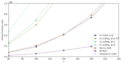
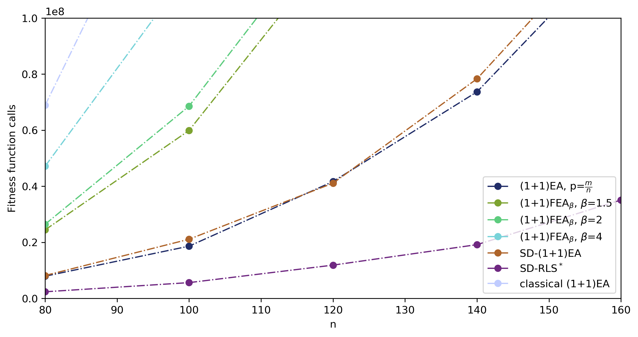
Recently a mechanism called stagnation detection was proposed that automatically adjusts the mutation rate of evolutionary algorithms when they encounter local optima. The so-called $SD-(1+1)EA$ introduced by Rajabi and Witt (GECCO 2020) adds stagnation detection to the classical $(1+1)EA$ with standard bit mutation, which flips each bit independently with some mutation rate, and raises the mutation rate when the algorithm is likely to have encountered local optima. In this paper, we investigate stagnation detection in the context of the $k$-bit flip operator of randomized local search that flips $k$ bits chosen uniformly at random and let stagnation detection adjust the parameter $k$. We obtain improved runtime results compared to the $SD-(1+1)EA$ amounting to a speed-up of up to $e=2.71\dots$ Moreover, we propose additional schemes that prevent infinite optimization times even if the algorithm misses a working choice of $k$ due to unlucky events. Finally, we present an example where standard bit mutation still outperforms the local $k$-bit flip with stagnation detection.


翻译:最近,有人提议了一个称为“停滞检测”的机制,在进化算法遇到本地opima时自动调整进化算法的突变率。Rajabi和Witt(GecCO 2020)推出的所谓的$SD-1+1EA$,将停滞检测率提高到古典的$(1+1EA$),标准位突变率随某些突变率而自动翻转,并当演算法可能遇到本地opima时提高突变率。在本文中,我们调查了在随机随机随机选择的本地随机搜索中以美元比位数翻转而让停滞检测调整参数$k$1+1EA$的情况下出现的停滞检测率。我们获得了更好的运行时间结果,而美元比美元(1+1)的运行率加速,相当于高达$2.71美元。此外,我们提议了额外的计划,防止无限优化时间,即使算法由于不幸运事件而错过了1美元的工作选择。最后,我们举了一个标准位突变率仍然超过本地的1美元位翻转与停滞检测。

0
下载
关闭预览

相关内容

The Genetic and Evolutionary Computation Conference
专知会员服务
51+阅读 · 2020年12月14日
深度学习搜索,Exploring Deep Learning for Search
专知会员服务
61+阅读 · 2020年5月9日
强化学习最新教程,17页pdf
专知会员服务
182+阅读 · 2019年10月11日
2019年机器学习框架回顾
专知会员服务
36+阅读 · 2019年10月11日
[综述]深度学习下的场景文本检测与识别
专知会员服务
78+阅读 · 2019年10月10日
Hierarchically Structured Meta-learning
CreateAMind
27+阅读 · 2019年5月22日
meta learning 17年:MAML SNAIL
CreateAMind
11+阅读 · 2019年1月2日
Ray RLlib: Scalable 降龙十八掌
CreateAMind
9+阅读 · 2018年12月28日
A Technical Overview of AI & ML in 2018 & Trends for 2019
待字闺中
18+阅读 · 2018年12月24日
Single-Shot Object Detection with Enriched Semantics
统计学习与视觉计算组
14+阅读 · 2018年8月29日
Hierarchical Imitation - Reinforcement Learning
CreateAMind
19+阅读 · 2018年5月25日
Adversarial Variational Bayes: Unifying VAE and GAN 代码
CreateAMind
7+阅读 · 2017年10月4日
【学习】Hierarchical Softmax
机器学习研究会
4+阅读 · 2017年8月6日
Auto-Encoding GAN
CreateAMind
7+阅读 · 2017年8月4日
Arxiv
0+阅读 · 2021年3月22日
Arxiv
11+阅读 · 2019年4月15日
Scale-Aware Trident Networks for Object Detection
Arxiv
4+阅读 · 2019年1月7日
Deep Anomaly Detection with Outlier Exposure
Arxiv
17+阅读 · 2018年12月21日
VIP会员
相关资讯
Hierarchically Structured Meta-learning
CreateAMind
27+阅读 · 2019年5月22日
meta learning 17年:MAML SNAIL
CreateAMind
11+阅读 · 2019年1月2日
Ray RLlib: Scalable 降龙十八掌
CreateAMind
9+阅读 · 2018年12月28日
A Technical Overview of AI & ML in 2018 & Trends for 2019
待字闺中
18+阅读 · 2018年12月24日
Single-Shot Object Detection with Enriched Semantics
统计学习与视觉计算组
14+阅读 · 2018年8月29日
Hierarchical Imitation - Reinforcement Learning
CreateAMind
19+阅读 · 2018年5月25日
Adversarial Variational Bayes: Unifying VAE and GAN 代码
CreateAMind
7+阅读 · 2017年10月4日
【学习】Hierarchical Softmax
机器学习研究会
4+阅读 · 2017年8月6日
Auto-Encoding GAN
CreateAMind
7+阅读 · 2017年8月4日
Top
微信扫码咨询专知VIP会员