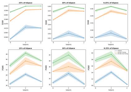
Dynamic imaging is a beneficial tool for interventions to assess physiological changes. Nonetheless during dynamic MRI, while achieving a high temporal resolution, the spatial resolution is compromised. To overcome this spatio-temporal trade-off, this research presents a super-resolution (SR) MRI reconstruction with prior knowledge based fine-tuning to maximise spatial information while preserving high temporal resolution of dynamic MRI. An U-Net based network with perceptual loss is trained on a benchmark dataset and fine-tuned using one subject-specific static high resolution MRI as prior knowledge to obtain high resolution dynamic images during the inference stage. 3D dynamic data for three subjects were acquired with different parameters to test the generalisation capabilities of the network. The method was tested for different levels of in-plane undersampling for dynamic MRI. The reconstructed dynamic SR results after fine-tuning showed higher similarity with the high resolution ground-truth, while quantitatively achieving statistically significant improvement. The average SSIM of the lowest resolution experimented during this research (6.25~\% of the k-space) before and after fine-tuning were 0.939 $\pm$ 0.008 and 0.957 $\pm$ 0.006 respectively. This could theoretically result in an acceleration factor of 16, which can potentially be acquired in less than half a second. The proposed approach shows that the super-resolution MRI reconstruction with prior-information can alleviate the spatio-temporal trade-off in dynamic MRI, even for high acceleration factors.


翻译:动态成像是评估生理变化的一个有益工具。尽管在动态磁共振期间,虽然在取得高时间分辨率的同时,空间分辨率也受到损害。为克服这一时空平衡,本研究展示了超分辨率(SR)MRI重建,以先前的知识为基础进行微调,以尽量扩大空间信息,同时保持动态磁共振的高时间分辨率。基于感知损失的U-Net网络在基准数据集上进行了培训,并使用一个特定主题的静态高分辨率MRI进行微调调整,如先前的知识,以在推断阶段获得高分辨率动态图像。 3个主题的3D动态数据以不同的参数获得,以测试网络的通用能力。该方法的测试对象是对动态磁共振成份进行不同程度的超强分辨率(SR)重建,在对动态MRRI值进行高分辨率调整后,在数量上实现了显著的改进。在本次研究中,最低分辨率平均为SISIM,在推算之前和随后的精确度调整后,在1,939美元/pmm 中,对动态加速度调整后的结果可能为1美元。

0
下载
关闭预览

相关内容

图像超分辨率(SR)是提高图像分辨率的一类重要的图像处理技术以及计算机视觉中的视频。
Hierarchically Structured Meta-learning
CreateAMind
27+阅读 · 2019年5月22日
Transferring Knowledge across Learning Processes
CreateAMind
29+阅读 · 2019年5月18日
逆强化学习-学习人先验的动机
CreateAMind
16+阅读 · 2019年1月18日
Unsupervised Learning via Meta-Learning
CreateAMind
43+阅读 · 2019年1月3日
Hierarchical Imitation - Reinforcement Learning
CreateAMind
19+阅读 · 2018年5月25日
视频超分辨 Detail-revealing Deep Video Super-resolution 论文笔记
统计学习与视觉计算组
17+阅读 · 2018年3月16日
深度学习医学图像分析文献集
机器学习研究会
19+阅读 · 2017年10月13日
可解释的CNN
CreateAMind
17+阅读 · 2017年10月5日
【学习】Hierarchical Softmax
机器学习研究会
4+阅读 · 2017年8月6日
Auto-Encoding GAN
CreateAMind
7+阅读 · 2017年8月4日
Arxiv
0+阅读 · 2021年6月5日
Arxiv
13+阅读 · 2021年5月25日
Arxiv
5+阅读 · 2018年1月17日
VIP会员
相关VIP内容
相关资讯
Hierarchically Structured Meta-learning
CreateAMind
27+阅读 · 2019年5月22日
Transferring Knowledge across Learning Processes
CreateAMind
29+阅读 · 2019年5月18日
逆强化学习-学习人先验的动机
CreateAMind
16+阅读 · 2019年1月18日
Unsupervised Learning via Meta-Learning
CreateAMind
43+阅读 · 2019年1月3日
Hierarchical Imitation - Reinforcement Learning
CreateAMind
19+阅读 · 2018年5月25日
视频超分辨 Detail-revealing Deep Video Super-resolution 论文笔记
统计学习与视觉计算组
17+阅读 · 2018年3月16日
深度学习医学图像分析文献集
机器学习研究会
19+阅读 · 2017年10月13日
可解释的CNN
CreateAMind
17+阅读 · 2017年10月5日
【学习】Hierarchical Softmax
机器学习研究会
4+阅读 · 2017年8月6日
Auto-Encoding GAN
CreateAMind
7+阅读 · 2017年8月4日
Top
微信扫码咨询专知VIP会员