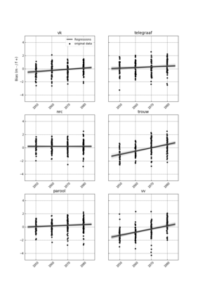
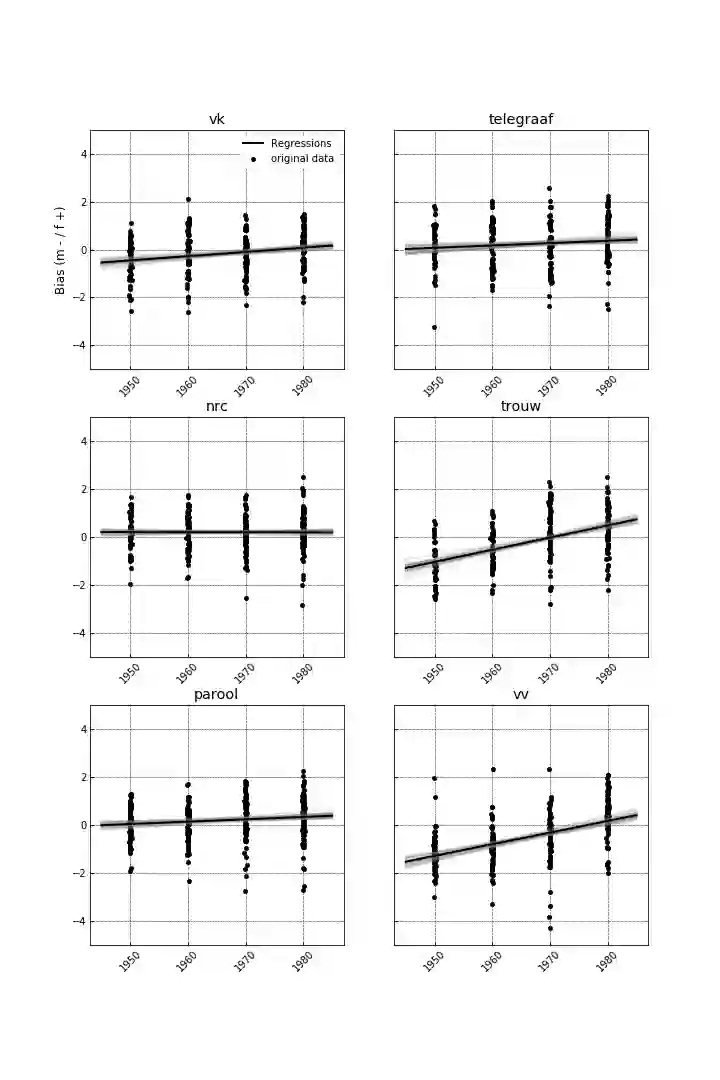
Contemporary debates on filter bubbles and polarization in public and social media raise the question to what extent news media of the past exhibited biases. This paper specifically examines bias related to gender in six Dutch national newspapers between 1950 and 1990. We measure bias related to gender by comparing local changes in word embedding models trained on newspapers with divergent ideological backgrounds. We demonstrate clear differences in gender bias and changes within and between newspapers over time. In relation to themes such as sexuality and leisure, we see the bias moving toward women, whereas, generally, the bias shifts in the direction of men, despite growing female employment number and feminist movements. Even though Dutch society became less stratified ideologically (depillarization), we found an increasing divergence in gender bias between religious and social-democratic on the one hand and liberal newspapers on the other. Methodologically, this paper illustrates how word embeddings can be used to examine historical language change. Future work will investigate how fine-tuning deep contextualized embedding models, such as ELMO, might be used for similar tasks with greater contextual information.


翻译:关于公共和社交媒体过滤泡沫和两极分化的当代辩论提出了这样一个问题,即过去新闻媒体表现出偏见的程度;本文具体审查了1950年至1990年期间荷兰六家全国性报纸中与性别有关的偏见;我们通过比较当地在具有不同意识形态背景的报纸上培训的文字嵌入模式的变化,衡量与性别有关的偏见;我们显示了性别偏见以及报纸内部和不同时间之间在性别偏见和变化方面的明显差异;关于性与休闲等主题,我们看到偏向妇女,而一般而言,尽管女性就业人数和女权运动不断增加,偏见却向男子的方向转移。尽管荷兰社会在意识形态上已变得不那么分化(分化),但我们发现宗教和社会民主与自由报纸之间的性别偏见日益不同。从方法上讲,本文说明了如何用文字嵌入来审查历史语言变化。未来的工作将研究如何精细调整深背景化的嵌入模式,例如ELMO,用于与更多背景信息的类似任务。

0
下载
关闭预览

相关内容

Stabilizing Transformers for Reinforcement Learning
专知会员服务
60+阅读 · 2019年10月17日
Keras François Chollet 《Deep Learning with Python 》, 386页pdf
专知会员服务
160+阅读 · 2019年10月12日
[综述]深度学习下的场景文本检测与识别
专知会员服务
78+阅读 · 2019年10月10日
机器学习入门的经验与建议
专知会员服务
94+阅读 · 2019年10月10日
最新BERT相关论文清单,BERT-related Papers
专知会员服务
53+阅读 · 2019年9月29日
LibRec 精选:AutoML for Contextual Bandits
LibRec智能推荐
7+阅读 · 2019年9月19日
计算机 | 入门级EI会议ICVRIS 2019诚邀稿件
Call4Papers
10+阅读 · 2019年6月24日
LibRec 精选:从0开始构建RNN网络
LibRec智能推荐
5+阅读 · 2019年5月31日
Transferring Knowledge across Learning Processes
CreateAMind
29+阅读 · 2019年5月18日
强化学习的Unsupervised Meta-Learning
CreateAMind
18+阅读 · 2019年1月7日
A Technical Overview of AI & ML in 2018 & Trends for 2019
待字闺中
18+阅读 · 2018年12月24日
LibRec 精选:推荐系统的论文与源码
LibRec智能推荐
14+阅读 · 2018年11月29日
人工智能 | 国际会议/SCI期刊约稿信息9条
Call4Papers
3+阅读 · 2018年1月12日
【论文】图上的表示学习综述
机器学习研究会
15+阅读 · 2017年9月24日
Auto-Encoding GAN
CreateAMind
7+阅读 · 2017年8月4日
Arxiv
4+阅读 · 2019年12月2日
Interpretable Adversarial Training for Text
Arxiv
5+阅读 · 2019年5月30日
Learning to Weight for Text Classification
Arxiv
8+阅读 · 2019年3月28日
Arxiv
6+阅读 · 2019年3月19日
Single-frame Regularization for Temporally Stable CNNs
Arxiv
3+阅读 · 2018年8月27日
Arxiv
5+阅读 · 2017年10月27日
VIP会员
相关资讯
LibRec 精选:AutoML for Contextual Bandits
LibRec智能推荐
7+阅读 · 2019年9月19日
计算机 | 入门级EI会议ICVRIS 2019诚邀稿件
Call4Papers
10+阅读 · 2019年6月24日
LibRec 精选:从0开始构建RNN网络
LibRec智能推荐
5+阅读 · 2019年5月31日
Transferring Knowledge across Learning Processes
CreateAMind
29+阅读 · 2019年5月18日
强化学习的Unsupervised Meta-Learning
CreateAMind
18+阅读 · 2019年1月7日
A Technical Overview of AI & ML in 2018 & Trends for 2019
待字闺中
18+阅读 · 2018年12月24日
LibRec 精选:推荐系统的论文与源码
LibRec智能推荐
14+阅读 · 2018年11月29日
人工智能 | 国际会议/SCI期刊约稿信息9条
Call4Papers
3+阅读 · 2018年1月12日
【论文】图上的表示学习综述
机器学习研究会
15+阅读 · 2017年9月24日
Auto-Encoding GAN
CreateAMind
7+阅读 · 2017年8月4日
相关论文
Arxiv
4+阅读 · 2019年12月2日
Interpretable Adversarial Training for Text
Arxiv
5+阅读 · 2019年5月30日
Learning to Weight for Text Classification
Arxiv
8+阅读 · 2019年3月28日
Arxiv
6+阅读 · 2019年3月19日
Single-frame Regularization for Temporally Stable CNNs
Arxiv
3+阅读 · 2018年8月27日
Arxiv
5+阅读 · 2017年10月27日
Top
微信扫码咨询专知VIP会员