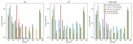
Tuning machine learning models with Bayesian optimization (BO) is a successful strategy to find good hyperparameters. BO defines an iterative procedure where a cross-validated metric is evaluated on promising hyperparameters. In practice, however, an improvement of the validation metric may not translate in better predictive performance on a test set, especially when tuning models trained on small datasets. In other words, unlike conventional wisdom dictates, BO can overfit. In this paper, we carry out the first systematic investigation of overfitting in BO and demonstrate that this issue is serious, yet often overlooked in practice. We propose a novel criterion to early stop BO, which aims to maintain the solution quality while saving the unnecessary iterations that can lead to overfitting. Experiments on real-world hyperparameter optimization problems show that our approach effectively meets these goals and is more adaptive comparing to baselines.


翻译:以巴耶斯优化(BO) 测试机器学习模型是寻找高超参数的成功战略。 BO 定义了一种迭代程序,在这种程序下,对有希望的超光度计进行交叉有效的衡量标准评估。然而,在实践中,改进验证指标可能不会在测试集上产生更好的预测性能,特别是当对小数据集培训模型进行调整时。换句话说,与传统智慧不同,BO可以过度使用。在本文中,我们首次系统调查了在BO的过度装配问题,并表明这一问题是严重的,但在实践中常常被忽视。我们提出了尽早停止BO的新标准,目的是保持解决方案的质量,同时避免可能导致过度装配的不必要的迭代。在现实世界超光谱优化问题上的实验表明,我们的方法有效地达到了这些目标,并且比基线更具适应性。

0
下载
关闭预览

相关内容

过拟合,在AI领域多指机器学习得到模型太过复杂,导致在训练集上表现很好,然而在测试集上却不尽人意。过拟合(over-fitting)也称为过学习,它的直观表现是算法在训练集上表现好,但在测试集上表现不好,泛化性能差。过拟合是在模型参数拟合过程中由于训练数据包含抽样误差,在训练时复杂的模型将抽样误差也进行了拟合导致的。
剑桥大学《数据科学: 原理与实践》课程,附PPT下载
专知会员服务
54+阅读 · 2021年1月20日
Linux导论,Introduction to Linux,96页ppt
专知会员服务
82+阅读 · 2020年7月26日
零样本文本分类,Zero-Shot Learning for Text Classification
专知会员服务
97+阅读 · 2020年5月31日
机器学习入门的经验与建议
专知会员服务
94+阅读 · 2019年10月10日
Hierarchically Structured Meta-learning
CreateAMind
27+阅读 · 2019年5月22日
Transferring Knowledge across Learning Processes
CreateAMind
29+阅读 · 2019年5月18日
IEEE | DSC 2019诚邀稿件 (EI检索)
Call4Papers
10+阅读 · 2019年2月25日
Unsupervised Learning via Meta-Learning
CreateAMind
43+阅读 · 2019年1月3日
A Technical Overview of AI & ML in 2018 & Trends for 2019
待字闺中
18+阅读 · 2018年12月24日
Disentangled的假设的探讨
CreateAMind
9+阅读 · 2018年12月10日
计算机视觉的不同任务
专知
5+阅读 · 2018年8月27日
NIPS 2017:贝叶斯深度学习与深度贝叶斯学习(讲义+视频)
机器学习研究会
36+阅读 · 2017年12月10日
【论文】变分推断(Variational inference)的总结
机器学习研究会
39+阅读 · 2017年11月16日
【学习】Hierarchical Softmax
机器学习研究会
4+阅读 · 2017年8月6日
Arxiv
7+阅读 · 2021年5月25日
Arxiv
10+阅读 · 2017年7月4日
Arxiv
3+阅读 · 2016年2月24日
VIP会员
相关VIP内容
相关资讯
Hierarchically Structured Meta-learning
CreateAMind
27+阅读 · 2019年5月22日
Transferring Knowledge across Learning Processes
CreateAMind
29+阅读 · 2019年5月18日
IEEE | DSC 2019诚邀稿件 (EI检索)
Call4Papers
10+阅读 · 2019年2月25日
Unsupervised Learning via Meta-Learning
CreateAMind
43+阅读 · 2019年1月3日
A Technical Overview of AI & ML in 2018 & Trends for 2019
待字闺中
18+阅读 · 2018年12月24日
Disentangled的假设的探讨
CreateAMind
9+阅读 · 2018年12月10日
计算机视觉的不同任务
专知
5+阅读 · 2018年8月27日
NIPS 2017:贝叶斯深度学习与深度贝叶斯学习(讲义+视频)
机器学习研究会
36+阅读 · 2017年12月10日
【论文】变分推断(Variational inference)的总结
机器学习研究会
39+阅读 · 2017年11月16日
【学习】Hierarchical Softmax
机器学习研究会
4+阅读 · 2017年8月6日
Top
微信扫码咨询专知VIP会员