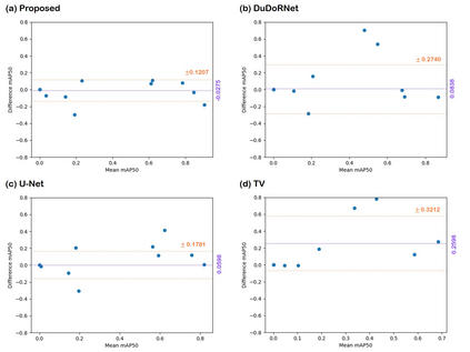
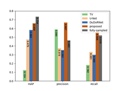
Score-based diffusion models provide a powerful way to model images using the gradient of the data distribution. Leveraging the learned score function as a prior, here we introduce a way to sample data from a conditional distribution given the measurements, such that the model can be readily used for solving inverse problems in imaging, especially for accelerated MRI. In short, we train a continuous time-dependent score function with denoising score matching. Then, at the inference stage, we iterate between numerical SDE solver and data consistency projection step to achieve reconstruction. Our model requires magnitude images only for training, and yet is able to reconstruct complex-valued data, and even extends to parallel imaging. The proposed method is agnostic to sub-sampling patterns, and can be used with any sampling schemes. Also, due to its generative nature, our approach can quantify uncertainty, which is not possible with standard regression settings. On top of all the advantages, our method also has very strong performance, even beating the models trained with full supervision. With extensive experiments, we verify the superiority of our method in terms of quality and practicality.


翻译:基于分数的传播模型为利用数据分布梯度来模拟图像提供了强大的方法。 将所学得的分数函数作为先期利用, 在此我们引入了一种方法, 从测量条件下的有条件分布中取样数据, 这样模型可以很容易地用于解决成像中的反向问题, 特别是加速的磁共振。 简言之, 我们用分数匹配来训练一个持续的时间依赖的得分函数。 然后, 在推论阶段, 我们将数字SDE解码器和数据一致性预测步骤进行循环, 以实现重建。 我们的模型需要数量级图像, 仅用于培训, 并且能够重建复杂价值的数据, 甚至可以扩展到平行的成像。 所提议的方法对于次抽样模式来说是不可知的, 并且可以用于任何取样计划。 此外, 由于其具有基因化的性质, 我们的方法可以量化不确定性, 而在标准的回归设置上是不可能的。 在所有的优点上, 我们的方法也有非常强的性能, 甚至击败经过全面监督的模型。 通过广泛的实验, 我们核查了我们的方法在质量和实用性方面的优势。

0
下载
关闭预览

相关内容

ACM/IEEE第23届模型驱动工程语言和系统国际会议,是模型驱动软件和系统工程的首要会议系列,由ACM-SIGSOFT和IEEE-TCSE支持组织。自1998年以来,模型涵盖了建模的各个方面,从语言和方法到工具和应用程序。模特的参加者来自不同的背景,包括研究人员、学者、工程师和工业专业人士。MODELS 2019是一个论坛,参与者可以围绕建模和模型驱动的软件和系统交流前沿研究成果和创新实践经验。今年的版本将为建模社区提供进一步推进建模基础的机会,并在网络物理系统、嵌入式系统、社会技术系统、云计算、大数据、机器学习、安全、开源等新兴领域提出建模的创新应用以及可持续性。 官网链接:http://www.modelsconference.org/
专知会员服务
45+阅读 · 2020年10月31日
专知会员服务
61+阅读 · 2020年3月19日
Keras François Chollet 《Deep Learning with Python 》, 386页pdf
专知会员服务
163+阅读 · 2019年10月12日
[综述]深度学习下的场景文本检测与识别
专知会员服务
78+阅读 · 2019年10月10日
【SIGGRAPH2019】TensorFlow 2.0深度学习计算机图形学应用
专知会员服务
41+阅读 · 2019年10月9日
最新BERT相关论文清单,BERT-related Papers
专知会员服务
53+阅读 · 2019年9月29日
ACM TOMM Call for Papers
CCF多媒体专委会
2+阅读 · 2022年3月23日
Hierarchically Structured Meta-learning
CreateAMind
27+阅读 · 2019年5月22日
Unsupervised Learning via Meta-Learning
CreateAMind
43+阅读 · 2019年1月3日
A Technical Overview of AI & ML in 2018 & Trends for 2019
待字闺中
18+阅读 · 2018年12月24日
vae 相关论文 表示学习 1
CreateAMind
12+阅读 · 2018年9月6日
【SIGIR2018】五篇对抗训练文章
专知
12+阅读 · 2018年7月9日
【论文】变分推断(Variational inference)的总结
机器学习研究会
39+阅读 · 2017年11月16日
【推荐】YOLO实时目标检测(6fps)
机器学习研究会
20+阅读 · 2017年11月5日
国家自然科学基金
0+阅读 · 2012年12月31日
国家自然科学基金
0+阅读 · 2012年12月31日
国家自然科学基金
0+阅读 · 2009年12月31日
国家自然科学基金
0+阅读 · 2009年12月31日
国家自然科学基金
0+阅读 · 2008年12月31日
Arxiv
1+阅读 · 2022年4月19日
Arxiv
0+阅读 · 2022年4月18日
VIP会员
相关资讯
ACM TOMM Call for Papers
CCF多媒体专委会
2+阅读 · 2022年3月23日
Hierarchically Structured Meta-learning
CreateAMind
27+阅读 · 2019年5月22日
Unsupervised Learning via Meta-Learning
CreateAMind
43+阅读 · 2019年1月3日
A Technical Overview of AI & ML in 2018 & Trends for 2019
待字闺中
18+阅读 · 2018年12月24日
vae 相关论文 表示学习 1
CreateAMind
12+阅读 · 2018年9月6日
【SIGIR2018】五篇对抗训练文章
专知
12+阅读 · 2018年7月9日
【论文】变分推断(Variational inference)的总结
机器学习研究会
39+阅读 · 2017年11月16日
【推荐】YOLO实时目标检测(6fps)
机器学习研究会
20+阅读 · 2017年11月5日
相关基金
国家自然科学基金
0+阅读 · 2012年12月31日
国家自然科学基金
0+阅读 · 2012年12月31日
国家自然科学基金
0+阅读 · 2009年12月31日
国家自然科学基金
0+阅读 · 2009年12月31日
国家自然科学基金
0+阅读 · 2008年12月31日
Top
微信扫码咨询专知VIP会员