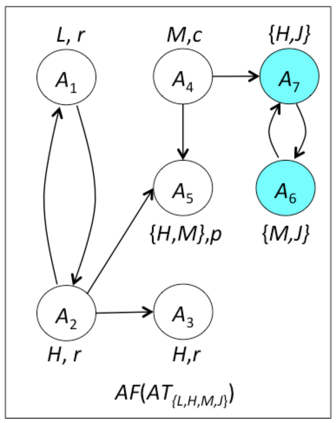
An autonomous system is constructed by a manufacturer, operates in a society subject to norms and laws, and is interacting with end users. All of these actors are stakeholders affected by the behavior of the autonomous system. We address the challenge of how the ethical views of such stakeholders can be integrated in the behavior of the autonomous system. We propose an ethical recommendation component, which we call Jiminy, that uses techniques from normative systems and formal argumentation to reach moral agreements among stakeholders. Jiminy represents the ethical views of each stakeholder by using normative systems, and has three ways of resolving moral dilemmas involving the opinions of the stakeholders. First, Jiminy considers how the arguments of the stakeholders relate to one another, which may already resolve the dilemma. Secondly, Jiminy combines the normative systems of the stakeholders such that the combined expertise of the stakeholders may resolve the dilemma. Thirdly, and only if these two other methods have failed, Jiminy uses context-sensitive rules to decide which of the stakeholders take preference. At the abstract level, these three methods are characterized by the addition of arguments, the addition of attacks among arguments, and the removal of attacks among arguments. We show how Jiminy can be used not only for ethical reasoning and collaborative decision making, but also for providing explanations about ethical behavior.


翻译:自主系统是由制造商建造的,在受规范和法律制约的社会中运作,并与终端用户互动。所有这些行为者都是受自主系统行为影响的利益攸关方。我们应对如何将此类利益攸关方的道德观点纳入自主系统行为的挑战。我们提议一个道德建议部分,我们称之为Jimini,它使用规范系统的技术以及正式论证,在利益攸关方之间达成道德协议。Jimini通过使用规范系统代表每个利益攸关方的道德观点,并有三种方式解决涉及利益攸关方观点的道德困境。首先,Jimini考虑利益攸关方的论点如何相互关联,这可能会解决这一难题。第二,Jimini将利益攸关方的规范系统结合起来,使利益攸关方的专业知识能够解决这一难题。第三,只有这两种方法都失败了,Jimini才使用对背景敏感的规则来决定哪些利益攸关方偏好。在抽象层面上,这三种方法的特点是增加了论据,在争论中增加了攻击,在争论中消除了攻击。我们展示了Jimini如何使用道德解释,而不是为道德推理和决定提供合作行为。我们展示了如何使用Jimini的行为。

0
下载
关闭预览

相关内容

Keras François Chollet 《Deep Learning with Python 》, 386页pdf
专知会员服务
163+阅读 · 2019年10月12日
强化学习最新教程,17页pdf
专知会员服务
182+阅读 · 2019年10月11日
[综述]深度学习下的场景文本检测与识别
专知会员服务
78+阅读 · 2019年10月10日
机器学习入门的经验与建议
专知会员服务
94+阅读 · 2019年10月10日
【哈佛大学商学院课程Fall 2019】机器学习可解释性
专知会员服务
105+阅读 · 2019年10月9日
【SIGGRAPH2019】TensorFlow 2.0深度学习计算机图形学应用
专知会员服务
41+阅读 · 2019年10月9日
VCIP 2022 Call for Special Session Proposals
CCF多媒体专委会
1+阅读 · 2022年4月1日
IEEE ICKG 2022: Call for Papers
机器学习与推荐算法
3+阅读 · 2022年3月30日
ACM MM 2022 Call for Papers
CCF多媒体专委会
5+阅读 · 2022年3月29日
ACM TOMM Call for Papers
CCF多媒体专委会
2+阅读 · 2022年3月23日
AIART 2022 Call for Papers
CCF多媒体专委会
1+阅读 · 2022年2月13日
【ICIG2021】Check out the hot new trailer of ICIG2021 Symposium8
中国图象图形学学会CSIG
0+阅读 · 2021年11月16日
【ICIG2021】Check out the hot new trailer of ICIG2021 Symposium6
中国图象图形学学会CSIG
2+阅读 · 2021年11月12日
【ICIG2021】Check out the hot new trailer of ICIG2021 Symposium5
中国图象图形学学会CSIG
1+阅读 · 2021年11月11日
【ICIG2021】Latest News & Announcements of the Industry Talk1
中国图象图形学学会CSIG
0+阅读 · 2021年7月28日
A Technical Overview of AI & ML in 2018 & Trends for 2019
待字闺中
18+阅读 · 2018年12月24日
国家自然科学基金
0+阅读 · 2015年12月31日
国家自然科学基金
1+阅读 · 2015年12月31日
国家自然科学基金
0+阅读 · 2014年12月31日
国家自然科学基金
0+阅读 · 2012年12月31日
国家自然科学基金
0+阅读 · 2012年12月31日
国家自然科学基金
1+阅读 · 2012年12月31日
国家自然科学基金
0+阅读 · 2011年12月31日
国家自然科学基金
0+阅读 · 2011年12月31日
国家自然科学基金
0+阅读 · 2009年12月31日
国家自然科学基金
0+阅读 · 2008年12月31日
Arxiv
0+阅读 · 2022年4月17日
Arxiv
49+阅读 · 2021年9月11日
Arxiv
92+阅读 · 2020年2月28日
Arxiv
15+阅读 · 2019年6月25日
VIP会员
相关资讯
VCIP 2022 Call for Special Session Proposals
CCF多媒体专委会
1+阅读 · 2022年4月1日
IEEE ICKG 2022: Call for Papers
机器学习与推荐算法
3+阅读 · 2022年3月30日
ACM MM 2022 Call for Papers
CCF多媒体专委会
5+阅读 · 2022年3月29日
ACM TOMM Call for Papers
CCF多媒体专委会
2+阅读 · 2022年3月23日
AIART 2022 Call for Papers
CCF多媒体专委会
1+阅读 · 2022年2月13日
【ICIG2021】Check out the hot new trailer of ICIG2021 Symposium8
中国图象图形学学会CSIG
0+阅读 · 2021年11月16日
【ICIG2021】Check out the hot new trailer of ICIG2021 Symposium6
中国图象图形学学会CSIG
2+阅读 · 2021年11月12日
【ICIG2021】Check out the hot new trailer of ICIG2021 Symposium5
中国图象图形学学会CSIG
1+阅读 · 2021年11月11日
【ICIG2021】Latest News & Announcements of the Industry Talk1
中国图象图形学学会CSIG
0+阅读 · 2021年7月28日
A Technical Overview of AI & ML in 2018 & Trends for 2019
待字闺中
18+阅读 · 2018年12月24日
相关基金
国家自然科学基金
0+阅读 · 2015年12月31日
国家自然科学基金
1+阅读 · 2015年12月31日
国家自然科学基金
0+阅读 · 2014年12月31日
国家自然科学基金
0+阅读 · 2012年12月31日
国家自然科学基金
0+阅读 · 2012年12月31日
国家自然科学基金
1+阅读 · 2012年12月31日
国家自然科学基金
0+阅读 · 2011年12月31日
国家自然科学基金
0+阅读 · 2011年12月31日
国家自然科学基金
0+阅读 · 2009年12月31日
国家自然科学基金
0+阅读 · 2008年12月31日
Top
微信扫码咨询专知VIP会员