【论文解读】基于图Transformer从知识图谱中生成文本

2020 年 8 月 10 日 AINLP

论文Text Generation from Knowledge Graphs with Graph Transformers发表于2019年自然语言处理顶级会议之一NAACL,本文将对其进行解读,这是原文链接(https://arxiv.org/pdf/1904.02342.pdf)。

背景

生成表达复杂含义的多句文本需要结构化的表征作为输入,本文使用知识图谱作为输入的表征,研究一个端到端的graph-to-text生成系统,并将其应用到科技类文本写作领域。作者使用一个科技类文章数据集的摘要部分,使用一个IE来为每个摘要提取信息,再将其重构成知识图谱的形式。作者通过实验表明,将IE抽取到知识用图来表示会比直接使用实体有更好的生成效果。

graph-to-text的一个重要任务是从 Abstract Meaning Representation  (AMR)  graph生成内容,其中图的编码方法主要有graph convolution encoder,graph attention encoder,graph LSTM,本文的模型是graph attention encoder的一个延伸。


数据集

作者构建了一个Abstract GENeration Dataset(AGENDA),该数据包含40kAI会议的论文标题和摘要。对于数据集中的每篇摘要,首先使用SciIE来获取摘要中的命名实体及实体之间的关系(Compare, Used-for, Feature-of, Hyponymof, Evaluate-for, and Conjunction),随后将得到的这些组织成无连接带标签图的形式。

模型

GraphWriter模型总览

编码器

构建图

将之前数据集中的无连接带标签图,转化为有连接无标签图,具体做法为:原图中的每个表示关系的边用两个节点替代,一个表示正向的关系,一个表示反向的关系;增加一个与所有实体节点连接全局向量节点,该向量将会被用来作为解码器的初始输入。下图中 表示实体节点, 表示关系, 表示全局向量节点

终得到的有连接,无标签图为G=(V,E),其中V表示实体/关系/全局向量节点,E接矩阵(注意这里的G和V区别上述图中的G和v)。

Graph Transformer


Graph Transformer由L个Block Network叠加构成,在每个Block内,节点的嵌入 首先送入Graph Attention模块。这里使用多头自注意力机制,每个节点表征 通过与其连接的节点使用注意力,来得到上下文相关的表征。得到的表征随后再送入正则化层和一个两层的前馈神经网络层。最后一层的得到的 即表示上下文后的实体,关系,全局向量节点。


解码器

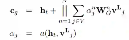
在每个时间步t使用隐藏状态 来计算图和标题的上下文向量  和 ,其中  通过  使用多头注意力得到,

 也通过类似的方式得到,最终的上下文向量是两者的叠加 。随后使用类似pointer-network的方法来生成一个新词或复制一个词,


实验

实验包含自动和人工评估,在自动评估中,GraphWriter代表本篇文章的模型,GAT中将Graph Transformer encoder使用一个Graph Attention Network替换,Entity Writer仅使用到了实体和标题没有图的关系信息,Rewriter仅仅使用了文章的标题,


从上图可以看到,使用标题,实体,关系的模型(GraphWriter和GAT)的表现要显著好于使用更少信息的模型。人工评估中,使用Best-Worst Scaling,

参考


[1] Koncel-Kedziorski R, Bekal D, Luan Y, et al. Text generation from knowledge graphs with graph transformers[J]. arXiv preprint arXiv:1904.02342, 2019.





欢迎加入AINLP知识图谱技术交流群
进群请添加AINLP小助手微信 AINLPer(id: ainlper),备注知识图谱


推荐阅读

这个NLP工具,玩得根本停不下来

征稿启示| 200元稿费+5000DBC(价值20个小时GPU算力)

完结撒花!李宏毅老师深度学习与人类语言处理课程视频及课件(附下载)

从数据到模型,你可能需要1篇详实的pytorch踩坑指南

如何让Bert在finetune小数据集时更“稳”一点

模型压缩实践系列之——bert-of-theseus,一个非常亲民的bert压缩方法

文本自动摘要任务的“不完全”心得总结番外篇——submodular函数优化

Node2Vec 论文+代码笔记

模型压缩实践收尾篇——模型蒸馏以及其他一些技巧实践小结

中文命名实体识别工具(NER)哪家强?

学自然语言处理,其实更应该学好英语

斯坦福大学NLP组Python深度学习自然语言处理工具Stanza试用

关于AINLP

AINLP 是一个有趣有AI的自然语言处理社区,专注于 AI、NLP、机器学习、深度学习、推荐算法等相关技术的分享,主题包括文本摘要、智能问答、聊天机器人、机器翻译、自动生成、知识图谱、预训练模型、推荐系统、计算广告、招聘信息、求职经验分享等,欢迎关注!加技术交流群请添加AINLPer(id:ainlper),备注工作/研究方向+加群目的。


阅读至此了,分享、点赞、在看三选一吧🙏




登录查看更多
2

相关内容

【SIGIR 2020】 基于协同注意力机制的知识增强推荐模型
专知会员服务
91+阅读 · 2020年7月23日
【论文推荐】文本摘要简述
专知会员服务
69+阅读 · 2020年7月20日
【ACL2020】基于图神经网络的文本分类新方法
专知会员服务
69+阅读 · 2020年7月12日
【ICML2020-西电】用于语言生成的递归层次主题引导RNN
专知会员服务
22+阅读 · 2020年6月30日
【AAAI2020知识图谱论文概述】Knowledge Graphs @ AAAI 2020
专知会员服务
134+阅读 · 2020年2月13日
Transformer文本分类代码
专知会员服务
118+阅读 · 2020年2月3日
KGCN:使用TensorFlow进行知识图谱的机器学习
专知会员服务
83+阅读 · 2020年1月13日
知识图谱本体结构构建论文合集
专知会员服务
110+阅读 · 2019年10月9日
ACL 2019开源论文 | 基于Attention的知识图谱关系预测
基于图卷积文本模型的跨模态信息检索
专知
9+阅读 · 2019年8月3日
论文浅尝 | 通过文本到文本神经问题生成的机器理解
开放知识图谱
10+阅读 · 2019年6月30日
论文浅尝 | GraphIE:基于图的信息抽取框架
开放知识图谱
17+阅读 · 2019年6月2日
Heterogeneous Graph Transformer
Arxiv
27+阅读 · 2020年3月3日
Arxiv
15+阅读 · 2020年2月5日
Arxiv
6+阅读 · 2019年8月22日
Star-Transformer
Arxiv
5+阅读 · 2019年2月28日
Music Transformer
Arxiv
5+阅读 · 2018年12月12日
Doubly Attentive Transformer Machine Translation
Arxiv
4+阅读 · 2018年7月30日
Arxiv
6+阅读 · 2018年2月24日
VIP会员
相关VIP内容
【SIGIR 2020】 基于协同注意力机制的知识增强推荐模型
专知会员服务
91+阅读 · 2020年7月23日
【论文推荐】文本摘要简述
专知会员服务
69+阅读 · 2020年7月20日
【ACL2020】基于图神经网络的文本分类新方法
专知会员服务
69+阅读 · 2020年7月12日
【ICML2020-西电】用于语言生成的递归层次主题引导RNN
专知会员服务
22+阅读 · 2020年6月30日
【AAAI2020知识图谱论文概述】Knowledge Graphs @ AAAI 2020
专知会员服务
134+阅读 · 2020年2月13日
Transformer文本分类代码
专知会员服务
118+阅读 · 2020年2月3日
KGCN:使用TensorFlow进行知识图谱的机器学习
专知会员服务
83+阅读 · 2020年1月13日
知识图谱本体结构构建论文合集
专知会员服务
110+阅读 · 2019年10月9日
相关论文
Heterogeneous Graph Transformer
Arxiv
27+阅读 · 2020年3月3日
Arxiv
15+阅读 · 2020年2月5日
Arxiv
6+阅读 · 2019年8月22日
Star-Transformer
Arxiv
5+阅读 · 2019年2月28日
Music Transformer
Arxiv
5+阅读 · 2018年12月12日
Doubly Attentive Transformer Machine Translation
Arxiv
4+阅读 · 2018年7月30日
Arxiv
6+阅读 · 2018年2月24日
Top
微信扫码咨询专知VIP会员