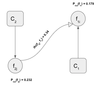
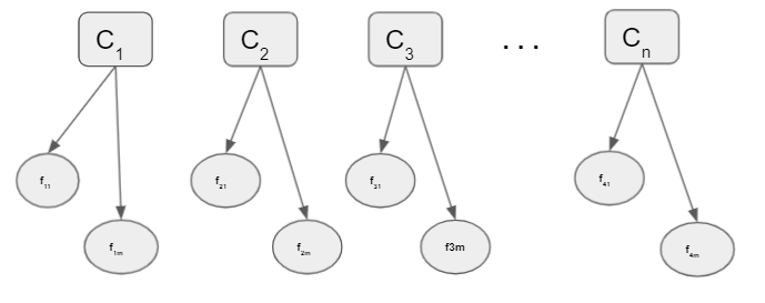
Fault localization is an imperative method in fault tolerance in a distributed environment that designs a blueprint for continuing the ongoing process even when one or many modules are non-functional. Visualizing a distributed environment as a graph, whose nodes represent faults (fault graph), allows us to introduce probabilistic weights to both edges and nodes that cause the faults. With multiple modules like databases, run-time cloud, etc. making up a distributed environment and extensively, a cloud environment, we aim to address the problem of optimally and accurately performing fault localization in a distributed environment by modifying the Graph optimization approach to localization and centrality, specific to fault graphs.


翻译:在分布式环境中,断层定位是断层容忍的一种必要方法,它设计了一个即使在一个或多个模块不起作用的情况下仍持续进行中进程的蓝图。将分布式环境作为图解,其节点代表断层(断层图),使我们能够对造成断层的边缘和节点引入概率加权。通过数据库、运行时云等多个模块组成分布式环境和广博式云层环境,我们的目标是通过修改图形优化方法,使其与断层图具体相关的本地化和中心化方法,解决在分布式环境中以最佳和准确方式进行断层定位的问题。

0
下载
关闭预览

相关内容

Linux导论,Introduction to Linux,96页ppt
专知会员服务
82+阅读 · 2020年7月26日
吴恩达新书《Machine Learning Yearning》完整中文版
专知会员服务
147+阅读 · 2019年10月27日
开源书:PyTorch深度学习起步
专知会员服务
51+阅读 · 2019年10月11日
机器学习入门的经验与建议
专知会员服务
94+阅读 · 2019年10月10日
【SIGGRAPH2019】TensorFlow 2.0深度学习计算机图形学应用
专知会员服务
41+阅读 · 2019年10月9日
MIT新书《强化学习与最优控制》
专知会员服务
282+阅读 · 2019年10月9日
Hierarchically Structured Meta-learning
CreateAMind
27+阅读 · 2019年5月22日
Transferring Knowledge across Learning Processes
CreateAMind
29+阅读 · 2019年5月18日
强化学习的Unsupervised Meta-Learning
CreateAMind
18+阅读 · 2019年1月7日
Unsupervised Learning via Meta-Learning
CreateAMind
43+阅读 · 2019年1月3日
meta learning 17年:MAML SNAIL
CreateAMind
11+阅读 · 2019年1月2日
A Technical Overview of AI & ML in 2018 & Trends for 2019
待字闺中
18+阅读 · 2018年12月24日
计算机类 | 期刊专刊截稿信息9条
Call4Papers
4+阅读 · 2018年1月26日
分布式TensorFlow入门指南
机器学习研究会
4+阅读 · 2017年11月28日
Auto-Encoding GAN
CreateAMind
7+阅读 · 2017年8月4日
【今日新增】IEEE Trans.专刊截稿信息8条
Call4Papers
7+阅读 · 2017年6月29日
Arxiv
0+阅读 · 2021年11月15日
Advances and Open Problems in Federated Learning
Arxiv
18+阅读 · 2019年12月10日
Arxiv
17+阅读 · 2019年3月28日
Arxiv
6+阅读 · 2018年12月10日
VIP会员
相关资讯
Hierarchically Structured Meta-learning
CreateAMind
27+阅读 · 2019年5月22日
Transferring Knowledge across Learning Processes
CreateAMind
29+阅读 · 2019年5月18日
强化学习的Unsupervised Meta-Learning
CreateAMind
18+阅读 · 2019年1月7日
Unsupervised Learning via Meta-Learning
CreateAMind
43+阅读 · 2019年1月3日
meta learning 17年:MAML SNAIL
CreateAMind
11+阅读 · 2019年1月2日
A Technical Overview of AI & ML in 2018 & Trends for 2019
待字闺中
18+阅读 · 2018年12月24日
计算机类 | 期刊专刊截稿信息9条
Call4Papers
4+阅读 · 2018年1月26日
分布式TensorFlow入门指南
机器学习研究会
4+阅读 · 2017年11月28日
Auto-Encoding GAN
CreateAMind
7+阅读 · 2017年8月4日
【今日新增】IEEE Trans.专刊截稿信息8条
Call4Papers
7+阅读 · 2017年6月29日
Top
微信扫码咨询专知VIP会员