5+阅读 · 2017年10月13日
BAT机器学习面试1000题系列(第51~55题)
七月在线实验室
10+阅读 · 2017年10月8日
Top
微信扫码咨询专知VIP会员