白话AI:看懂深度学习真的那么难吗?初中数学,就用10分钟

2018 年 1 月 29 日 深度学习世界

来源:数据与算法之美

如果在这个人工智能的时代,作为一个有理想抱负的程序员,或者学生、爱好者,不懂深度学习这个超热的话题,似乎已经跟时代脱节了。


但是,深度学习对数学的要求,包括微积分、线性代数和概率论与数理统计等,让大部分的有理想抱负青年踟蹰前行。那么问题来了,理解深度学习,到底需不需要这些知识?


关于深度学习,网上的资料很多,不过大部分都不太适合初学者。杨老师总结了几个原因:

  • 深度学习确实需要一定的数学基础。如果不用深入浅出地方法讲,有些读者就会有畏难的情绪,因而容易过早地放弃。

  • 中国人或美国人写的书籍或文章,普遍比较难。


深度学习所需要的数学基础并没有想象中的那么难,只需要知道导数和相关的函数概念即可。假如你高等数学也没学过,很好,这篇文章其实是想让文科生也能看懂,只需要学过初中数学。


不必有畏难的情绪,我比较推崇李书福的精神,在一次电视采访中,李书福说:谁说中国人不能造汽车?造汽车有啥难的,不就是四个轮子加两排沙发嘛。当然,他这个结论有失偏颇,不过精神可嘉。


“王小二卖猪”解读深度学习之导数

导数是什么?

无非就是变化率,比如:王小二今年卖了 100 头猪,去年卖了 90 头,前年卖了 80 头。。。变化率或者增长率是什么?每年增长 10 头猪,多简单。


这里需要注意有个时间变量---年。王小二卖猪的增长率是 10头/年,也就是说,导数是 10。


函数 y = f(x) = 10x + 30,这里我们假设王小二第一年卖了 30 头,以后每年增长 10 头,x代表时间(年),y代表猪的头数。


当然,这是增长率固定的情形,而现实生活中,很多时候,变化量也不是固定的,也就是说增长率不是恒定的。


比如,函数可能是这样: y = f(x) = 5x² + 30,这里 x 和 y 依然代表的是时间和头数,不过增长率变了,怎么算这个增长率,我们回头再讲。或者你干脆记住几个求导的公式也可以。



深度学习还有一个重要的数学概念:偏导数

偏导数的偏怎么理解?偏头疼的偏,还是我不让你导,你偏要导?


都不是,我们还以王小二卖猪为例,刚才我们讲到,x 变量是时间(年),可是卖出去的猪,不光跟时间有关啊,随着业务的增长,王小二不仅扩大了养猪场,还雇了很多员工一起养猪。


所以方程式又变了:y = f(x) = 5x₁² + 8x₂ + 35x₃ + 30


这里 x₂ 代表面积,x₃ 代表员工数,当然 x₁ 还是时间。


以撩妹为例,解读深度学习之“偏导数”

偏导数是什么

偏导数无非就是多个变量的时候,针对某个变量的变化率。在上面的公式里,如果针对 x₃ 求偏导数,也就是说,员工对于猪的增长率贡献有多大。


或者说,随着(每个)员工的增长,猪增加了多少,这里等于 35---每增加一个员工,就多卖出去 35 头猪。


计算偏导数的时候,其他变量都可以看成常量,这点很重要,常量的变化率为 0,所以导数为 0,所以就剩对 35x₃ 求导数,等于 35。对于 x₂ 求偏导,也是类似的。


求偏导,我们用一个符号表示:比如 y / x₃ 就表示 y 对 x₃ 求偏导。



废话半天,这些跟深度学习到底有啥关系?当然有关系,深度学习是采用神经网络,用于解决线性不可分的问题。


这里我主要讲讲数学与深度学习的关系。先给大家看几张图:

图1:所谓深度学习,就是具有很多个隐层的神经网络

图2:单输出的时候,怎么求偏导数

图3:多输出的时候,怎么求偏导数


后面两张图是日本人写的关于深度学习的书里面的两张图片。所谓入力层,出力层,中间层,分别对应于中文的:输入层,输出层,和隐层。


大家不要被这几张图吓着,其实很简单,就以撩妹为例。男女恋爱我们大致可以分为三个阶段:

  • 初恋期。相当于深度学习的输入层。别人吸引你,肯定是有很多因素,比如:身高,身材,脸蛋,学历,性格等等,这些都是输入层的参数,对每个人来说权重可能都不一样。

  • 热恋期。我们就让它对应隐层吧!这个期间,双方各种磨合,柴米油盐酱醋茶。

  • 稳定期。对应输出层,是否合适,就看磨合得咋样了。大家都知道,磨合很重要,怎么磨合呢?就是不断学习训练和修正的过程!

    比如女朋友喜欢草莓蛋糕,你买了蓝莓的,她的反馈是 negative,你下次就别买了蓝莓,改草莓了。


看完这个,有些小伙可能要开始对自己女友调参了。有点不放心,所以补充一下。撩妹和深度学习一样,既要防止欠拟合,也要防止过拟合。


所谓欠拟合,对深度学习而言,就是训练得不够,数据不足,就好比,你撩妹经验不足。要做到拟合,送花当然是最基本的,还需要提高其他方面,比如,提高自身说话的幽默感等。这里需要提一点,欠拟合固然不好,但过拟合就更不合适了。


过拟合跟欠拟合相反,一方面,如果过拟合,她会觉得你有陈冠希老师的潜质,更重要的是,每个人情况不一样,就像深度学习一样,训练集效果很好,但测试集不行!


就撩妹而言,她会觉得你受前任(训练集)影响很大,这是大忌!如果给她这个印象,你以后有的烦了,切记切记!


深度学习也是一个不断磨合的过程,刚开始定义一个标准参数(这些是经验值,就好比情人节和生日必须送花一样),然后不断地修正,得出图 1 每个节点间的权重。


为什么要这样磨合?试想一下,我们假设深度学习是一个小孩,我们怎么教他看图识字?


肯定得先把图片给他看,并且告诉他正确的答案,需要很多图片,不断地教他,训练他,这个训练的过程,其实就类似于求解神经网络权重的过程。以后测试的时候,你只要给他图片,他就知道图里面有什么了。


所以训练集,其实就是给小孩看带有正确答案的图片,对于深度学习而言,训练集就是用来求解神经网络的权重,最后形成模型;而测试集,就是用来验证模型的准确度。


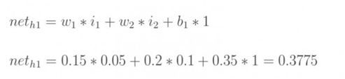
对于已经训练好的模型,如下图所示,权重(w1,w2...)都已知。

图4

图5


像上面这样,从左至右容易算出来。但反过来,测试集有图片,也有预期的正确答案,要反过来求 w1,w2......,怎么办?


怎么求偏导数?


绕了半天,终于该求偏导出场了。目前的情况是:


我们假定一个神经网络已经定义好,比如有多少层,每层有多少个节点,也有默认的权重和激活函数等。输入(图像)确定的情况下,只有调整参数才能改变输出的值。怎么调整,怎么磨合?


每个参数都有一个默认值,我们就对每个参数加上一定的数值∆,然后看看结果如何?如果参数调大,差距也变大,那就得减小∆,因为我们的目标是要让差距变小;反之亦然。


所以为了把参数调整到最佳,我们需要了解误差对每个参数的变化率,这不就是求误差对于该参数的偏导数吗?


这里有两个点:一个是激活函数,主要是为了让整个网络具有非线性特征。我们前面也提到了,很多情况下,线性函数没办法对输入进行适当的分类(很多情况下识别主要是做分类)。


那么就要让网络学出来一个非线性函数,这里就需要激活函数,因为它本身就是非线性的,所以让整个网络也具有了非线性特征。


另外,激活函数也让每个节点的输出值在一个可控的范围内,计算也方便。


貌似这样解释还是很不通俗,其实还可以用撩妹来打比方:女生都不喜欢白开水一样的日子,因为这是线性的,生活中当然需要一些浪漫情怀了,这个激活函数嘛,我感觉类似于生活中的小浪漫,小惊喜。


相处的每个阶段,需要时不时激活一下,制造点小浪漫,小惊喜。比如,一般女生见了可爱的小杯子,瓷器之类都迈不开步子,那就在她生日的时候送一个特别样式,让她感动得想哭。


前面讲到男人要幽默,这是为了让她笑,适当的时候还要让她激动得哭。一哭一笑,多整几个回合,她就离不开你了。因为你的非线性特征太强了。


当然,过犹不及,小惊喜也不是越多越好,但完全没有就成白开水了。就好比每个 layer 都可以加激活函数,当然,不见得每层都要加激活函数,但完全没有,那是不行的。


关键是怎么求偏导。图 2 和图 3 分别给了推导的方法,其实很简单,从右至左挨个求偏导就可以。相邻层的求偏导很简单,因为是线性的,所以偏导数其实就是参数本身嘛,就跟求解 x₃ 的偏导类似。然后把各个偏导相乘就可以了。


这里有两个点:一个是激活函数,其实激活函数也没啥,就是为了让每个节点的输出都在 0 到 1 的区间,这样好算账,所以在结果上面再做了一层映射,都是一对一的。


由于激活函数的存在,在求偏导的时候,也要把它算进去,激活函数,一般用 sigmoid,也可以用 Relu 等。激活函数的求导其实也非常简单:


求导: f'(x)=f(x)*[1-f(x)]


这个方面,有时间可以翻看一下高数,如果没时间,直接记住就行了。至于 Relu,那就更简单了,就是 f(x) 当 x<0 的时候 y 等于 0,其他时候,y 等于 x。


当然,你也可以定义你自己的 Relu 函数,比如 x 大于等于 0 的时候,y 等于 0.01x,也可以。


什么是学习系数?


另一个是学习系数,为什么叫学习系数?


刚才我们上面讲到∆增量,到底每次增加多少合适?是不是等同于偏导数(变化率)?


经验告诉我们,需要乘以一个百分比,这个就是学习系数,而且,随着训练的深入,这个系数是可以变的。


当然,还有一些很重要的基本知识,比如 SGD(随机梯度下降),mini batch 和 epoch(用于训练集的选择)。


上面描述的内容,主要是关于怎么调整参数,属于初级阶段。上面也提到,在调参之前,都有默认的网络模型和参数,如何定义最初始的模型和参数?就需要进一步深入了解。


不过,对于一般做工程而言,只需要在默认的网络上调参就可以,相当于使用算法;对于学者和科学家而言,他们会发明算法,这有很大的难度。向他们致敬!


来源:知乎Jacky Yang


目前有10000+人已关注加入我们,欢迎您关注

       

       



点击下方“阅读原文”了解【人工智能实验平台】
↓↓↓
登录查看更多
0

相关内容

机器学习的一个分支,它基于试图使用包含复杂结构或由多重非线性变换构成的多个处理层对数据进行高层抽象的一系列算法。

知识荟萃

精品入门和进阶教程、论文和代码整理等

更多

查看相关VIP内容、论文、资讯等
最新《机器学习理论初探》概述
专知会员服务
48+阅读 · 2020年5月19日
机器学习速查手册,135页pdf
专知会员服务
345+阅读 · 2020年3月15日
谷歌机器学习速成课程中文版pdf
专知会员服务
147+阅读 · 2019年12月4日
面试时让你手推公式不在害怕 | 梯度下降
计算机视觉life
14+阅读 · 2019年3月27日
博客 | 机器学习中的数学基础(凸优化)
AI研习社
14+阅读 · 2018年12月16日
做机器学习和AI必备的42个数学知识点
AI前线
9+阅读 · 2018年12月6日
入门 | 这是一份文科生都能看懂的线性代数简介
机器之心
14+阅读 · 2018年3月31日
【机器学习数学基础】动图解释泰勒级数(一)
机器学习研究会
6+阅读 · 2018年2月25日
入门 | 一文看懂卷积神经网络
机器之心
5+阅读 · 2018年2月20日
通俗理解卷积神经网络(小学生都能看懂)
七月在线实验室
9+阅读 · 2018年1月25日
10分钟搞懂Tensorflow 逻辑回归实现手写识别
全球人工智能
5+阅读 · 2017年10月19日
图解高等数学|线性代数
遇见数学
39+阅读 · 2017年10月18日
机器学习(18)之支持向量机原理(三)线性不可分支持向量机与核函数
机器学习算法与Python学习
3+阅读 · 2017年9月23日
Arxiv
21+阅读 · 2019年8月21日
Arxiv
4+阅读 · 2018年5月14日
Arxiv
10+阅读 · 2018年4月19日
VIP会员
相关资讯
面试时让你手推公式不在害怕 | 梯度下降
计算机视觉life
14+阅读 · 2019年3月27日
博客 | 机器学习中的数学基础(凸优化)
AI研习社
14+阅读 · 2018年12月16日
做机器学习和AI必备的42个数学知识点
AI前线
9+阅读 · 2018年12月6日
入门 | 这是一份文科生都能看懂的线性代数简介
机器之心
14+阅读 · 2018年3月31日
【机器学习数学基础】动图解释泰勒级数(一)
机器学习研究会
6+阅读 · 2018年2月25日
入门 | 一文看懂卷积神经网络
机器之心
5+阅读 · 2018年2月20日
通俗理解卷积神经网络(小学生都能看懂)
七月在线实验室
9+阅读 · 2018年1月25日
10分钟搞懂Tensorflow 逻辑回归实现手写识别
全球人工智能
5+阅读 · 2017年10月19日
图解高等数学|线性代数
遇见数学
39+阅读 · 2017年10月18日
机器学习(18)之支持向量机原理(三)线性不可分支持向量机与核函数
机器学习算法与Python学习
3+阅读 · 2017年9月23日
Top
微信扫码咨询专知VIP会员