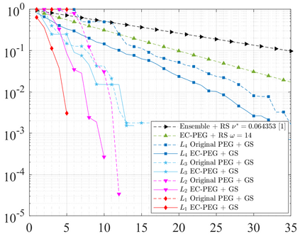
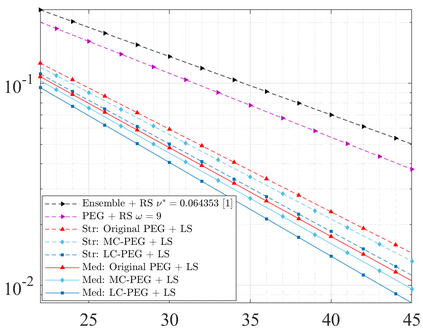
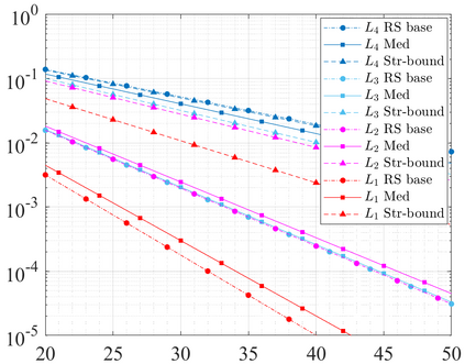
Light nodes are clients in blockchain systems that only store a small portion of the blockchain ledger. In certain blockchains, light nodes are vulnerable to a data availability (DA) attack where a malicious node makes the light nodes accept an invalid block by hiding the invalid portion of the block from the nodes in the system. Recently, a technique based on LDPC codes called Coded Merkle Tree was proposed by Yu et al. that enables light nodes to detect a DA attack by randomly requesting/sampling portions of the block from the malicious node. However, light nodes fail to detect a DA attack with high probability if a malicious node hides a small stopping set of the LDPC code. In this paper, we demonstrate that a suitable co-design of specialized LDPC codes and the light node sampling strategy leads to a high probability of detection of DA attacks. We consider different adversary models based on their computational capabilities of finding stopping sets. For the different adversary models, we provide new specialized LDPC code constructions and coupled light node sampling strategies and demonstrate that they lead to a higher probability of detection of DA attacks compared to approaches proposed in earlier literature.


翻译:光节点是块链系统中的客户,它只存储了块链分类账的一小部分。在某些块链系统中,光节点很容易受到数据提供(DA)攻击的影响,因为恶意节点使光节点使光节点从系统中隐藏块块的无效部分,从而接受一个无效的块块。最近,Yu等人提出了一种基于LDPC代码(代号为Coded Merkle Trea)的技术,它使光节点能够通过随机请求/抽取块块块从恶意节点中检测到DA攻击。然而,光节点无法发现DA攻击的概率很高,如果恶意节点隐藏了LDPC代码中的小节点,则会隐藏一个无效的块块块块。在本文中,我们证明,根据专门的LDPC代码和光节点取样战略的适当共同设计,可以发现DA攻击的概率很高。我们考虑不同的对立模型的计算能力来查找截断点。对于不同的敌模型,我们提供了新的专门LDPC代码构造和相交点抽样战略,并表明它们导致对DA攻击的探测概率更高,而比先前的文献中提议的方法要高。

0
下载
关闭预览

相关内容

Merkle Tree,通常也被称作Hash Tree,顾名思义,就是存储hash值的一棵树。Merkle树的叶子是数据块(例如,文件或者文件的集合)的hash值。非叶节点是其对应子节点串联字符串的hash。
专知会员服务
45+阅读 · 2020年10月31日
专知会员服务
32+阅读 · 2020年10月9日
最新《深度半监督学习》综述论文,43页pdf
专知会员服务
156+阅读 · 2020年6月12日
[综述]深度学习下的场景文本检测与识别
专知会员服务
78+阅读 · 2019年10月10日
【资源】语音增强资源集锦
专知
8+阅读 · 2020年7月4日
计算机 | CCF推荐期刊专刊信息5条
Call4Papers
3+阅读 · 2019年4月10日
人工智能 | ISAIR 2019诚邀稿件(推荐SCI期刊)
Call4Papers
6+阅读 · 2019年4月1日
Call for Participation: Shared Tasks in NLPCC 2019
中国计算机学会
5+阅读 · 2019年3月22日
人工智能 | SCI期刊专刊信息3条
Call4Papers
5+阅读 · 2019年1月10日
强化学习的Unsupervised Meta-Learning
CreateAMind
18+阅读 · 2019年1月7日
Unsupervised Learning via Meta-Learning
CreateAMind
43+阅读 · 2019年1月3日
Ray RLlib: Scalable 降龙十八掌
CreateAMind
9+阅读 · 2018年12月28日
gan生成图像at 1024² 的 代码 论文
CreateAMind
4+阅读 · 2017年10月31日
Arxiv
0+阅读 · 2021年10月20日
Arxiv
0+阅读 · 2021年10月19日
Deflecting Adversarial Attacks
Arxiv
8+阅读 · 2020年2月18日
VIP会员
相关资讯
【资源】语音增强资源集锦
专知
8+阅读 · 2020年7月4日
计算机 | CCF推荐期刊专刊信息5条
Call4Papers
3+阅读 · 2019年4月10日
人工智能 | ISAIR 2019诚邀稿件(推荐SCI期刊)
Call4Papers
6+阅读 · 2019年4月1日
Call for Participation: Shared Tasks in NLPCC 2019
中国计算机学会
5+阅读 · 2019年3月22日
人工智能 | SCI期刊专刊信息3条
Call4Papers
5+阅读 · 2019年1月10日
强化学习的Unsupervised Meta-Learning
CreateAMind
18+阅读 · 2019年1月7日
Unsupervised Learning via Meta-Learning
CreateAMind
43+阅读 · 2019年1月3日
Ray RLlib: Scalable 降龙十八掌
CreateAMind
9+阅读 · 2018年12月28日
gan生成图像at 1024² 的 代码 论文
CreateAMind
4+阅读 · 2017年10月31日
Top
微信扫码咨询专知VIP会员