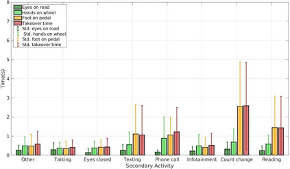
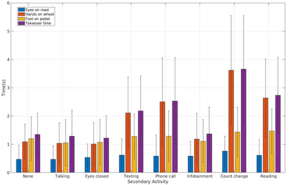
With increasing automation in passenger vehicles, the study of safe and smooth occupant-vehicle interaction and control transitions is key. In this study, we focus on the development of contextual, semantically meaningful representations of the driver state, which can then be used to determine the appropriate timing and conditions for transfer of control between driver and vehicle. To this end, we conduct a large-scale real-world controlled data study where participants are instructed to take-over control from an autonomous agent under different driving conditions while engaged in a variety of distracting activities. These take-over events are captured using multiple driver-facing cameras, which when labelled result in a dataset of control transitions and their corresponding take-over times (TOTs). After augmenting this dataset, we develop and train TOT models that operate sequentially on low and mid-level features produced by computer vision algorithms operating on different driver-facing camera views. The proposed TOT model produces continuous estimates of take-over times without delay, and shows promising qualitative and quantitative results in complex real-world scenarios.


翻译:随着客车自动化程度的提高,对安全、顺利机动车辆相互作用和控制过渡的研究是关键所在。在本研究中,我们侧重于开发驾驶员状态的符合情境、具有真实意义的表达方式,然后可以用来确定驾驶员和车辆之间转移控制的适当时间和条件。为此,我们进行了大规模真实世界控制的数据研究,指示参加者在不同的驾驶条件下,在不同的驾驶条件下,在从事各种分散注意力的活动时,从一个自主的代理人手中接管控制。这些接管事件是用多部显示驾驶员的照相机拍摄的,这些照相机在贴上标签后将产生控制过渡数据集及其相应的占用时间(TOTs),在扩大这一数据集后,我们开发和培训TOT模型,这些模型在以不同驾驶员的摄像器视图生成的中低级别特征上按顺序运行。拟议的TOT模型可以不间断地对占用时间进行估计,毫不迟延地显示复杂的真实世界情景中质量和数量结果。

0
下载
关闭预览

相关内容

DARPA可解释人工智能
专知会员服务
131+阅读 · 2020年12月22日
【干货书】真实机器学习,264页pdf,Real-World Machine Learning
深度强化学习策略梯度教程,53页ppt
专知会员服务
184+阅读 · 2020年2月1日
Keras François Chollet 《Deep Learning with Python 》, 386页pdf
专知会员服务
163+阅读 · 2019年10月12日
强化学习最新教程,17页pdf
专知会员服务
182+阅读 · 2019年10月11日
计算机 | 入门级EI会议ICVRIS 2019诚邀稿件
Call4Papers
10+阅读 · 2019年6月24日
Transferring Knowledge across Learning Processes
CreateAMind
29+阅读 · 2019年5月18日
Call for Participation: Shared Tasks in NLPCC 2019
中国计算机学会
5+阅读 · 2019年3月22日
人工智能 | SCI期刊专刊信息3条
Call4Papers
5+阅读 · 2019年1月10日
carla 学习笔记
CreateAMind
9+阅读 · 2018年2月7日
推荐|深度强化学习聊天机器人(附论文)!
全球人工智能
4+阅读 · 2018年1月30日
计算机视觉近一年进展综述
机器学习研究会
9+阅读 · 2017年11月25日
可解释的CNN
CreateAMind
17+阅读 · 2017年10月5日
VIP会员
相关VIP内容
DARPA可解释人工智能
专知会员服务
131+阅读 · 2020年12月22日
【干货书】真实机器学习,264页pdf,Real-World Machine Learning
深度强化学习策略梯度教程,53页ppt
专知会员服务
184+阅读 · 2020年2月1日
Keras François Chollet 《Deep Learning with Python 》, 386页pdf
专知会员服务
163+阅读 · 2019年10月12日
强化学习最新教程,17页pdf
专知会员服务
182+阅读 · 2019年10月11日
相关资讯
计算机 | 入门级EI会议ICVRIS 2019诚邀稿件
Call4Papers
10+阅读 · 2019年6月24日
Transferring Knowledge across Learning Processes
CreateAMind
29+阅读 · 2019年5月18日
Call for Participation: Shared Tasks in NLPCC 2019
中国计算机学会
5+阅读 · 2019年3月22日
人工智能 | SCI期刊专刊信息3条
Call4Papers
5+阅读 · 2019年1月10日
carla 学习笔记
CreateAMind
9+阅读 · 2018年2月7日
推荐|深度强化学习聊天机器人(附论文)!
全球人工智能
4+阅读 · 2018年1月30日
计算机视觉近一年进展综述
机器学习研究会
9+阅读 · 2017年11月25日
可解释的CNN
CreateAMind
17+阅读 · 2017年10月5日
Top
微信扫码咨询专知VIP会员