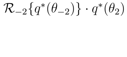
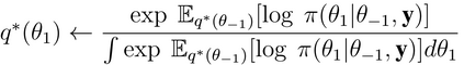
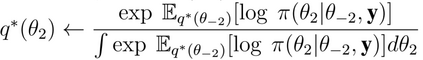
One of the fundamental problems in Bayesian statistics is the approximation of the posterior distribution. Gibbs sampler and coordinate ascent variational inference are renownedly utilized approximation techniques that rely on stochastic and deterministic approximations. In this paper, we define fundamental sets of densities frequently used in Bayesian inference. We shall be concerned with the clarification of the two schemes from the set-theoretical point of view. This new way provides an alternative mechanism for analyzing the two schemes endowed with pedagogical insights.


翻译:Bayesian 统计数据的根本问题之一是后方分布的近似值。 Gibbs 采样人和协调的升温变异性推断法是著名的使用近似法,这些近似法依赖于随机和确定性近似值。在本文件中,我们界定了Bayesian 推理经常使用的基本密度组。我们将关注从设定理论的角度澄清这两个方案。这一新方式为分析具有教学洞察力的两种方案提供了替代机制。

0
下载
关闭预览

相关内容

【SIGIR2020】学习词项区分性,Learning Term Discrimination
专知会员服务
16+阅读 · 2020年4月28日
已删除
将门创投
4+阅读 · 2019年9月10日
Hierarchically Structured Meta-learning
CreateAMind
27+阅读 · 2019年5月22日
逆强化学习-学习人先验的动机
CreateAMind
16+阅读 · 2019年1月18日
强化学习的Unsupervised Meta-Learning
CreateAMind
18+阅读 · 2019年1月7日
A Technical Overview of AI & ML in 2018 & Trends for 2019
待字闺中
18+阅读 · 2018年12月24日
Hierarchical Imitation - Reinforcement Learning
CreateAMind
19+阅读 · 2018年5月25日
Hierarchical Disentangled Representations
CreateAMind
4+阅读 · 2018年4月15日
【论文】变分推断(Variational inference)的总结
机器学习研究会
39+阅读 · 2017年11月16日
【学习】Hierarchical Softmax
机器学习研究会
4+阅读 · 2017年8月6日
Auto-Encoding GAN
CreateAMind
7+阅读 · 2017年8月4日
VIP会员
相关VIP内容
【SIGIR2020】学习词项区分性,Learning Term Discrimination
专知会员服务
16+阅读 · 2020年4月28日
相关资讯
已删除
将门创投
4+阅读 · 2019年9月10日
Hierarchically Structured Meta-learning
CreateAMind
27+阅读 · 2019年5月22日
逆强化学习-学习人先验的动机
CreateAMind
16+阅读 · 2019年1月18日
强化学习的Unsupervised Meta-Learning
CreateAMind
18+阅读 · 2019年1月7日
A Technical Overview of AI & ML in 2018 & Trends for 2019
待字闺中
18+阅读 · 2018年12月24日
Hierarchical Imitation - Reinforcement Learning
CreateAMind
19+阅读 · 2018年5月25日
Hierarchical Disentangled Representations
CreateAMind
4+阅读 · 2018年4月15日
【论文】变分推断(Variational inference)的总结
机器学习研究会
39+阅读 · 2017年11月16日
【学习】Hierarchical Softmax
机器学习研究会
4+阅读 · 2017年8月6日
Auto-Encoding GAN
CreateAMind
7+阅读 · 2017年8月4日
Top
微信扫码咨询专知VIP会员