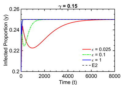
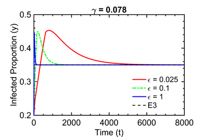
We study the interplay between epidemic dynamics and human decision making for epidemics that involve reinfection risk; in particular, the susceptible-infected-susceptible (SIS) and the susceptible-infected-recovered-infected (SIRI) epidemic models. In the proposed game-theoretic setting, individuals choose whether to adopt protection or not based on the trade-off between the cost of adopting protection and the risk of infection; the latter depends on the current prevalence of the epidemic and the fraction of individuals who adopt protection in the entire population. We define the coupled epidemic-behavioral dynamics by modeling the evolution of individual protection adoption behavior according to the replicator dynamics. For the SIS epidemic, we fully characterize the equilibria and their stability properties. We further analyze the coupled dynamics under timescale separation when individual behavior evolves faster than the epidemic, and characterize the equilibria of the resulting discontinuous hybrid dynamical system for both SIS and SIRI models. Numerical results illustrate how the coupled dynamics exhibits oscillatory behavior and convergence to sliding mode solutions under suitable parameter regimes.


翻译:我们研究流行病动态和人类对涉及再感染风险的流行病的决策之间的相互作用;特别是易感染感染和易感染后再恢复感染的流行病模式;在提议的游戏理论环境中,个人选择是否采用保护,而不是以采用保护的成本和感染风险之间的权衡取舍;后者取决于目前流行病的流行程度和在整个人口中采用保护的个人比例;我们通过根据调剂动态模拟个人保护收养行为的演变来界定同时的流行病-行为动态。对于SIS流行病,我们充分描述平衡性及其稳定性特性。我们进一步分析在个人行为发展快于该流行病的情况下,在时间尺度上分离下的混合动态,并描述由此导致的SIS和SIRI两种模式混合动力系统不连续的平衡性。数字结果说明这些动态如何在适当的参数系统下展示了血管行为和趋同于滑动模式的解决办法。

0
下载
关闭预览

相关内容

Siri 是内嵌在苹果公司所推出的智能手机 iPhone 4S 内的人工智能助理软件。该软件使用自然语言处理技术,可通过自然的对话与手机互动,完成搜索资料、查询天气、设置手机日历、设置闹铃等服务。
Keras François Chollet 《Deep Learning with Python 》, 386页pdf
专知会员服务
163+阅读 · 2019年10月12日
强化学习最新教程,17页pdf
专知会员服务
182+阅读 · 2019年10月11日
机器学习入门的经验与建议
专知会员服务
94+阅读 · 2019年10月10日
【哈佛大学商学院课程Fall 2019】机器学习可解释性
专知会员服务
105+阅读 · 2019年10月9日
【SIGGRAPH2019】TensorFlow 2.0深度学习计算机图形学应用
专知会员服务
41+阅读 · 2019年10月9日
AIART 2022 Call for Papers
CCF多媒体专委会
1+阅读 · 2022年2月13日
【ICIG2021】Check out the hot new trailer of ICIG2021 Symposium4
中国图象图形学学会CSIG
0+阅读 · 2021年11月10日
【ICIG2021】Check out the hot new trailer of ICIG2021 Symposium3
中国图象图形学学会CSIG
0+阅读 · 2021年11月9日
【ICIG2021】Latest News & Announcements of the Plenary Talk1
中国图象图形学学会CSIG
0+阅读 · 2021年11月1日
【ICIG2021】Latest News & Announcements of the Industry Talk1
中国图象图形学学会CSIG
0+阅读 · 2021年7月28日
Hierarchically Structured Meta-learning
CreateAMind
27+阅读 · 2019年5月22日
Transferring Knowledge across Learning Processes
CreateAMind
29+阅读 · 2019年5月18日
A Technical Overview of AI & ML in 2018 & Trends for 2019
待字闺中
18+阅读 · 2018年12月24日
disentangled-representation-papers
CreateAMind
26+阅读 · 2018年9月12日
【推荐】YOLO实时目标检测(6fps)
机器学习研究会
20+阅读 · 2017年11月5日
国家自然科学基金
0+阅读 · 2015年12月31日
国家自然科学基金
0+阅读 · 2015年12月31日
国家自然科学基金
0+阅读 · 2014年12月31日
国家自然科学基金
1+阅读 · 2012年12月31日
国家自然科学基金
0+阅读 · 2012年12月31日
国家自然科学基金
0+阅读 · 2012年12月31日
国家自然科学基金
0+阅读 · 2011年12月31日
国家自然科学基金
0+阅读 · 2008年12月31日
Arxiv
0+阅读 · 2022年10月25日
Arxiv
0+阅读 · 2022年10月21日
VIP会员
相关VIP内容
Keras François Chollet 《Deep Learning with Python 》, 386页pdf
专知会员服务
163+阅读 · 2019年10月12日
强化学习最新教程,17页pdf
专知会员服务
182+阅读 · 2019年10月11日
机器学习入门的经验与建议
专知会员服务
94+阅读 · 2019年10月10日
【哈佛大学商学院课程Fall 2019】机器学习可解释性
专知会员服务
105+阅读 · 2019年10月9日
【SIGGRAPH2019】TensorFlow 2.0深度学习计算机图形学应用
专知会员服务
41+阅读 · 2019年10月9日
相关资讯
AIART 2022 Call for Papers
CCF多媒体专委会
1+阅读 · 2022年2月13日
【ICIG2021】Check out the hot new trailer of ICIG2021 Symposium4
中国图象图形学学会CSIG
0+阅读 · 2021年11月10日
【ICIG2021】Check out the hot new trailer of ICIG2021 Symposium3
中国图象图形学学会CSIG
0+阅读 · 2021年11月9日
【ICIG2021】Latest News & Announcements of the Plenary Talk1
中国图象图形学学会CSIG
0+阅读 · 2021年11月1日
【ICIG2021】Latest News & Announcements of the Industry Talk1
中国图象图形学学会CSIG
0+阅读 · 2021年7月28日
Hierarchically Structured Meta-learning
CreateAMind
27+阅读 · 2019年5月22日
Transferring Knowledge across Learning Processes
CreateAMind
29+阅读 · 2019年5月18日
A Technical Overview of AI & ML in 2018 & Trends for 2019
待字闺中
18+阅读 · 2018年12月24日
disentangled-representation-papers
CreateAMind
26+阅读 · 2018年9月12日
【推荐】YOLO实时目标检测(6fps)
机器学习研究会
20+阅读 · 2017年11月5日
相关基金
国家自然科学基金
0+阅读 · 2015年12月31日
国家自然科学基金
0+阅读 · 2015年12月31日
国家自然科学基金
0+阅读 · 2014年12月31日
国家自然科学基金
1+阅读 · 2012年12月31日
国家自然科学基金
0+阅读 · 2012年12月31日
国家自然科学基金
0+阅读 · 2012年12月31日
国家自然科学基金
0+阅读 · 2011年12月31日
国家自然科学基金
0+阅读 · 2008年12月31日
Top
微信扫码咨询专知VIP会员