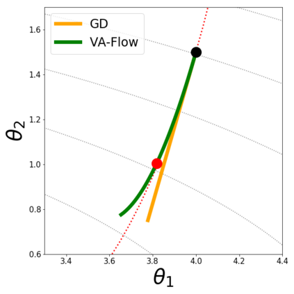
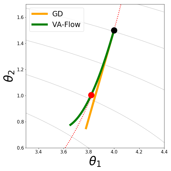
It has long been a goal to efficiently compute and use second order information on a function ($f$) to assist in numerical approximations. Here it is shown how, using only basic physics and a numerical approximation, such information can be accurately obtained at a cost of ${\cal O}(N)$ complexity, where $N$ is the dimensionality of the parameter space of $f$. In this paper, an algorithm ({\em VA-Flow}) is developed to exploit this second order information, and pseudocode is presented. It is applied to two classes of problems, that of inverse kinematics (IK) and gradient descent (GD). In the IK application, the algorithm is fast and robust, and is shown to lead to smooth behavior even near singularities. For GD the algorithm also works very well, provided the cost function is locally well-described by a polynomial.


翻译:长期以来,它一直是高效计算并使用函数的第二顺序信息(f美元)来帮助数字近似。 这里显示的是,仅使用基本物理和数字近似,如何以$=cal O}(N) 的复杂度来准确获得这种信息,而美元是参数空间的维度(f美元)。 在本文中,开发了一种算法(@em VA-Flow})来利用第二顺序信息,并提供了伪代码。它适用于两类问题,即反动运动和梯度下行(GD)。在 IK 应用程序中,算法既快速又稳健,并显示可以导致平稳的行为,甚至接近奇数。对于GD 算法也非常有效,只要成本函数是本地的,由多元函数很好地描述。

0
下载
关闭预览

相关内容

《计算机信息》杂志发表高质量的论文,扩大了运筹学和计算的范围,寻求有关理论、方法、实验、系统和应用方面的原创研究论文、新颖的调查和教程论文,以及描述新的和有用的软件工具的论文。官网链接:https://pubsonline.informs.org/journal/ijoc
剑桥大学《数据科学: 原理与实践》课程,附PPT下载
专知会员服务
54+阅读 · 2021年1月20日
【DeepMind】强化学习教程,83页ppt
专知会员服务
158+阅读 · 2020年8月7日
数据科学导论,54页ppt,Introduction to Data Science
专知会员服务
42+阅读 · 2020年7月27日
Linux导论,Introduction to Linux,96页ppt
专知会员服务
82+阅读 · 2020年7月26日
强化学习最新教程,17页pdf
专知会员服务
182+阅读 · 2019年10月11日
机器学习入门的经验与建议
专知会员服务
94+阅读 · 2019年10月10日
【SIGGRAPH2019】TensorFlow 2.0深度学习计算机图形学应用
专知会员服务
41+阅读 · 2019年10月9日
已删除
将门创投
5+阅读 · 2020年3月2日
动物脑的好奇心和强化学习的好奇心
CreateAMind
10+阅读 · 2019年1月26日
【TED】什么让我们生病
英语演讲视频每日一推
7+阅读 · 2019年1月23日
强化学习的Unsupervised Meta-Learning
CreateAMind
18+阅读 · 2019年1月7日
meta learning 17年:MAML SNAIL
CreateAMind
11+阅读 · 2019年1月2日
spinningup.openai 强化学习资源完整
CreateAMind
6+阅读 · 2018年12月17日
Hierarchical Disentangled Representations
CreateAMind
4+阅读 · 2018年4月15日
【学习】(Python)SVM数据分类
机器学习研究会
6+阅读 · 2017年10月15日
【推荐】免费书(草稿):数据科学的数学基础
机器学习研究会
20+阅读 · 2017年10月1日
【推荐】SVM实例教程
机器学习研究会
17+阅读 · 2017年8月26日
Arxiv
0+阅读 · 2021年7月14日
Arxiv
0+阅读 · 2021年7月12日
Arxiv
0+阅读 · 2021年7月12日
VIP会员
相关VIP内容
剑桥大学《数据科学: 原理与实践》课程,附PPT下载
专知会员服务
54+阅读 · 2021年1月20日
【DeepMind】强化学习教程,83页ppt
专知会员服务
158+阅读 · 2020年8月7日
数据科学导论,54页ppt,Introduction to Data Science
专知会员服务
42+阅读 · 2020年7月27日
Linux导论,Introduction to Linux,96页ppt
专知会员服务
82+阅读 · 2020年7月26日
强化学习最新教程,17页pdf
专知会员服务
182+阅读 · 2019年10月11日
机器学习入门的经验与建议
专知会员服务
94+阅读 · 2019年10月10日
【SIGGRAPH2019】TensorFlow 2.0深度学习计算机图形学应用
专知会员服务
41+阅读 · 2019年10月9日
相关资讯
已删除
将门创投
5+阅读 · 2020年3月2日
动物脑的好奇心和强化学习的好奇心
CreateAMind
10+阅读 · 2019年1月26日
【TED】什么让我们生病
英语演讲视频每日一推
7+阅读 · 2019年1月23日
强化学习的Unsupervised Meta-Learning
CreateAMind
18+阅读 · 2019年1月7日
meta learning 17年:MAML SNAIL
CreateAMind
11+阅读 · 2019年1月2日
spinningup.openai 强化学习资源完整
CreateAMind
6+阅读 · 2018年12月17日
Hierarchical Disentangled Representations
CreateAMind
4+阅读 · 2018年4月15日
【学习】(Python)SVM数据分类
机器学习研究会
6+阅读 · 2017年10月15日
【推荐】免费书(草稿):数据科学的数学基础
机器学习研究会
20+阅读 · 2017年10月1日
【推荐】SVM实例教程
机器学习研究会
17+阅读 · 2017年8月26日
Top
微信扫码咨询专知VIP会员