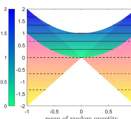
We present a novel approach to determine the evolution of level sets under uncertainties in the velocity fields. This leads to a stochastic description of the level sets. To compute the quantiles of random level sets, we use the stochastic Galerkin method for a hyperbolic reformulation of the level-set equations. A novel intrusive Galerkin formulation is presented and proven hyperbolic. It induces a corresponding finite-volume scheme that is specifically taylored for uncertain velocities.


翻译:我们提出了一个新颖的方法来确定在速度字段不确定情况下的等级设置的演变。 这导致对等级设置进行随机描述。 为了计算随机等级组的量化, 我们使用随机等级组的振荡加勒金法来重拟等级设置方程的双曲。 我们展示了一种新型的侵扰性加勒金配方, 并证明了它具有双曲性。 它引出一种相应的有限量方案, 具体地说, 用于不确定速度的微量方案 。

0
下载
关闭预览

相关内容

【经典书】模式识别导论,561页pdf
专知会员服务
84+阅读 · 2021年6月30日
专知会员服务
78+阅读 · 2021年3月16日
专知会员服务
51+阅读 · 2020年12月14日
【干货书】机器学习速查手册,135页pdf
专知会员服务
127+阅读 · 2020年11月20日
【经典书】C语言傻瓜式入门(第二版),411页pdf
专知会员服务
54+阅读 · 2020年8月16日
强化学习最新教程,17页pdf
专知会员服务
182+阅读 · 2019年10月11日
Hierarchical Disentangled Representations
CreateAMind
4+阅读 · 2018年4月15日
Soft-NMS – Improving Object Detection With One Line of Code
统计学习与视觉计算组
6+阅读 · 2018年3月30日
【推荐】直接未来预测:增强学习监督学习
机器学习研究会
6+阅读 · 2017年11月24日
【推荐】用Python/OpenCV实现增强现实
机器学习研究会
15+阅读 · 2017年11月16日
【推荐】决策树/随机森林深入解析
机器学习研究会
5+阅读 · 2017年9月21日
【推荐】RNN/LSTM时序预测
机器学习研究会
25+阅读 · 2017年9月8日
Auto-Encoding GAN
CreateAMind
7+阅读 · 2017年8月4日
Arxiv
0+阅读 · 2021年12月9日
Arxiv
0+阅读 · 2021年12月7日
VIP会员
相关VIP内容
【经典书】模式识别导论,561页pdf
专知会员服务
84+阅读 · 2021年6月30日
专知会员服务
78+阅读 · 2021年3月16日
专知会员服务
51+阅读 · 2020年12月14日
【干货书】机器学习速查手册,135页pdf
专知会员服务
127+阅读 · 2020年11月20日
【经典书】C语言傻瓜式入门(第二版),411页pdf
专知会员服务
54+阅读 · 2020年8月16日
强化学习最新教程,17页pdf
专知会员服务
182+阅读 · 2019年10月11日
相关资讯
Hierarchical Disentangled Representations
CreateAMind
4+阅读 · 2018年4月15日
Soft-NMS – Improving Object Detection With One Line of Code
统计学习与视觉计算组
6+阅读 · 2018年3月30日
【推荐】直接未来预测:增强学习监督学习
机器学习研究会
6+阅读 · 2017年11月24日
【推荐】用Python/OpenCV实现增强现实
机器学习研究会
15+阅读 · 2017年11月16日
【推荐】决策树/随机森林深入解析
机器学习研究会
5+阅读 · 2017年9月21日
【推荐】RNN/LSTM时序预测
机器学习研究会
25+阅读 · 2017年9月8日
Auto-Encoding GAN
CreateAMind
7+阅读 · 2017年8月4日
Top
微信扫码咨询专知VIP会员