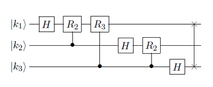
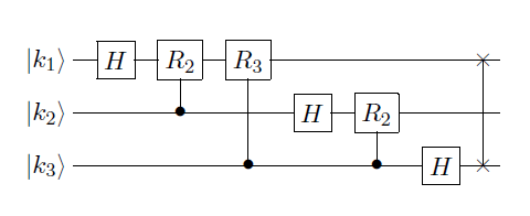
This is a set of lecture notes suitable for a Master's course on quantum computation and information from the perspective of theoretical computer science. The first version was written in 2011, with many extensions and improvements in subsequent years. The first 10 chapters cover the circuit model and the main quantum algorithms (Deutsch-Jozsa, Simon, Shor, Hidden Subgroup Problem, Grover, quantum walks, Hamiltonian simulation and HHL). They are followed by 3 chapters about complexity, 4 chapters about distributed ("Alice and Bob") settings, and a final chapter about quantum error correction. Appendices A and B give a brief introduction to the required linear algebra and some other mathematical and computer science background. All chapters come with exercises, with some hints provided in Appendix C.


翻译:这是一套适合从理论计算机科学角度进行量子计算和信息硕士课程的讲解说明,第一版于2011年编写,随后几年有许多扩展和改进,前十章涵盖电路模型和主要量子算法(Deutsch-Jozsa、Simon、Shor、隐藏的分组问题、Grover、量子漫步、汉密尔顿模拟和HHL),随后有3章涉及复杂性,4章涉及分布式设置(“爱丽丝和鲍勃”),最后一章涉及量子错误校正。附录A和B简要介绍了所需的线性代数模型和其他数学和计算机科学背景。所有章节都有练习,附录C提供了一些提示。

0
下载
关闭预览

相关内容

iOS 8 提供的应用间和应用跟系统的功能交互特性。
  • Today (iOS and OS X): widgets for the Today view of Notification Center
  • Share (iOS and OS X): post content to web services or share content with others
  • Actions (iOS and OS X): app extensions to view or manipulate inside another app
  • Photo Editing (iOS): edit a photo or video in Apple's Photos app with extensions from a third-party apps
  • Finder Sync (OS X): remote file storage in the Finder with support for Finder content annotation
  • Storage Provider (iOS): an interface between files inside an app and other apps on a user's device
  • Custom Keyboard (iOS): system-wide alternative keyboards

Source: iOS 8 Extensions: Apple’s Plan for a Powerful App Ecosystem
【数据科学导论书】Introduction to Datascience,253页pdf
专知会员服务
50+阅读 · 2021年11月15日
专知会员服务
86+阅读 · 2020年12月5日
Keras François Chollet 《Deep Learning with Python 》, 386页pdf
专知会员服务
163+阅读 · 2019年10月12日
强化学习最新教程,17页pdf
专知会员服务
182+阅读 · 2019年10月11日
IEEE ICKG 2022: Call for Papers
机器学习与推荐算法
3+阅读 · 2022年3月30日
ACM MM 2022 Call for Papers
CCF多媒体专委会
5+阅读 · 2022年3月29日
IEEE TII Call For Papers
CCF多媒体专委会
3+阅读 · 2022年3月24日
AIART 2022 Call for Papers
CCF多媒体专委会
1+阅读 · 2022年2月13日
【ICIG2021】Latest News & Announcements of the Industry Talk1
中国图象图形学学会CSIG
0+阅读 · 2021年7月28日
Hierarchically Structured Meta-learning
CreateAMind
27+阅读 · 2019年5月22日
IEEE | DSC 2019诚邀稿件 (EI检索)
Call4Papers
10+阅读 · 2019年2月25日
A Technical Overview of AI & ML in 2018 & Trends for 2019
待字闺中
18+阅读 · 2018年12月24日
机器学习线性代数速查
机器学习研究会
19+阅读 · 2018年2月25日
国家自然科学基金
0+阅读 · 2015年12月31日
国家自然科学基金
0+阅读 · 2013年12月31日
国家自然科学基金
0+阅读 · 2012年12月31日
国家自然科学基金
0+阅读 · 2012年12月31日
国家自然科学基金
1+阅读 · 2012年6月30日
国家自然科学基金
0+阅读 · 2009年12月31日
国家自然科学基金
0+阅读 · 2009年12月31日
国家自然科学基金
0+阅读 · 2009年12月31日
国家自然科学基金
0+阅读 · 2009年12月31日
国家自然科学基金
6+阅读 · 2008年12月31日
Arxiv
0+阅读 · 2022年4月20日
Quantum Computing -- from NISQ to PISQ
Arxiv
1+阅读 · 2022年4月15日
Arxiv
66+阅读 · 2021年6月18日
VIP会员
相关VIP内容
【数据科学导论书】Introduction to Datascience,253页pdf
专知会员服务
50+阅读 · 2021年11月15日
专知会员服务
86+阅读 · 2020年12月5日
Keras François Chollet 《Deep Learning with Python 》, 386页pdf
专知会员服务
163+阅读 · 2019年10月12日
强化学习最新教程,17页pdf
专知会员服务
182+阅读 · 2019年10月11日
相关资讯
IEEE ICKG 2022: Call for Papers
机器学习与推荐算法
3+阅读 · 2022年3月30日
ACM MM 2022 Call for Papers
CCF多媒体专委会
5+阅读 · 2022年3月29日
IEEE TII Call For Papers
CCF多媒体专委会
3+阅读 · 2022年3月24日
AIART 2022 Call for Papers
CCF多媒体专委会
1+阅读 · 2022年2月13日
【ICIG2021】Latest News & Announcements of the Industry Talk1
中国图象图形学学会CSIG
0+阅读 · 2021年7月28日
Hierarchically Structured Meta-learning
CreateAMind
27+阅读 · 2019年5月22日
IEEE | DSC 2019诚邀稿件 (EI检索)
Call4Papers
10+阅读 · 2019年2月25日
A Technical Overview of AI & ML in 2018 & Trends for 2019
待字闺中
18+阅读 · 2018年12月24日
机器学习线性代数速查
机器学习研究会
19+阅读 · 2018年2月25日
相关基金
国家自然科学基金
0+阅读 · 2015年12月31日
国家自然科学基金
0+阅读 · 2013年12月31日
国家自然科学基金
0+阅读 · 2012年12月31日
国家自然科学基金
0+阅读 · 2012年12月31日
国家自然科学基金
1+阅读 · 2012年6月30日
国家自然科学基金
0+阅读 · 2009年12月31日
国家自然科学基金
0+阅读 · 2009年12月31日
国家自然科学基金
0+阅读 · 2009年12月31日
国家自然科学基金
0+阅读 · 2009年12月31日
国家自然科学基金
6+阅读 · 2008年12月31日
Top
微信扫码咨询专知VIP会员