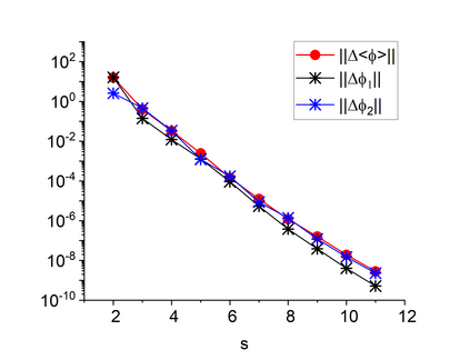
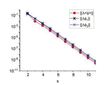
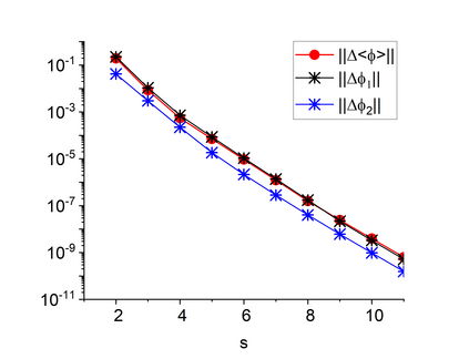
This paper presents an iteration method for solving linear particle transport problems in binary stochastic mixtures. It is based on nonlinear projection approach. The method is defined by a hierarchy of equations consisting of the high-order transport equation for materials, low-order Yvon-Mertens equations for conditional ensemble average of the material partial scalar fluxes, and low-order quasidiffusion equations for the ensemble average of the scalar flux and current. The multilevel system of equations is solved by means of an iterative algorithm with the $V$-cycle. The iteration method is analyzed on a set of numerical test problems.


翻译:本文件介绍了解决二进制随机混合物线性粒子迁移问题的迭代法,它以非线性预测法为基础。该方法由一系列方程式来界定,其中包括材料的高序传输方程式、材料部分卡路里通量的有条件合用平均数的低序Yvon-Mertens方程式、以及卡路里通量和流中通量的混合平均数的低序准扩散方程式。多级方程式系统通过以美元周期的迭代算法来解决。迭代法方法是用一组数字测试问题来分析的。

0
下载
关闭预览

相关内容

最新《高级算法》Advanced Algorithms,176页pdf
专知会员服务
92+阅读 · 2020年10月22日
商业数据分析,39页ppt
专知会员服务
165+阅读 · 2020年6月2日
强化学习最新教程,17页pdf
专知会员服务
182+阅读 · 2019年10月11日
【优博微展2019】李志泽:简单快速的机器学习优化方法
清华大学研究生教育
14+阅读 · 2019年10月8日
Hierarchically Structured Meta-learning
CreateAMind
27+阅读 · 2019年5月22日
一文读懂依存句法分析
AINLP
16+阅读 · 2019年4月28日
sklearn 与分类算法
人工智能头条
7+阅读 · 2019年3月12日
强化学习的Unsupervised Meta-Learning
CreateAMind
18+阅读 · 2019年1月7日
Ray RLlib: Scalable 降龙十八掌
CreateAMind
9+阅读 · 2018年12月28日
carla 学习笔记
CreateAMind
9+阅读 · 2018年2月7日
【论文】变分推断(Variational inference)的总结
机器学习研究会
39+阅读 · 2017年11月16日
【学习】Hierarchical Softmax
机器学习研究会
4+阅读 · 2017年8月6日
Auto-Encoding GAN
CreateAMind
7+阅读 · 2017年8月4日
Arxiv
0+阅读 · 2021年5月28日
VIP会员
相关资讯
【优博微展2019】李志泽:简单快速的机器学习优化方法
清华大学研究生教育
14+阅读 · 2019年10月8日
Hierarchically Structured Meta-learning
CreateAMind
27+阅读 · 2019年5月22日
一文读懂依存句法分析
AINLP
16+阅读 · 2019年4月28日
sklearn 与分类算法
人工智能头条
7+阅读 · 2019年3月12日
强化学习的Unsupervised Meta-Learning
CreateAMind
18+阅读 · 2019年1月7日
Ray RLlib: Scalable 降龙十八掌
CreateAMind
9+阅读 · 2018年12月28日
carla 学习笔记
CreateAMind
9+阅读 · 2018年2月7日
【论文】变分推断(Variational inference)的总结
机器学习研究会
39+阅读 · 2017年11月16日
【学习】Hierarchical Softmax
机器学习研究会
4+阅读 · 2017年8月6日
Auto-Encoding GAN
CreateAMind
7+阅读 · 2017年8月4日
Top
微信扫码咨询专知VIP会员