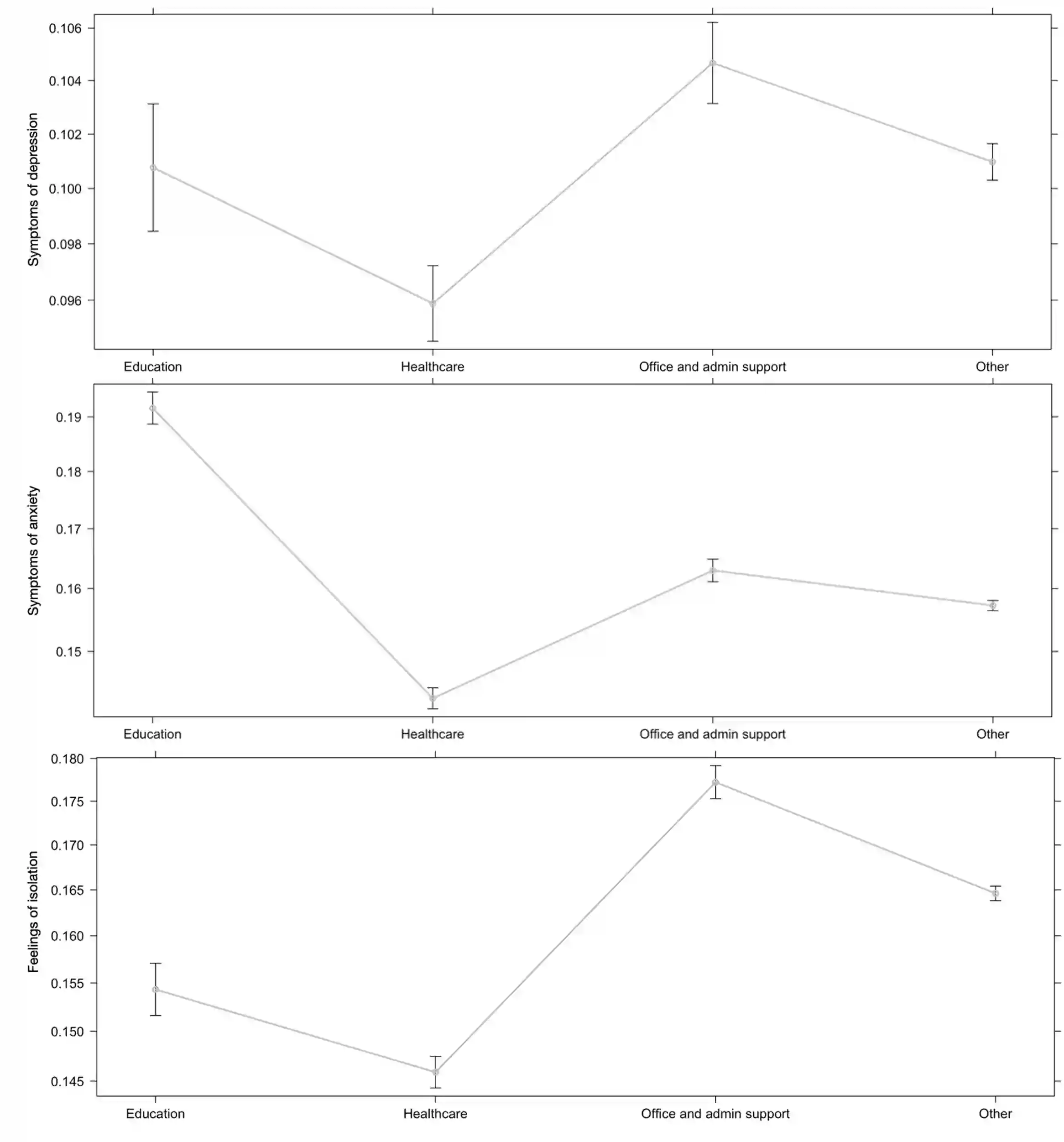
While there is an emergence of research investigating the educational impacts of the COVID-19 pandemic, empirical studies assessing teacher mental health throughout the pandemic have been scarce. Using a large national dataset, the current study first compared mental health outcomes during the pandemic between pK-12 teachers and professionals in other occupations. Further, we compared the prevalence of mental health outcomes between in-person and remote teachers (n = 131,154). Findings indicated teachers reported greater mental health concerns than those in other professions, and that remote teachers reported significantly higher levels of distress than those teaching in-person. Policy implications are discussed, with a focus on providing support to meet the evolving needs of teachers.


翻译:虽然对COVID-19大流行病的教育影响进行了调查,但评估整个大流行病期间教师心理健康的经验研究却很少,使用庞大的国家数据集,目前的研究首先比较了该大流行病期间PK-12教师和其他职业专业人员之间的心理健康结果,此外,我们比较了现场教师和边远教师之间心理健康结果的普遍程度(n=131,154)。 调查结果显示,教师报告的心理健康问题比其他专业的教师大得多,偏远教师报告的痛苦程度大大高于当面教师;讨论了政策影响,重点是提供支助,以满足教师不断变化的需求。

0
下载
关闭预览

相关内容

《计算机信息》杂志发表高质量的论文,扩大了运筹学和计算的范围,寻求有关理论、方法、实验、系统和应用方面的原创研究论文、新颖的调查和教程论文,以及描述新的和有用的软件工具的论文。官网链接:https://pubsonline.informs.org/journal/ijoc
专知会员服务
41+阅读 · 2020年9月6日
耶鲁大学《分布式系统理论》笔记,491页pdf
专知会员服务
46+阅读 · 2020年7月29日
Linux导论,Introduction to Linux,96页ppt
专知会员服务
82+阅读 · 2020年7月26日
强化学习最新教程,17页pdf
专知会员服务
182+阅读 · 2019年10月11日
【哈佛大学商学院课程Fall 2019】机器学习可解释性
专知会员服务
105+阅读 · 2019年10月9日
LibRec 精选:AutoML for Contextual Bandits
LibRec智能推荐
7+阅读 · 2019年9月19日
学术报告|UCLA副教授孙怡舟博士
科技创新与创业
9+阅读 · 2019年6月18日
Transferring Knowledge across Learning Processes
CreateAMind
29+阅读 · 2019年5月18日
Call for Participation: Shared Tasks in NLPCC 2019
中国计算机学会
5+阅读 · 2019年3月22日
【TED】生命中的每一年的智慧
英语演讲视频每日一推
10+阅读 · 2019年1月29日
A Technical Overview of AI & ML in 2018 & Trends for 2019
待字闺中
18+阅读 · 2018年12月24日
计算机类 | 期刊专刊截稿信息9条
Call4Papers
4+阅读 · 2018年1月26日
资源|斯坦福课程:深度学习理论!
全球人工智能
17+阅读 · 2017年11月9日
【今日新增】IEEE Trans.专刊截稿信息8条
Call4Papers
7+阅读 · 2017年6月29日
VIP会员
相关资讯
LibRec 精选:AutoML for Contextual Bandits
LibRec智能推荐
7+阅读 · 2019年9月19日
学术报告|UCLA副教授孙怡舟博士
科技创新与创业
9+阅读 · 2019年6月18日
Transferring Knowledge across Learning Processes
CreateAMind
29+阅读 · 2019年5月18日
Call for Participation: Shared Tasks in NLPCC 2019
中国计算机学会
5+阅读 · 2019年3月22日
【TED】生命中的每一年的智慧
英语演讲视频每日一推
10+阅读 · 2019年1月29日
A Technical Overview of AI & ML in 2018 & Trends for 2019
待字闺中
18+阅读 · 2018年12月24日
计算机类 | 期刊专刊截稿信息9条
Call4Papers
4+阅读 · 2018年1月26日
资源|斯坦福课程:深度学习理论!
全球人工智能
17+阅读 · 2017年11月9日
【今日新增】IEEE Trans.专刊截稿信息8条
Call4Papers
7+阅读 · 2017年6月29日
Top
微信扫码咨询专知VIP会员