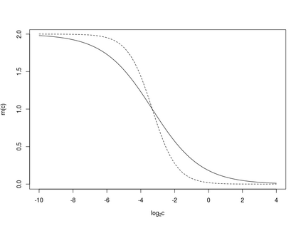
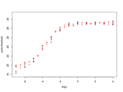
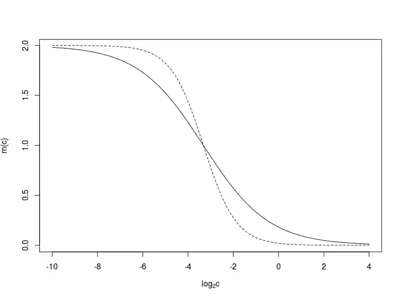
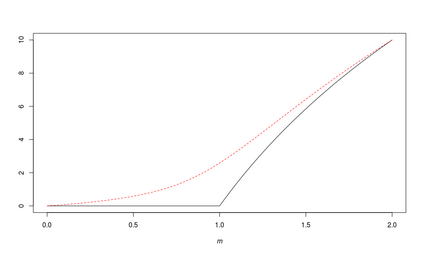
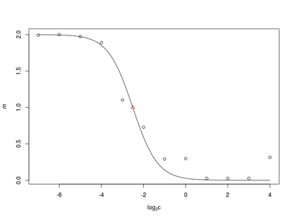
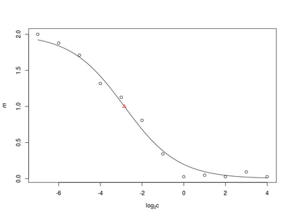
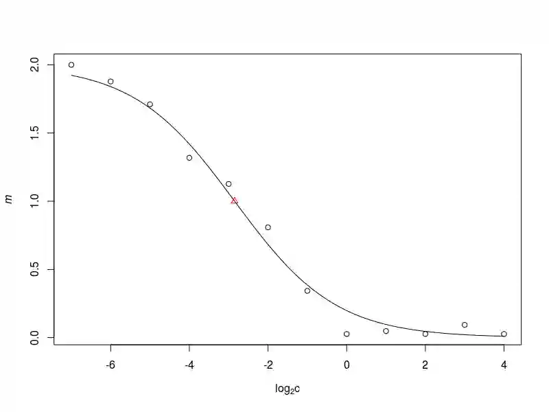
We provide a Galton--Watson model for the growth of a bacterial population in the presence of antibiotics. We assume that bacterial cells either die or duplicate, and the corresponding probabilities depend on the concentration of the antibiotic. Assuming that the mean offspring number is given by $m(c) = 2 / (1 + \alpha c^\beta)$ for some $\alpha, \beta$, where $c$ stands for the antibiotic concentration we obtain weakly consistent, asymptotically normal estimator both for $(\alpha, \beta)$ and for the minimal inhibitory concentration (MIC), a relevant parameter in pharmacology. We apply our method to real data, where \emph{Chlamydia trachomatis} bacteria was treated by azithromycin and ciprofloxacin. For the measurements of \emph{Chlamydia} growth quantitative PCR technique was used. The 2-parameter model fits remarkably well to the biological data.


翻译:我们提供了一种Galton-Watson模型,用于在使用抗生素的情况下增加细菌人口。我们假设细菌细胞要么死亡要么重复,相应的概率取决于抗生素的浓度。假设平均后代数以美元(c) = 2 /(1 + pha c ⁇ beta) 美元给出,其价值大约为 美元(alpha,\ + alpha c ⁇ beta), 美元代表抗生素浓度的微弱一致, 以美元( alpha,\ beta) 和最低抑制性浓度( MIC) 等有关药理学参数计算, 假定平均后代数由美元( cm) = 2 = 2 = 2 = ( 1 + phaltha c ⁇ beta) 美元给出, 以美元表示抗生素浓度, 以美元表示我们获得的抗生素浓度不甚一致的抗体浓度, 以零星正常的正常估计值表示, 以美元表示, 和最低抑制性浓度值( MIC) 和2 参数模型非常适合生物数据。

0
下载
关闭预览

相关内容

ACM/IEEE第23届模型驱动工程语言和系统国际会议,是模型驱动软件和系统工程的首要会议系列,由ACM-SIGSOFT和IEEE-TCSE支持组织。自1998年以来,模型涵盖了建模的各个方面,从语言和方法到工具和应用程序。模特的参加者来自不同的背景,包括研究人员、学者、工程师和工业专业人士。MODELS 2019是一个论坛,参与者可以围绕建模和模型驱动的软件和系统交流前沿研究成果和创新实践经验。今年的版本将为建模社区提供进一步推进建模基础的机会,并在网络物理系统、嵌入式系统、社会技术系统、云计算、大数据、机器学习、安全、开源等新兴领域提出建模的创新应用以及可持续性。 官网链接:http://www.modelsconference.org/
ICML 2021论文收录
专知会员服务
123+阅读 · 2021年5月8日
专知会员服务
51+阅读 · 2020年12月14日
【干货书】机器学习速查手册,135页pdf
专知会员服务
127+阅读 · 2020年11月20日
经济学中的数据科学,Data Science in Economics,附22页pdf
专知会员服务
36+阅读 · 2020年4月1日
强化学习最新教程,17页pdf
专知会员服务
182+阅读 · 2019年10月11日
机器学习入门的经验与建议
专知会员服务
94+阅读 · 2019年10月10日
Science 一周论文导读 | 2019年4月26日
科研圈
3+阅读 · 2019年5月5日
强化学习的Unsupervised Meta-Learning
CreateAMind
18+阅读 · 2019年1月7日
A Technical Overview of AI & ML in 2018 & Trends for 2019
待字闺中
18+阅读 · 2018年12月24日
【论文】变分推断(Variational inference)的总结
机器学习研究会
39+阅读 · 2017年11月16日
gan生成图像at 1024² 的 代码 论文
CreateAMind
4+阅读 · 2017年10月31日
Adversarial Variational Bayes: Unifying VAE and GAN 代码
CreateAMind
7+阅读 · 2017年10月4日
【学习】Hierarchical Softmax
机器学习研究会
4+阅读 · 2017年8月6日
Auto-Encoding GAN
CreateAMind
7+阅读 · 2017年8月4日
A Distribution-Dependent Analysis of Meta-Learning
Arxiv
0+阅读 · 2021年6月11日
Arxiv
0+阅读 · 2021年4月2日
VIP会员
相关VIP内容
ICML 2021论文收录
专知会员服务
123+阅读 · 2021年5月8日
专知会员服务
51+阅读 · 2020年12月14日
【干货书】机器学习速查手册,135页pdf
专知会员服务
127+阅读 · 2020年11月20日
经济学中的数据科学,Data Science in Economics,附22页pdf
专知会员服务
36+阅读 · 2020年4月1日
强化学习最新教程,17页pdf
专知会员服务
182+阅读 · 2019年10月11日
机器学习入门的经验与建议
专知会员服务
94+阅读 · 2019年10月10日
相关资讯
Science 一周论文导读 | 2019年4月26日
科研圈
3+阅读 · 2019年5月5日
强化学习的Unsupervised Meta-Learning
CreateAMind
18+阅读 · 2019年1月7日
A Technical Overview of AI & ML in 2018 & Trends for 2019
待字闺中
18+阅读 · 2018年12月24日
【论文】变分推断(Variational inference)的总结
机器学习研究会
39+阅读 · 2017年11月16日
gan生成图像at 1024² 的 代码 论文
CreateAMind
4+阅读 · 2017年10月31日
Adversarial Variational Bayes: Unifying VAE and GAN 代码
CreateAMind
7+阅读 · 2017年10月4日
【学习】Hierarchical Softmax
机器学习研究会
4+阅读 · 2017年8月6日
Auto-Encoding GAN
CreateAMind
7+阅读 · 2017年8月4日
Top
微信扫码咨询专知VIP会员