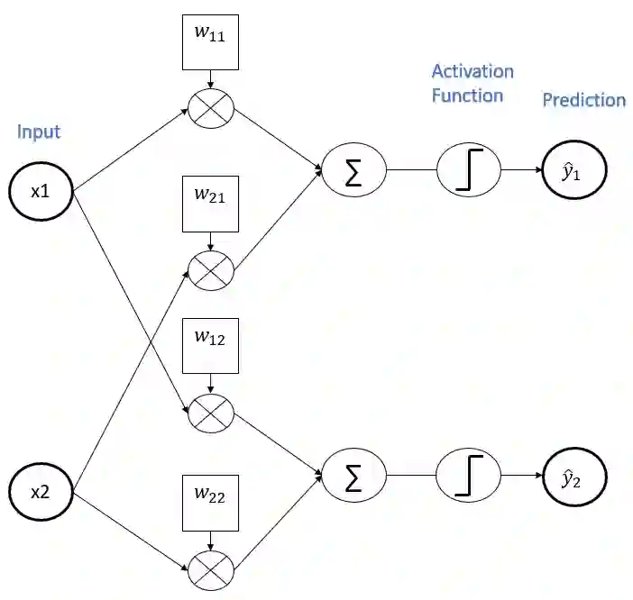
Deep Neural Networks (DNNs) are commonly deployed on end devices that exist in constantly changing environments. In order for the system to maintain it's accuracy, it is critical that it is able to adapt to changes and recover by retraining parts of the network. However, end devices have limited resources making it challenging to train on the same device. Moreover, training deep neural networks is both memory and compute intensive due to the backpropagation algorithm. In this paper we introduce a method using evolutionary strategy (ES) that can partially retrain the network enabling it to adapt to changes and recover after an error has occurred. This technique enables training on an inference-only hardware without the need to use backpropagation and with minimal resource overhead. We demonstrate the ability of our technique to retrain a quantized MNIST neural network after injecting noise to the input. Furthermore, we present the micro-architecture required to enable training on HLS4ML (an inference hardware architecture) and implement it in Verilog. We synthesize our implementation for a Xilinx Kintex Ultrascale Field Programmable Gate Array (FPGA) resulting in less than 1% resource utilization required to implement the incremental training.


翻译:深心神经网络(DNNS)通常部署在在不断变化的环境中存在的末端装置上。为了保持系统的准确性,该系统必须能够适应变化,并通过再培训网络部分进行恢复。然而,终端装置资源有限,因此难以在同一设备上进行培训。此外,培训深心神经网络是记忆和计算密集的,因为后向转换算法。在本文件中,我们引入了一种方法,使用进化战略(ES)对网络进行部分再培训,使其能够适应变化,并在出错后恢复。这一技术使得能够进行仅使用推断的硬件的培训,而无需使用反向调整和资源的间接费用。我们展示了在输入噪音后对一个四分化的MNIST神经网络进行再培训的能力。此外,我们介绍了必要的微结构,以便能够进行关于HLS4M(推断硬件结构)的培训,并在Verilog实施。我们把我们实施的安装在Xilinx Kintex 超偏向型的野外可编程Array的硬件上,比对投入的资源进行更少的递增使用。

0
下载
关闭预览

相关内容

Networking:IFIP International Conferences on Networking。 Explanation:国际网络会议。 Publisher:IFIP。 SIT: http://dblp.uni-trier.de/db/conf/networking/index.html
【CVPR 2021】变换器跟踪TransT: Transformer Tracking
专知会员服务
22+阅读 · 2021年4月20日
【Google】平滑对抗训练,Smooth Adversarial Training
专知会员服务
49+阅读 · 2020年7月4日
还在修改博士论文?这份《博士论文写作技巧》为你指南
Stabilizing Transformers for Reinforcement Learning
专知会员服务
60+阅读 · 2019年10月17日
Keras François Chollet 《Deep Learning with Python 》, 386页pdf
专知会员服务
160+阅读 · 2019年10月12日
计算机类 | PLDI 2020等国际会议信息6条
Call4Papers
3+阅读 · 2019年7月8日
灾难性遗忘问题新视角:迁移-干扰平衡
CreateAMind
17+阅读 · 2019年7月6日
Hierarchically Structured Meta-learning
CreateAMind
27+阅读 · 2019年5月22日
计算机 | CCF推荐期刊专刊信息5条
Call4Papers
3+阅读 · 2019年4月10日
无监督元学习表示学习
CreateAMind
27+阅读 · 2019年1月4日
Unsupervised Learning via Meta-Learning
CreateAMind
43+阅读 · 2019年1月3日
A Technical Overview of AI & ML in 2018 & Trends for 2019
待字闺中
18+阅读 · 2018年12月24日
计算机类 | 期刊专刊截稿信息9条
Call4Papers
4+阅读 · 2018年1月26日
【计算机类】期刊专刊/国际会议截稿信息6条
Call4Papers
3+阅读 · 2017年10月13日
【今日新增】IEEE Trans.专刊截稿信息8条
Call4Papers
7+阅读 · 2017年6月29日
Neural Speech Synthesis with Transformer Network
Arxiv
5+阅读 · 2019年1月30日
Arxiv
8+阅读 · 2018年4月8日
Arxiv
7+阅读 · 2018年3月19日
Arxiv
6+阅读 · 2018年2月8日
VIP会员
相关资讯
计算机类 | PLDI 2020等国际会议信息6条
Call4Papers
3+阅读 · 2019年7月8日
灾难性遗忘问题新视角:迁移-干扰平衡
CreateAMind
17+阅读 · 2019年7月6日
Hierarchically Structured Meta-learning
CreateAMind
27+阅读 · 2019年5月22日
计算机 | CCF推荐期刊专刊信息5条
Call4Papers
3+阅读 · 2019年4月10日
无监督元学习表示学习
CreateAMind
27+阅读 · 2019年1月4日
Unsupervised Learning via Meta-Learning
CreateAMind
43+阅读 · 2019年1月3日
A Technical Overview of AI & ML in 2018 & Trends for 2019
待字闺中
18+阅读 · 2018年12月24日
计算机类 | 期刊专刊截稿信息9条
Call4Papers
4+阅读 · 2018年1月26日
【计算机类】期刊专刊/国际会议截稿信息6条
Call4Papers
3+阅读 · 2017年10月13日
【今日新增】IEEE Trans.专刊截稿信息8条
Call4Papers
7+阅读 · 2017年6月29日
相关论文
Neural Speech Synthesis with Transformer Network
Arxiv
5+阅读 · 2019年1月30日
Arxiv
8+阅读 · 2018年4月8日
Arxiv
7+阅读 · 2018年3月19日
Arxiv
6+阅读 · 2018年2月8日
Top
微信扫码咨询专知VIP会员